Table 1 Formulas and thresholds for the four methods ROR, PRR, BCPNN and MGPS.

From: A pharmacovigilance analysis of post-marketing safety of durvalumab

Algorithms

Calculation formulas

Threshold

ROR

a ≥ 3 ,95%CI > 1

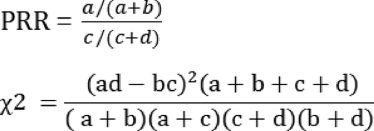
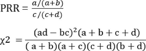
PRR

View full size image

a ≥ 3, PRR ≥ 2, χ2≥ 4,

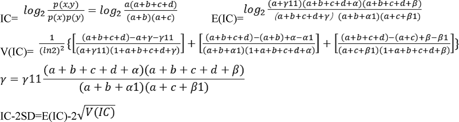
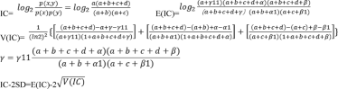
BCPNN

View full size image

IC025 > 0

MGPS

View full size image

EBGM05 > 2

  1. Abbreviation: ROR, reporting odds ratio; PRR, proportional reporting ratio; BCPNN, bayesian confidence propagation neural network; MGPS, multi-item gamma Passion shrinker.
  2. χ2, chi-squared; IC, information component; IC025, the lower limit of the 95% one-sided CI, of the IC; EBGM, empirical Bayesian geometric mean; CI, confidence interval; EBGM05, the lower 95% onesided CI, of EBGM. Equation: a, number of reports containing both the target drug and the target adverse events; b, number of reports containing the target adverse drug reaction with other medications (except the target drug); c, number of reports containing the target drug with other adverse events (except the target adverse events); d, number of reports containing other medications and other adverse events.