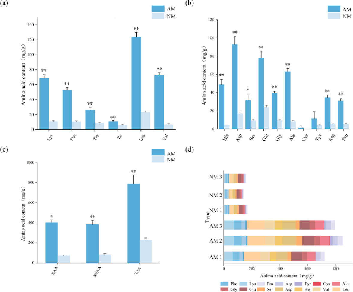
Fig. 7

Comparison of the differences in amino acid composition and content between NM and AM. (a) Comparison between EAAs; (b) Comparison between NEAAs; (c) Comparison of EAA, NEAA, and TAA content; (d) Amino acid composition and content of NM and AM. * P < 0.05, ** P < 0.01.