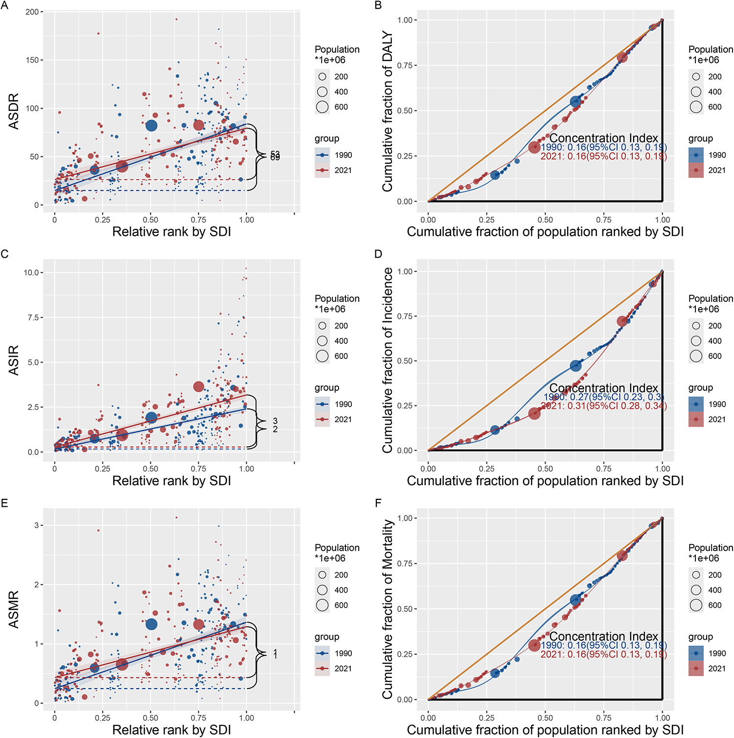
Fig. 2

Global inequality in CNS cancer burden among AYAs from 1990 to 2021 using concentration index analysis. This figure presents the global inequality in the burden of CNS cancers among AYAs from 1990 to 2021, based on the SDI. Concentration indices are provided to quantify inequality in CNS cancer burden across countries with different SDI levels. A ASDR by SDI in 1990 and 2021. B Cumulative distribution of DALYs by SDI in 1990 and 2021. C ASIR by SDI in 1990 and 2021. D Cumulative distribution of CNS cancer incidence by SDI in 1990 and 2021. E ASMR by SDI in 1990 and 2021. F Cumulative distribution of CNS cancer mortality by SDI in 1990 and 2021.