Fig. 14
From: Improving Hokkai shrimp tracking accuracy using YOLOv8 with reflection and parallax correction

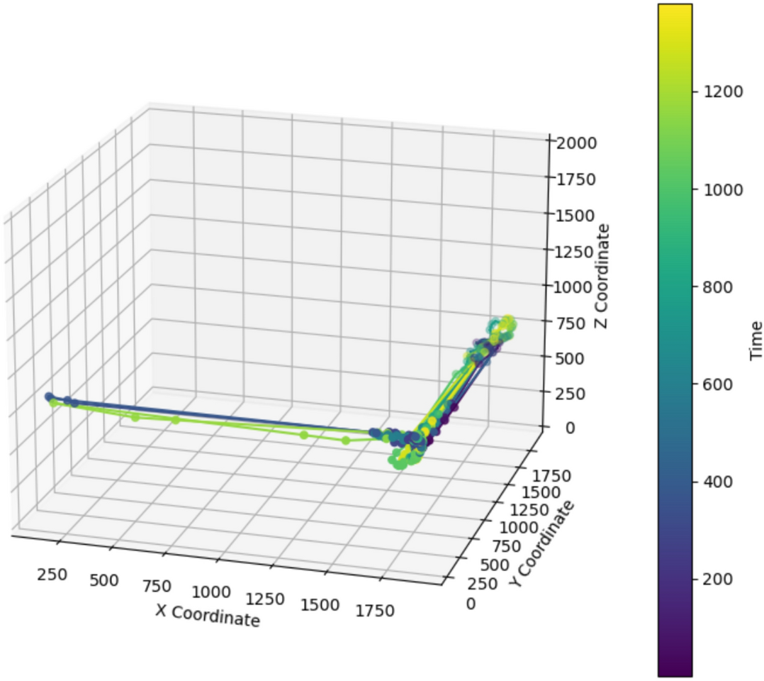
3D movement plot of the shrimp.
From: Improving Hokkai shrimp tracking accuracy using YOLOv8 with reflection and parallax correction

3D movement plot of the shrimp.