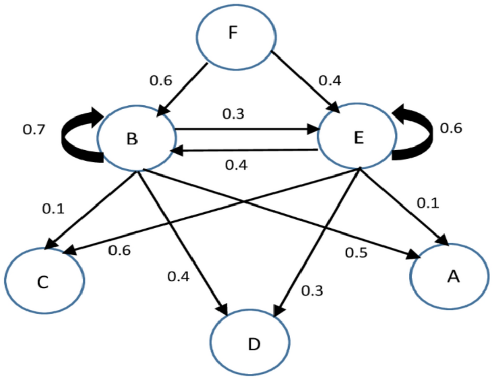
Fig. 5
From: Modelling of queuing systems using blockchain based on Markov process for smart healthcare systems

Graph of Markov chain.
From: Modelling of queuing systems using blockchain based on Markov process for smart healthcare systems

Graph of Markov chain.