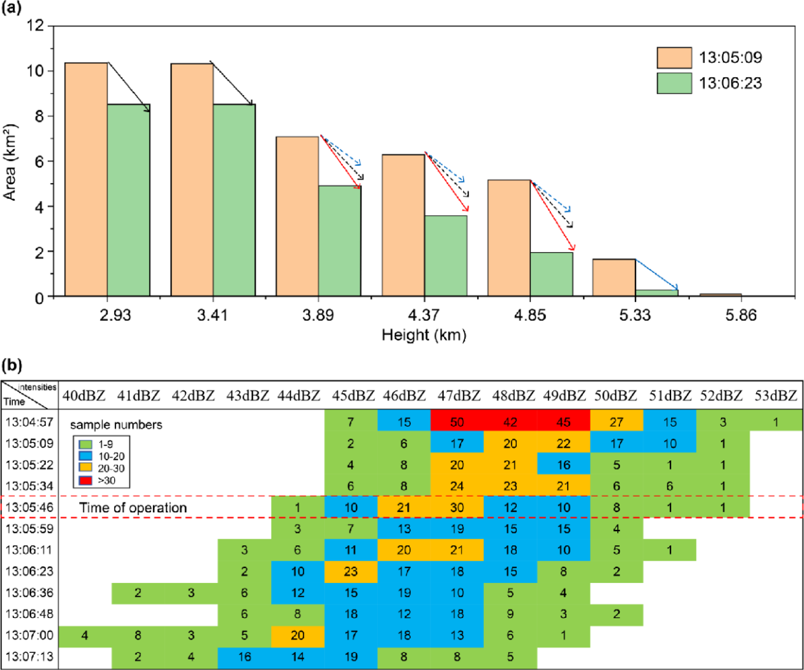
Fig. 5

Echo statistics of different altitudes and explosion affected areas before and after the operation.(a: 45 dBZ and above echo area of the monomer. The arrow indicates the change slope, with black for lower layers, red for operation-affected layers, and blue for higher layers. b: the sample numbers of echoes with different intensities in the explosion area).