Fig. 2

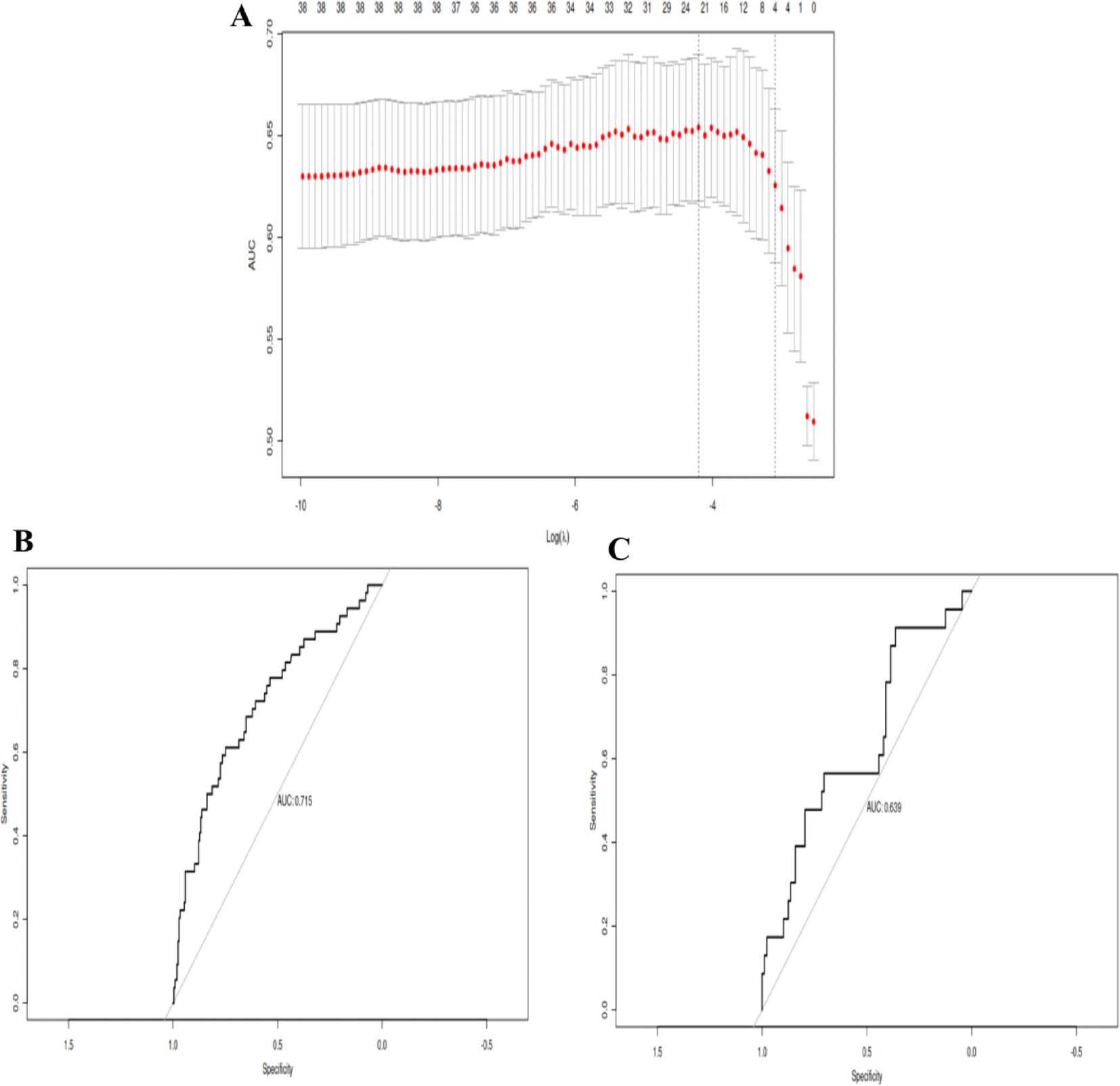
Lasso regression machine learning model (A). Internal cress-validation, the training group AUC is 0.715 (B) and the validation group AUC is 0.639 (C).

Lasso regression machine learning model (A). Internal cress-validation, the training group AUC is 0.715 (B) and the validation group AUC is 0.639 (C).