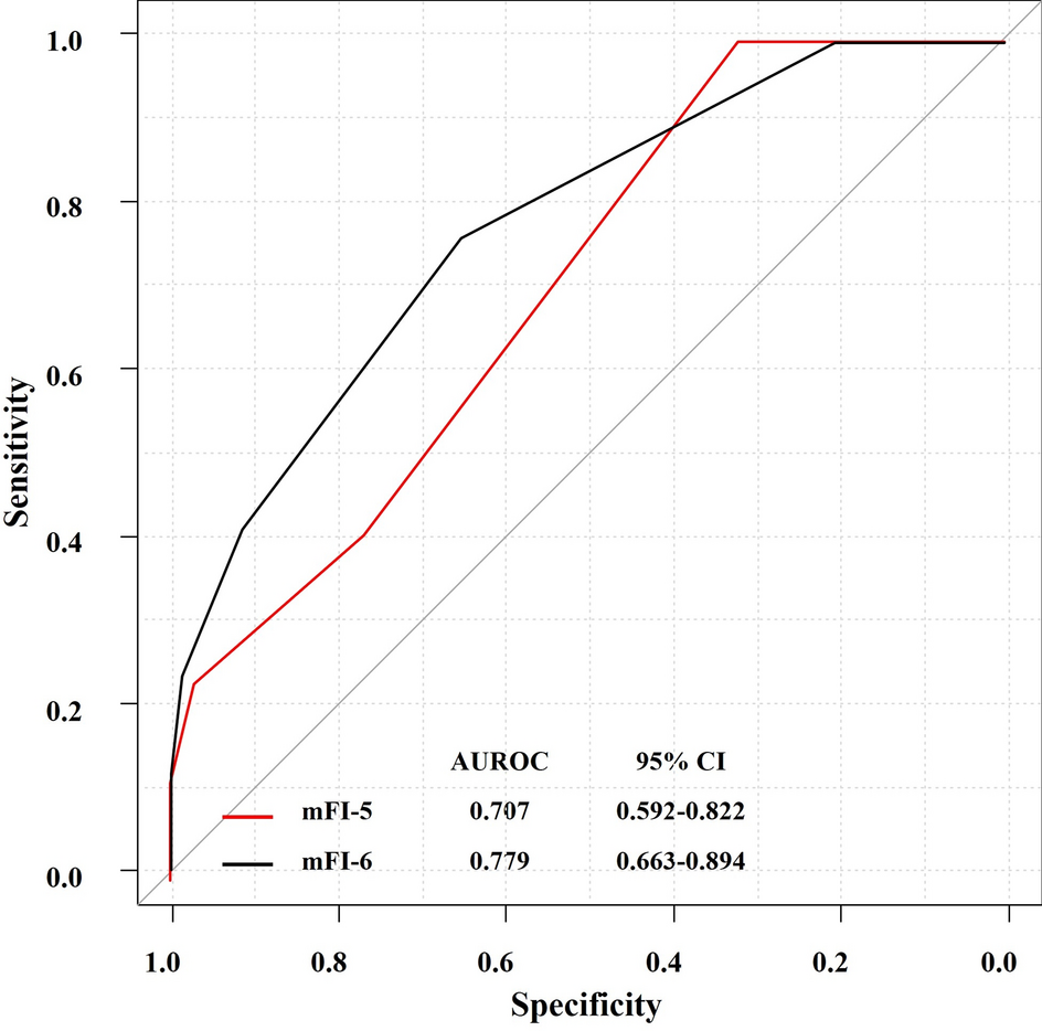
Fig. 4

Receiver operating characteristic (ROC) curves for mFI-5 and mFI-6 in predicting S-1 completion (Ehime study). The area under the curve (AUC) was 0.69 for mFI-5 and 0.78 for mFI-6, suggesting that mFI-6 has superior predictive value. The optimal cutoff for mFI-6 was ≥ 2, based on the Youden index.