Fig. 2

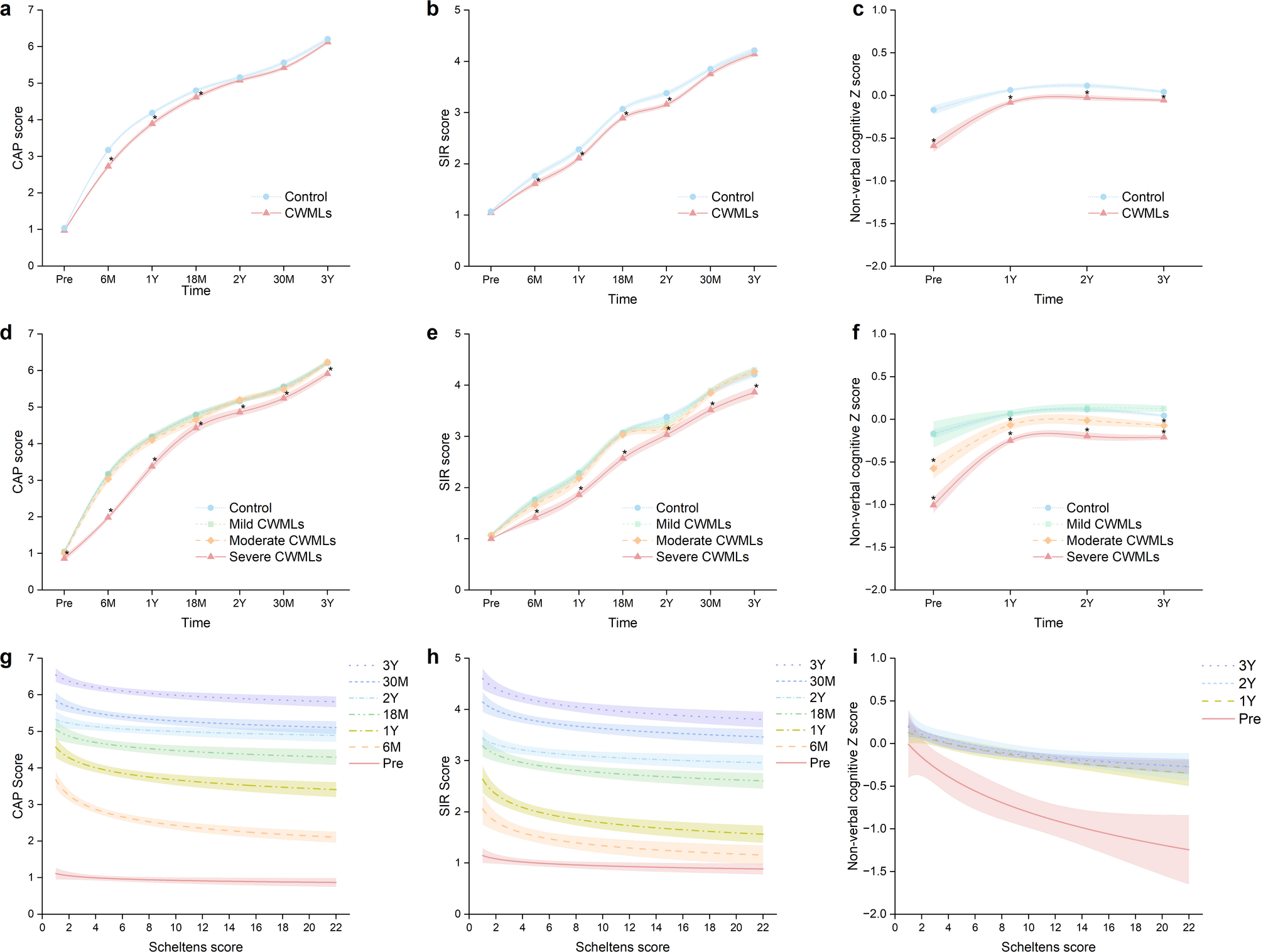
The impact of CWMLs on auditory, speech, and NVC outcomes in children with PLSND. (a), (b), and (c) depict the comparison of preoperative and post-activation CAP, SIR, and Z scores, respectively, in the overall CWMLs group versus the control group. Significant differences in CAP scores between the two groups were observed from 6 to 18 months post-activation, with the differences disappearing after 2 years. For SIR scores, significant differences persisted from 6 to 36 months post-activation, disappearing at 30 months. Z scores showed significant differences between the two groups from 6 to 24 months post-activation. The recovery patterns were independent of the presence of cerebral white matter lesions (auditory: rapid-slow; speech: slow-rapid-slow; NVC: rapid-stable), with speech recovery lagging behind auditory recovery. (d), (e), and (f) illustrate the same comparisons within subgroups of the CWMLs patients. The significant differences were primarily concentrated between the severe CWMLs group and the control group. (g), (h), and (i) show a negative correlation between CAP, SIR, and Z scores and Scheltens scores in CWMLs patients. CWMLs, cerebral white matter lesions; NVC, non-verbal cognition; PLSND, prelingual sensorineural deafness; CAP, Categories of Auditory Performance; SIR, Speech Intelligibility Rating. *p < 0.05, **p < 0.01, ***p < 0.001 vs. control group.