Fig. 11
From: An LSTM-driven thermoelectric coupling response prediction method for shape memory alloy actuators

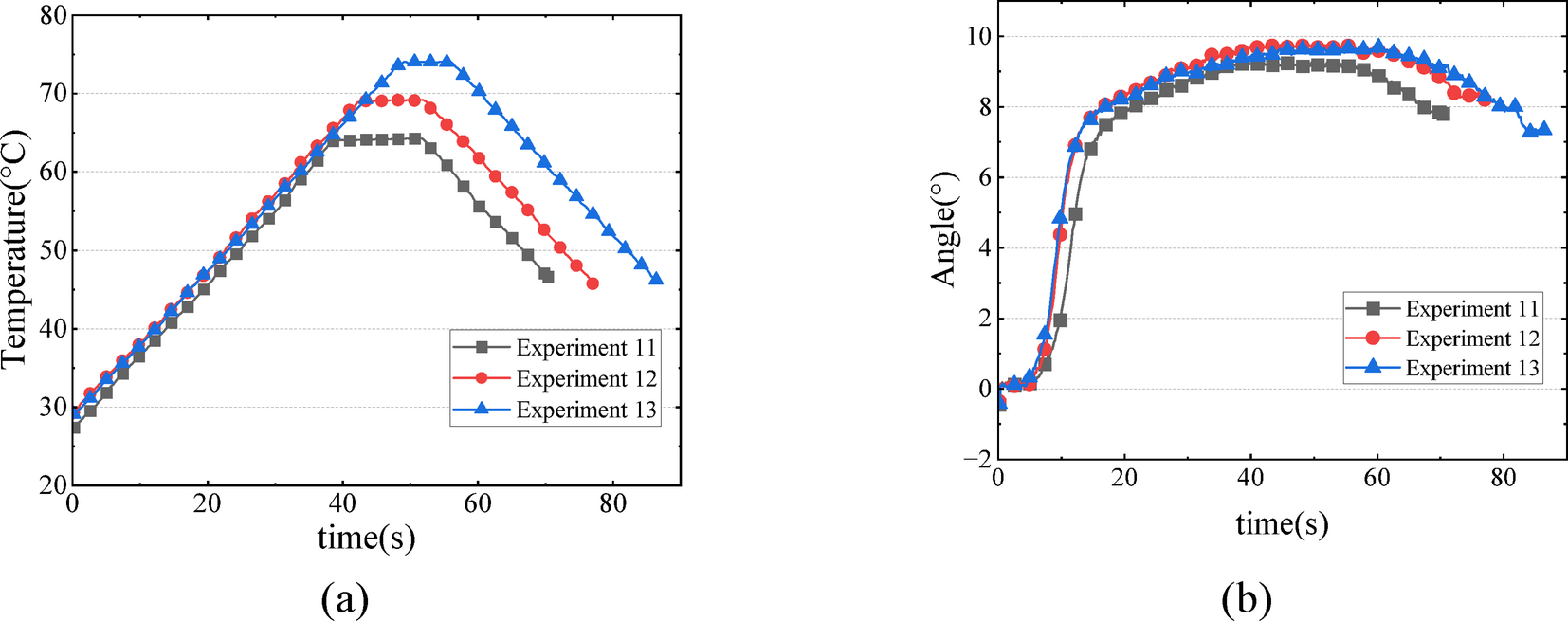
The temperature and output angle curves over time in experiments 11 ~ 13 (a) Curve of temperature change. (b) Curve of output angle.
From: An LSTM-driven thermoelectric coupling response prediction method for shape memory alloy actuators

The temperature and output angle curves over time in experiments 11 ~ 13 (a) Curve of temperature change. (b) Curve of output angle.