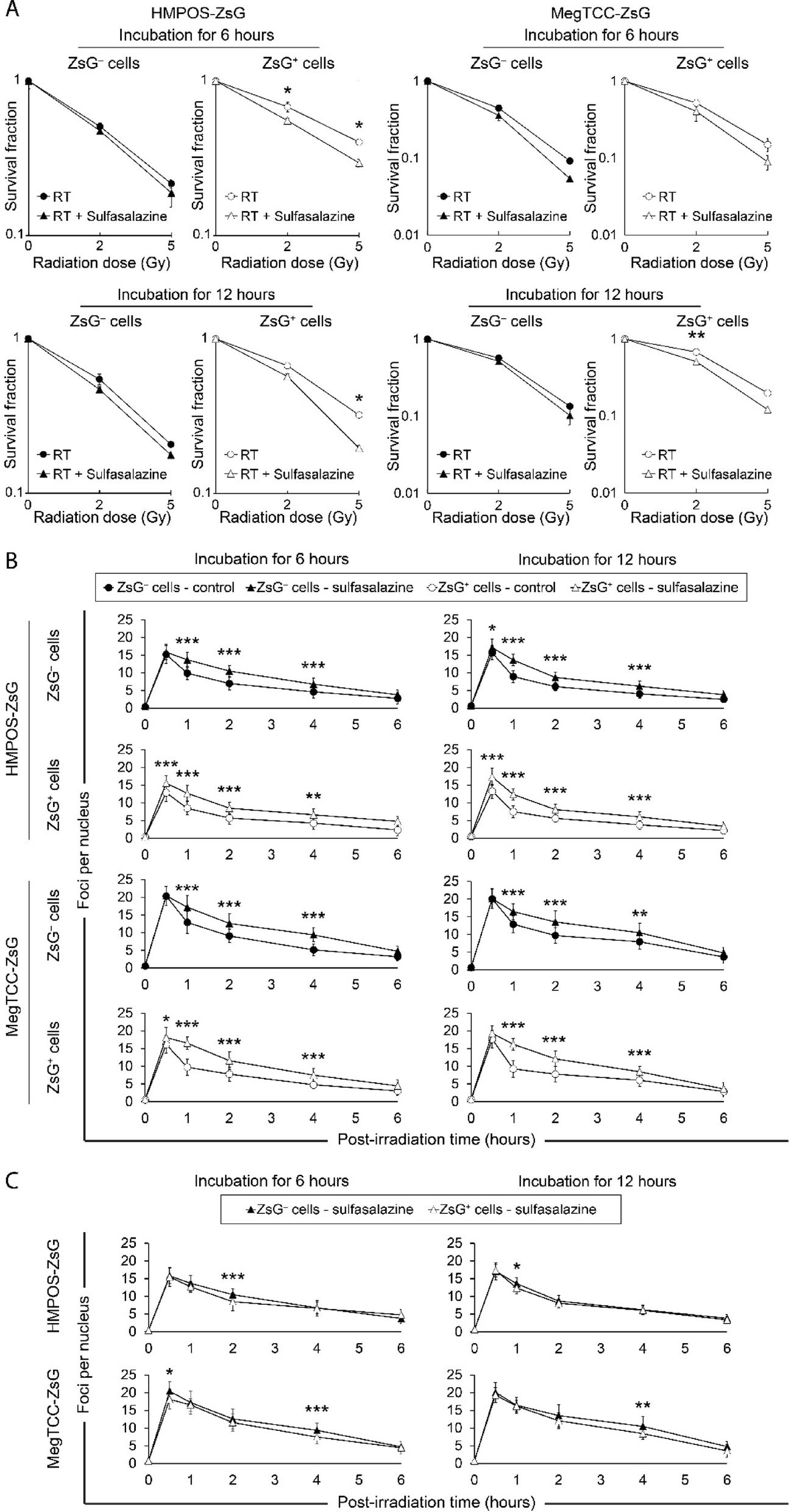
Fig. 4

Effect of sulfasalazine on the radio-resistance of ZsG+ cells. (A) Radiation survival curves showing radiosensitizing effects of 1,000 µM sulfasalazine. (B) Change in DSB levels due to X-irradiation after incubation with 1,000 µM sulfasalazine in ZsG− and ZsG+ cells. (C) Comparison of X-irradiation–induced DSB levels between ZsG− and ZsG+ cells after incubation with 1,000 µM sulfasalazine. Error bars correspond to the standard deviation of the mean from three independent experiments. Tukey’s multiple comparison test was used for statistical analysis. *p < 0.05, **p < 0.01, and ***p < 0.001. DSB, DNA double-strand break.