Fig. 8
From: Supervised learning of the Jaynes–Cummings Hamiltonian

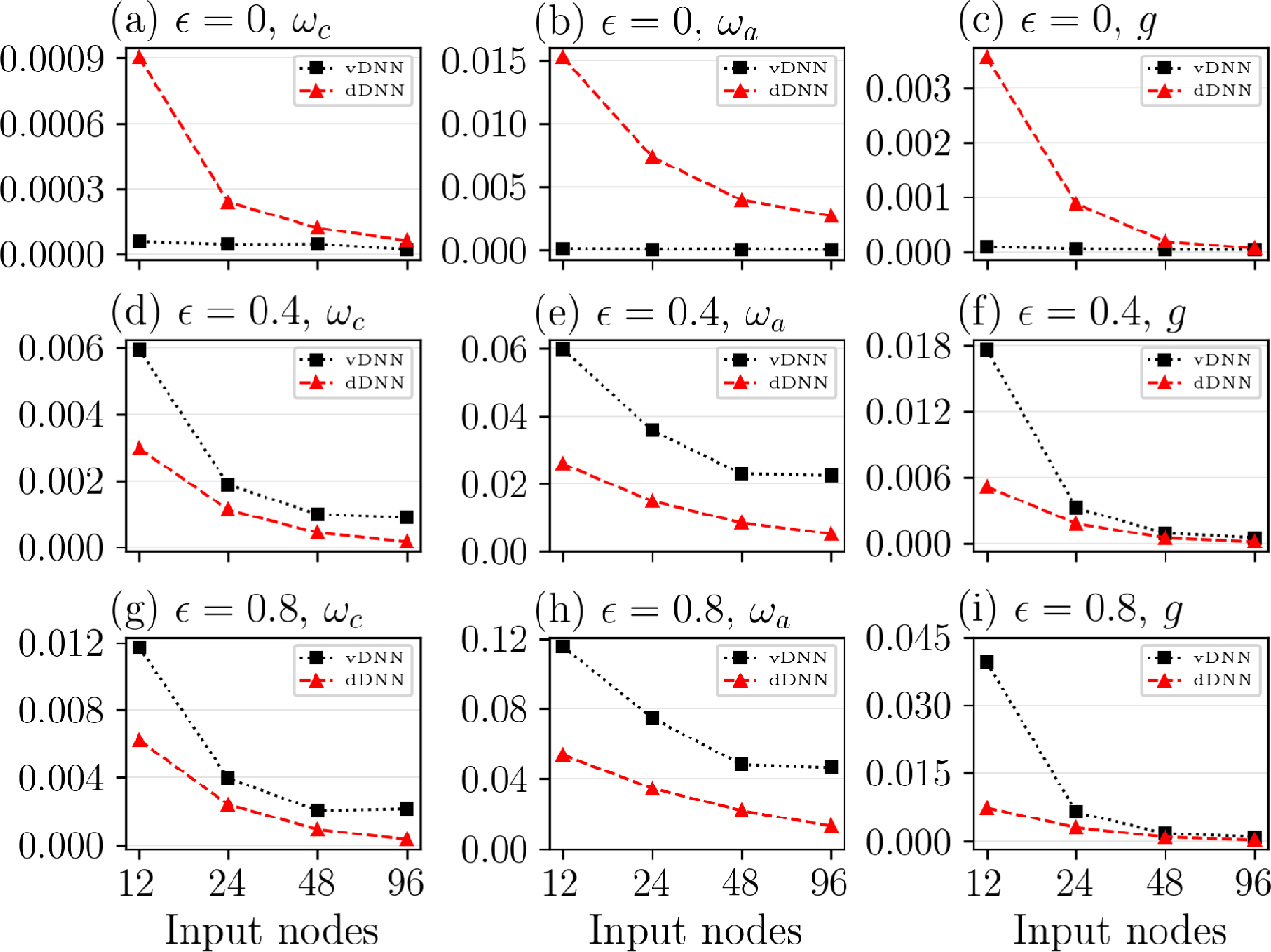
RMSE of each parameter. The top row is for noise strength \(\epsilon = 0\), the second row is for \(\epsilon =0.4\), and the bottom row is for \(\epsilon = 0.8\). (Black) squares depict results from the vDNN model, and (red) triangles the results from our dDNN model.