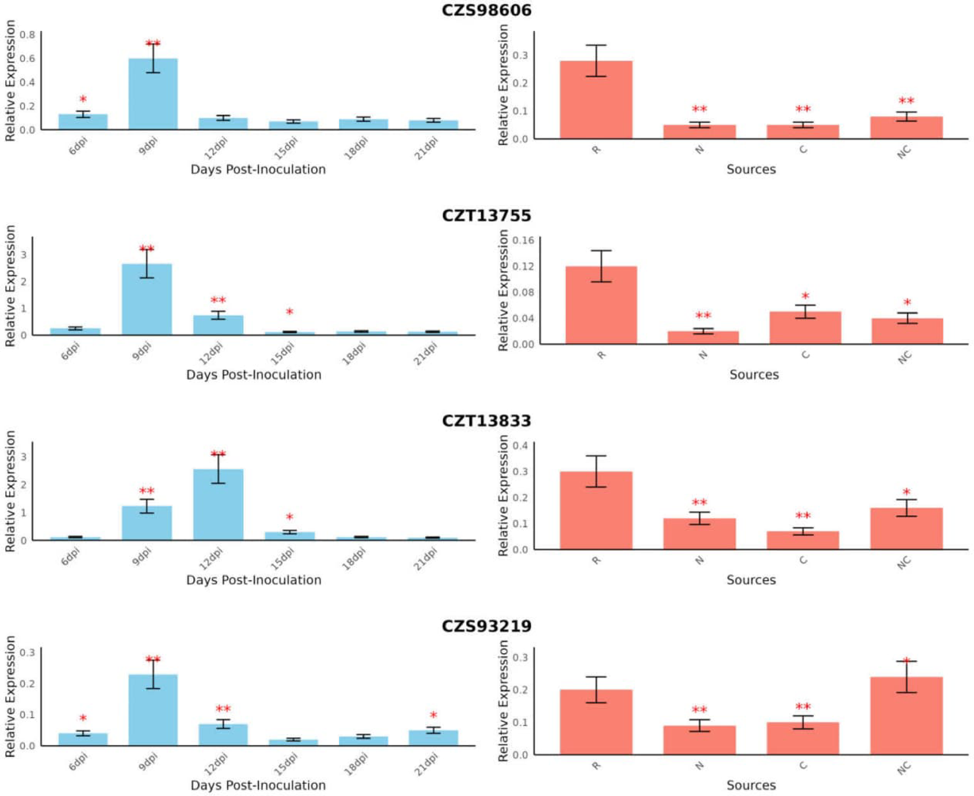
Fig. 5

Relative expression of four ECs at intervals of 6, 9, 12, 15, 18, and 21 days’ post inoculation with R. commune and samples subjected to the mycelium starvation test. The samples were subjected to various nutrient conditions: B5-R (nutrient-rich source: complete B5 medium), B5-N (absence of nitrogen: potassium nitrate, ammonium sulfate), B5-C (absence of carbon), and B5-NC (absence of both nitrogen and carbon). In the presented data, error bars represent the standard error. Statistical significant was performed one-way ANOVA. * p < 0.05 and ** p < 0.01.