Abstract
The subjects of this study were two congeneric species of the genus Bidens, the European native Bidens tripartita and the invasive Bidens frondosa. The aim of this research was to determine: (1) the selenium content of the specimens of these species and the soils in which they grew, (2) the role of habitat parameters in shaping selenium levels in the soil and the plants studied, and (3) the bioaccumulation potential of the plants studied, taking habitat conditions into account. Specimens of both species were collected from riverbanks in Poland and Montenegro, and the Se concentrations in each specimen and in the soil sample from each site were measured. Our studies indicate that the invasive species B. frondosa has significantly higher selenium concentrations and greater bioaccumulation abilities (BCF > 1) compared to B. tripartita. Despite the average selenium concentration in the soil being higher in Poland than in Montenegro, Se concentration accumulated in B. frondosa collected in Montenegro was higher, it was also observed that soil chemical properties affect Se bioaccumulation in this species. The type of land use within each site has also been identified according to CORINE classification. The results of the study indicated a great significance of human impact on the selenium enrichment of plants, as the specimen collected in artificial rivers and areas impacted by anthropogenic pression contained much higher amounts of Se than plants growing in more natural habitats. The results also illustrated that the invasive species that have the ability to accumulate selenium, like B. frondosa, can be an exogenous root of this particular trace element for living organizms.
Similar content being viewed by others
Introduction
Despite the crucial role selenium has in supporting proper growth and well-being of humans and animals, the essentiality of this metalloid for plants is still debatable, although studies show that low concentrations of Se may help plants cope with abiotic stress1,2 and they play a positive role in the growth and development of plants, yield and fruit quality3,4. Selenium exists in nature in both inorganic forms: bioavaiable selenate and selenite, and also unavaiable to plants selenide and elemental Se, as well as organic: seleno-cystine (SeCys) and seleno-methionine (SeMet)1,5. Selenate is more water soluble and easier for plants to absorb, it is the predominant form in alkaline and well-oxidized soils, whereas selenite is most common in anaerobic, acidic soils and wetlands5,6. The selenium content in soil depends on soil properties, like pH and texture (content of clay particles) and total absorbed bases, and in general it is lowest in acidic and sandy soil7. Selenium chemically resembles sulfur and the uptake mechanisms of these two elements in plants are similar; Se is recovered from the soil through sulphate (selenate) or phosphate (selenite) transporters6. Some species of plants are considered Se hyperaccumulators and those plants are proven to prefer accumulating avaiable selenium over sulfur, while most plants do not seem to differentiate these two elements. Selenium hyperaccumulators are found among families Brassicaceae, Fabaceae, and Asteraceae, and their presence indicates highly seleniferous soils8.
The Bidens genus, of the family Asteraceae, includes up to 240 species of annual, or more rarely perennial herbs, most often growing nearby rivers or wetlands worldwide9,10,11. Several species of the genus Bidens, of which B. pilosa was the most well-studied, are still used in traditional medicine, for they are proven to have antibiotic and antimicrobial effects, and appear to be effective in treating diseases such as malaria12,13. Bidens pilosa also exhibits anti-diabetic and anti-inflammatory effects as well as it can potentially help regulating allergic response and decrease number of tumor cells14,15,16. The same antibacterial, antifungal and antioxidant properties are observed in Bidens frondosa and Bidens tripartita17,18,19. Compounds, that determine the usefulness of these species to human health, are polyacetylenes and flavonoids, which can be found in plant extracts14,19,20. Another interesting aspect of Bidens species is their ability to accumulate some of the heavy metals, such as cadmium, nickel and lead21,22,23, as well as other chemical compounds, like PAH22,24. B. pilosa is known to be a Cd hyperaccumulator and B. tripartita is a Cd accumulator23,25. A study conducted on B. pilosa26 showed that this plant tends to accumulate various heavy metals avaiable in the soil, although while most of the absorbed metals (Pb, As, Zn) would mainly be present in the roots, cadmium is accumulated equally in both the roots and the shoots. As metals are mostly absorbed passively, these disparities in their translocation suggest different transport capacity and specific cell membrane permeability, when dealing with certain elements26,27. Selenium has been found to play an important role in reducing the uptake of Cd by plants, as well as in mitigating the adverse effects of Cd toxicity in plants, fruits and seeds2,28,29,30. This element in the plant may have a protective function by reducing heavy metal accumulation, if not in the whole plant, then at least in certain parts of it31,32,33,34,35,36.
To the best of our knowledge, species of the Bidens genus have not yet been the subject of research regarding selenium content and the possibility of bioaccumulation of this element. In the case of herbs, in addition to their medicinal properties, it is also important to know whether they can be an important source of exogenous antioxidants for humans, including selenium. This prompted the study of two species of herbs from the genus Bidens, one of them B. tripartita is a European species37, while the other B. frondosa is an invasive species originating from North America that was first introduced in Europe in the second half of eighteenth century and began spreading across the continent by the end of nineteenth century38. B. tripartita shows less invasive capacity, being less plastic in terms of regulating the vegetative phase length and more vulnerable to a shortage of water in the soil37. The research was conducted in various habitat conditions in remote regions of Europe: Poland and Montenegro. The aim of these studies was to determine: (1) the selenium content in B. frondosa and B. tripartita and in soils under various habitat conditions, (2) the bioaccumulation potential of the studied plants, taking habitat conditions into account, and (3) the role of habitat parameters in shaping the selenium level in the soil and the studied plants.
Results
Chemical composition of soils and selenium content in these soils
In soil samples the selenium content ranged from 0.026 to 1.267 µg/g, whereas in Poland it was in the range of 0.039–1.267 µg/g, and in Montenegro 0.026–0.247 µg/g (Table 1).
In Montenegro B. frondosa appeared in extremely diversive alluvial habbitats, with a significant limestone skeleton presence. The habbitats varied from dry mineral soil, with organic material content with the average of 5.6% to organic soil with the organic mineral content with the average of 32%. These soils were characterized by their composition: amount of general N ranged from 0.17% in the mineral soils to 1.39% in organic soils; available P ranged from an average amount in the mineral soils (266.9 mg/kg) to a very high amount in mineral-organic soils (721.0 mg/kg); available K was a scope from a very low amount in the organic soils (157.4 mg/kg) to a low amount found in the mineral-organic soils (269.5 mg/km); finally an extremely high amount of available Mg (from 12,515.0 mg/kg to 31,188.0 mg/kg) (Table 2). High amount of calcium carbonate (from 22.0% in organic soil to 41.22% in mineral soil on average) contributed to the basic pH of the soil (pH of KCl > 7.2). Regardless of the rich deposits of carbonates and magnesium salts, these soils did not exhibit significant salinity (on average from 216.5 µS cm−1 in mineral soils to 1060.0 µS cm−1 in organic soils).
A positive correlation was found between organic matter, organic carbon, N, C:N, K, salinity, silt, clay, and a negative correlation between sand and selenium content in the soil (Table 3).
In Poland B. frondosa was also present in very differentiated habitats of river valleys, however with different properties than in Montenegro. Firts of all soil bedrocks were not composed of alcaline aluwia filled with calcium fragments, but mineral aluwia, which are mostly sandy, with mineral-organic and orgainc soils and a pH ranging from highly acidic to slightly acidic. These soils were charcterised by: available P ranging from an average amount for mineral soils poor in organic matter (265.1 mg/kg on average) to very high amount in mineral-organic soils (1659.4 mg/kg on average); very low amount of available K (on average from 18.3 mg/kg in mineral soils poor in organic matter to 190.0 mg/kg in mineral-organic soils) and finally available Mg ranging from a low amount for mineral soils poor in organic matter (39.0 mg/kg on average) to very highamount in organic soils (902.2 on average) (Table 2). The lack of salicity of soil was determined, however the concentration of salt had a wide range (from 77.8 µS·cm−1 for mineral soils poor in organic matter to 985.8 µS·cm−1 in organic soils, on average).
There is a positive, significant impact of organic matter and content of C organic, N on selenium countent in the soil (Table 3).
The second analized species, B. tripartita, was present in a bit less differentiated habitats. In Montenegro B. tripartita grew on clay alluvial soils, rich in organic matter (4.4% on average) and mineral-organic soils (12.4% on average). These soils had basic pH (pH of KCl ranging from 7.28 in mineral-organic soils to 7.55 in mineral soils, on average), thanks to the significant percentage calcium carbonate present in the soils (from 25.9% in mineral-organic soils to 37.0% in mineral soils, on average). Furthermore they were charcterised by the presence of: total nitrogen from 0.13% in mineral soils to 0.46% in mineral-organic soils, on average; available P ranging from high amount (375.5 mg/kg in mineral soils, on average) to very high amount (1010.4 mg/kg in mineral-organic soils on average); very low amount of available K (from 181.9 mg/kg in mineral soils to 225.6 mg/kg mineral-organic soils, on average) and a very high amount of available Mg (from 14,315.4 mg/kg in mineral soils to 19,858.0 mg/kg in mineral-organic soils, on average). The salicity of the soils was ranging on average from 198.3 µS·cm−1 in mineral soils to 355.8 µS·cm−1 in mineral-organic soils on average (Table 4).
It was found that soil selenium content was positively correlated silt and clay (Table 3).
In Poland this species was present in the river valleys in diverse habitats—mostly living on sandy soils rich with caries and mineral-organic soils as well as sporadically present in organic soils. These soils had an average of mildly acidic pH (pH of KCl ranging from 5.88 in mineral-organic soils to 6.40 in organic soils), they had negliglible salicity (ranging from 63.0 µS·cm−1 in mineral soils, lacking in organic matter, to 1355.3 µS·cm−1 in organic soils, on average). Furthermore they were charcterised by the presence of the following elements: the amount of P ranging from high amount in mineral soils, lacking in organic matter (354.0 mg/kg on average), to very high amount in organic soils (2242.0 mg/kg on average); the amount of K ranging from very low amont in mineral soils, lacking in organic matter (8.3 mg/kg on average) to low amount in organic soils (28.6 mg/kg on average); lastly the amont of Mg ranging from low in mineral soils, lacking in organic matter (24.0 mg/kg on average) to a mediocre amount in organic soils (666.0 mg/kg on average) (Table 4).
Selenium content in soils was varied and positively correlated with sand and negatively with clay. (Table 3).
Variability of selenium concentrations in B. frondosa and B. tripartita in different habitat conditions
The selenium content in plants ranged from 0.001 to 0.348 µg/g (Table 1), with significant statistical differences depending on the species (U–M Whitney test: U = 1208, Z = 1.95, p = 0.049). Clearly higher selenium content was found in Bidens frondosa (Fig. 1).
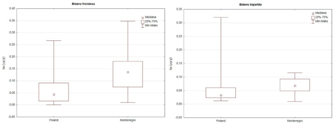
Both in Poland and Montenegro there were reports higher selenium content in Bidens frondosa (Fig. 2), but the significant statistical differences was only in Montenegro (U-M Whitney test: U = 588, Z = 0.23, p = 0.82; U–M Whitney test: U = 95, Z = 2.97, p = 0.003 respectively).
When analyzing differences in selenium content in specimens of particular species in particular countries, it was observed the higher selenium content in Montenegro than in Poland both for B. frondosa (U-M Whitney Test: U = 159.0, Z =− 3.389, p = 0.0007) and B. tripartita (U–M Whitney Test: U = 235.0, Z = − 2.124, p = 0.034) (Fig. 3).
In case of B. frondosa in Poland the amount of Se in the plant was not dependant on the most of the soil parameters in any significant way, with the exception of silt, which showed a significant negative influence (RS = − 0.481) (Table 5). On the other case in B. tripartita, there is a positive relationship between the Se content in plants and the Se content in the soil (RS = 0.426) and negatively correlation in clay fraction (RS = − 0.450).
With the B. frondosa in Montenegro there was not determined any significant correlation between the amont of Se in the plant and the amont of Se present in the soil (RS = 0.376, p = 0.053). It was, however, observed that there was a positive influence of K and Mg and a negative influence of sand (Table 5). For B. tripartita from in Montenegro, there is a positive correlation between the Se content in plants and the Se content in the soil (Rs = 0.492).
For B. tripartita from in Montenegro, there is a positive correlation between the Se content in plants and the Se content in the soil (Rs = 0.492). In addition, selenium content in plants was positively correlated with organic matter, organic carbon, N, K, Mg, salinity, silt, clay, but negatively with sand (Table 5).
Differences in selenium content, depending on the type of land use in Bidens frondosa, were not statistically significant in Poland (K-W test: H (4, N = 32) = 7.028208 p = 0.1344); but they were in Montenegro (K-W test: H (3, N = 22) = 14.63326 p = 0.0022). In specimens collected in Poland, the biggest difference was between island wetlands and forest (post hoc test results—multiple comparison of ranks for all samples p = 0.031), while for Montenegro it was between urban fabric and pastures (post hoc test results—multiple comparison of ranks for all samples p = 0.001) (Supplementary material 1, Fig. 4).
However, in the case of Bidens tripartita both for Poland and Montenegro, no statistically significant differences were found, which would prove the relationship between the selenium content in plants and the nature of the environment (K–W test: H (4, N = 38) = 4.492770 p = 0.3434; K–W test: H (3, N = 19) = 4.948684 p = 0.1756 respectively).
The selenium content in the studied plants also differed depending on the type of river they were located on. In Poland the selenium content in Bidens frondosa was high for plants located on very small and large, and in B. tripartita for plants located on large rivers (Supplementary material 2, Fig. 5). In case of B. frondosa, the differences in selenium content depending on the size of the watercourse were statistically insignificant (K–W Test: H (3, N = 32) = 5.992045 p = 0.1120). However, in case of B. tripartita, the differences in selenium content depending on the size of the watercourse were statistically significant (K–W Test: H (3, N = 38) = 12.93661 p = 0.0048). For B. tripartita, post-hoc tests showed significant differences between large and very small river (p = 0.044), and between very small and medium river (p = 0.047).
In Montenegro the selenium content in Bidens frondosa was high for plants located on artificial rivers, and in B. tripartita for plants located on very small rivers (Fig. 5). In case of both species, the differences in selenium content depending on the size of the watercourse were statistically insignificant (K–W Test: H (2, N = 22) = 1.930016 p = 0.3810; K–W Test: H (2, N = 19) = 0.9484211 p = 0.6224).
Bioaccumulation of selenium in Bidens tripartita and Bidens frondosa
The studied herb species differed in selenium accumulation. The bioaccumulation coefficient (BCF) for B. frondosa ranged from 0.019 to 4.959, while for B. tripartita it ranged from 0.057 to 1.054 (Table 1). Both species also showed differences in selenium accumulation depending on their region of occurrence. In B. frondosa specimens from Poland, the lowest BCF value was 0.019, and the highest was 1.764, with an average of 0.311, while for specimens from Montenegro, these values were 0.067, 4.962, and 1.347, respectively. For B. tripartita from Poland, the lowest BCF value was 0.057, and the highest was 0.868, with an average of 0.298, while in specimens from Montenegro, it was 0.259, 1.054, and 0.678, respectively.
Discussion
Selenium concentrations in soil vary in relation to natural events and human activity. The content of this trace element in soil typically ranges from 0.01 to 2.0 mg/kg, and averages 0.4 mg/kg in the world’s soils38,39. The selenium content is highly variable and depends on the type of soil and other characteristics of a given location, such as frequency of flooding or method of use. The concentrations of selenium are in general significantly lower in soils which developed in a moderate European climate, in comparison to soils from tropical and subtropical regions40. In countries from the balkan region the dominant types of soils are slightly acidic luvisols and brown soils, which show low concentration of selenium7, through which the average is equal to 0.27 mg kg−141. In Poland selenium in sandy soils is equal to on average 0.14 mg/kg (0.06–0.38 mg/kg), in clay soils it is equal to on average 0.3 mg/kg (0.18–0.6 mg/kg), in alluvial soils (in the river valleys) it is equal to on average 0.22 mg/kg (0.12–0.34 mg/kg) and lastly in organic soils it is equal to on average 0.7 mg/kg42. The results of our tests confirm this data. Soils in Balkans are reported to be mainly acidic to neutral, and selenium content is very low. Montenegrin soils are more genetically diverse. Typical grey-brown forest soils and podzols with an acidic reaction are found in mountainous areas above plateaus, while alkaline terra rossa soils, products of dolomite and limestone weathering, are found in the coastal zone43. Weathering products of dolomite, limestone, and other rocks are also deposited in river valleys. Our studies showed that B. frondosa and B. tripartita species were found in river valleys with classical carbonate-rich alluvial sediments with an alkaline reaction. It is known that there is a selenium deficiency problem in this region (selenium deficiency in soil occurs below 500 µg/kg)44. Jović45 reported that selenium content in the soils in Serbia and Montenegro ranges from 39 to 440 µg/g (average 230 µg/g), primarily associated with the silt and clay fraction. The author notes that available forms account for only 1.2–28.2% of the total forms. Our study supports this observation, as the highest recorded concentration of Se in soil samples from Montenegro was 0.246 µg/g (246 µg/kg), and mean value was 0.143 µg/g (143 µg/kg). Thanks to silt and clay, clay soils have higher absorbatory qualities, which allows more Se absorption. Because of this clay soils have more Se than sandy soils or alluvial soils, however it does not mean that all of the available forms of Se in these clay soils are able to be absorbed by plants42.
In soils from both Montenegro and Poland in which B. frondosa grew, a positive relationship between organic matter (OM) abundance and soil selenium content was observed in the presented study. Selenium can form complexes with organic matter, and the fraction of Se associated with OM sometimes accounts for up to 40–50% of the total selenium content in the soil46,47,48. In case of B. frondosa in Montenegro soils, a positive correlation of the concentration of selenium was noted, not only with OM, but also with some of the other parameters of soil, including silt and clay, and a significant negative correlation with sand. In this country positive relations between the amount of Se and silt and clay were also present in the subsoil of Bidens tripartita. The presented results are compadible with the ones aquired by Matos et al.49 in regards to the correlation of Se with clay and sand, however there was no correlation there with silt.
Selenium is a metalloid that can compete with sulphur and phosphate when absorbed by the plant root system. There is a relationship between the rate of Se accumulation in plant tissues and its concentration and speciation in soil. The results of our research suggest that there is a relationship between the content of Se in soil and in plants, although the connection between these values differed depending on plant species. In case of B. tripartita, the significant positive correlation was in the plants from Poland and Montenegro, while it was non-significant in B. frondosa. A high total selenium content in the soil does not always indicate a high content of bioavailable Se10,22,32,50. The content of this micronutrient in plants sometimes differed significantly within a species, depending on the region of origin. This was the case with B. frondosa, which when collected in Montenegro contained significantly more selenium in its tissues than specimens of the same species growing in Poland, even though the average selenium concentration in the soil is higher in Poland than in Montenegro. It is possible that the higher uptake by B. frondosa from Montenegro was due to differences in soil types and other soil properties, as well as the dominance of bioavailable forms of Se. Therefore, the generally predicted relationship, that the total soil Se content is positively correlated with the concentration of this element in the plant, is not straightforward.
The soils where B. frondosa grew in Montenegro were alkaline, while in Poland they were mostly acidic, which may have influenced the levels of this trace element in the plants. In alkaline soils, the dominant form of Se is soluble selenates (VI), while in acidic soils, large amounts of Se are immobilized32. Organic matter accumulated in the soil also contains significant amounts of Se, which gradually becomes available to plants during its transformation and mineralization32. Our studies showed that in B. frondosa as well as B. tripatrite the concentration of Se in the plant was correlated with a higher amount of soil parameters in Montenegrin soils, rather than in Polish soils. With that, the positive correlation of K and Mg could be connected with the structure of the bedrock (big contribution of the limestone skeleton), which affects the pH of the environment. In the neutral and basic environment K, Mg and Se are more available, than in the acidic environment. Moreover in Motenegro, in regards of B. tripartita, there was a positive correlation determined between Se in the plant and the salicity, which can have a connection with the salts Ca and Mg, with a basic pH, which come from limestone skeleton. In Poland this correlation is insignificant for both of the species, regardless if it was negative. Because of the acidic pH of the environment the salts of an acidic character can dominate there, which can effect negatively the absorbtion of Se by the plant. Selenium uptake by plants depends not only on the plant species and the soil parameters discussed, but also on many other factors, including redox potential and environmental factors such as microbial activity and moisture content6,51.
In regards to different types of spatial development and land use, the highest concentrations of Se were reported in the material collected on heterogeneous agricultural areas and inland wetlands in Poland. In Montenegro, concentration of Se in plants from the heterogeneous agricultural areas was high as well, but it was the highest in the urban fabric. All of these high values of Se were found in B. frondosa. Previous studies suggest that even strong anthropogenic pressure does not significantly impact the natural levels of Se in soil52,53. However, agricultural crops are often additionally treated with selenium fertilizers in order to obtain Se-enriched food, especially in regions with a documented selenium defficiency. Edible plants are the main source of selenium in human diet, and lack of this element causes various diseases, such as Keshan disease, hence the need to purposely increase the Se concentration in the consumed crops1. This could be the reason that selenium in the examined agricultural areas was of more soluble and bioavaiable fraction and explain the enhaced uptake in plants growing there. Agiculture and industrial processes are nowadays the main sources of selenium in the environment (except for natural sources, which are volcanic eruptions and geological processes)54, so it is not surprising that the plants from urban and agricultural areas showed the highest Se content among examined specimens.
In personal studies it was determined that only in Poland, and only in case of large and medium sized lakes, does B. tripartita show higher concentration of Se in comparison to the invasive B. frondosa, which, in both countries, acumulates selenium the most successfully in small rivers, and in Montenegro also in man-made rivers. In the research concerning the content of selenium in macrophytes from running waters55, it was stated that the highest Se concentrations were observed in macrophytes collected in streams flowing through villages or near fields, because a significant amount of bioavaiable selenium in the environment has anthropogenic source; it can be deposited via plant fertilisers as well as animal feed and excrements55. The results of our study also showed an importance of the anthropogenic influence, considering the high Se content in artificial river in examined Bidens specimen. Selenium can as well originate from groundwater flowing through rocks rich in certain minerals, and from there it can be deposited into streams41; that could also explain the high concentration of this element in Bidens tissue from the smallest rivers.
The two species examined in this paper, Bidens frondosa and B. tripartita, often compete with each other over the habitat across European regions. The invasive B. frondosa usually exhibits greater competitive abilities, including reaching higher biomass and height than its native competitor56. Our studies indicate that B. frondosa has a significantly higher selenium concentrations and greater bioaccumulation abilities (BCF > 1) compared to B. tripartita. This may be related to its invasive characteristics, as invasive plant species often utilize various resources and have a greater ability to uptake nutrients and other elements from the environment, including the potentially toxic ones57. In case of B. frondosa the accelerated growth in the early stages of ontozogenesis can play a significant role, because it allows it to have an earlier and fuller utillization of the habitats resources56. Considering that these plants grow on soils with low selenium content, the accumulation of this element in the plants does not indicate toxicity of the habitat, but can provide an exogenous source of selenium for living organisms.
Conclusions
Data obtained as the results of our study showed a positive correlation between the selenium content in the soil and in the tissue of the examined Bidens species. Higher Se concentrations were found in B. frondosa than in B. tripartita, which may be linked to the greater invasive abilities of the former, resulting in more intense uptake and accumulation of soil components. It was also observed, that plants growing in Montenegro reached a higher selenium content than plants of the same species collected in Poland, despite the mean value of Se content in the soil samples in Montenegro being lower than in Poland. The reason could be a different ratio of bioavaiable and soluble selenium forms to the total Se content in the examined sites. We also established a great significance of the human impact on the selenium enrichment of plants, as the highest Se concentrations were observed in the plants growing in the areas that were the most influenced by antropogenic pressure, such as agricultural crops, urban fabrics and artificial rivers.
Material and methods
Study area
The research was conducted in the area of two countries—Poland and Montenegro.
Poland is located in the central part of Europe, and extends from the Sudetes and Carpathian Mountains in the south to the Baltic Sea in the north. Poland is mainly located in the Central European Lowlands, from where most of the samples were taken. The others came from the area of the Polish Uplands located to the south58. Poland has a moderate transitional climate with both oceanic and continental influences. The geographic location and the predominance of western temperate zone circulation, translates into a greater influence of the Atlantic59. According to the Köppen-Geiger climate classification, most of Poland belongs to the oceanic, humid temperate climat (Cfb), generally characterized by cool summers and mild winters60.
In Poland, under the influence of climate, vegetation, topography, water, type of bedrock and anthropopressure, different types of soils have formed. On clay formations of glacial or weathering origin Cambisols and Luvisols soils developed; on sandy formations (postglacial, fluvioglacial, aeolian) Podzols, Arenosols and Regosols soils; on highly humid areas Histosols soils; in river valleys Fluvisols (Alluvial soils) of different grain size and moisture content (sands, silts, clays) and Gleysols soils61,62.
In Poland, Bidens frondosa and Bidens tripartita grow mainly in wetlands, such as river banks, marshes and floodplains. Such areas have periodically flooded Alluvial soils, Gleysols and Histosols that are generally strongly moistened. They account for about 8–10% of Poland’s soils. These soils are usually fertile, rich in humus and nutrients with a slightly acidic to neutral pH (pH 6–7), less often acidic and alkaline. In addition, these species also occur on clay and sandy soils, and even moist anthropogenic soils in ruderal habitats63.
Montenegro is situated on the Balkan Peninsula, and lies within the Dinaric Alps which act as a barrier between Mediterranean and continental air masses. Samples were taken in the southern part, where there is a Mediterranean climate with hot and dry summers and changeable, rainy weather in winter—Csa, and with warm summers—Csb (according to Köppen-Geiger criteria)60,64. Due to the topographic conditions of with high relief dynamics, under the combined influences of surface and groundwater, precipitation and temperature, vegetation, and under anthropogenic influence, many types of soils have developed, of which the most dominant in southern Montenegro are the following soil types: Calcomelansol; Eutric Cambisol, Terra rossa, Alluvial soils. District Cambisol with high acidity is most widespread in north-eastern Montenegro, while the coastal zone is dominated by alkaline terra rossa soils43.
In Montenegro, the studied Bidens species grow on soils of similar origin and moisture conditions as in Poland, but with different chemical characteristics. This is due to the different parent rock—the sediments are often enriched in limestone and dolomite43,65.
The surveys were conducted in river valleys of various sizes and artificial watercourses. The following classification of rivers66 according to the size of the river basin was adopted (very small—lower than 1.000 km2, small—1–10.000 km2, medium—10.001–100.000 km2, large—0.1–1 mln km2) (Table 1).
The investigated part of Montenegro belongs to the Adriatic catchment area. The biggest water courses are the Zeta and the Morača that supply Skadar Lake, then the waters are discharged into the Adriatic by the Bojana River. Other smaller rivers and streams like Ricavač, Željeznica, Grdevica, Koložun, Bečića, Veštica, flow directly into the Adriatic sea67.
The vast majority of Poland’s area belongs to the Baltic Sea drainage basin. The Wisła River basin covers the largest area, within which research was conducted in the valleys of the Nida, Czarna Maleniecka, and Luciąża rivers. The Odra River basin is the second largest, where samples were taken in the valleys of the Odra, Bóbr, Warta, Widawka, Postomia, Ina, Korytnica, Dobrzyca, Rurzyca. Also included in the study were the rivers of the Przymorze, draining directly into the Baltic Sea (Sąpólna, Parsęta, Radew, Rega, Łupawa, Słupia)68.
Economic human activity leads to the transformation of the natural landscape, and has a major impact on surface water. It contributes to the pollution of water and soils developed in river valleys69. The quality of surface water in Montenegro is threatened by various sources such as insufficiently treated domestic and industrial wastewaters (chemical and pharmaceutical industry), intense mining (lead–zinc, bauxite, barite) and quarry, traffic, intensive tourism, different water activities on rivers (rafting, kayaking, fly-fishing), presence of active agriculture and intensive livestock, meat and food industry in river valleys70.
The quality of water in Poland is most strongly influenced by agriculture, especially in terms of eutrophication. The municipal and industrial sectors are now less disruptive, but still contribute to river pollution. The largest municipal and industrial point sources discharged sewage primarily to Poland’s main rivers. The impact of mining is also not insignificant, especially in terms of climate change, leading to increased temperatures and reduced rainfall71,72.
Data collection and analytical procedures
The studies were conducted in 2017–2020 (July–October), in places of river valeys with high coverage of Bidens sp. (Bidentetea tripartiti communities). The collected material included a total of 113 samples of Bidens sp.—58 samples of B. tripartita L. (39 from Poland and 19 from Montenegro) and 55 samples of B. frondosa L. (33 from Poland and 22 from Montenegro). All samples came from separate locations. One to three plant specimens were randomly harvested at each location. The collected specimens were dried and preserved using standard methods. For each plant sample soil samples were collected using Egner’s soil sampler from the plant root zone (0–20 cm). Each sample were air-dried, crushed, and were subjected to selected physicochemical analyses (texture by Bouyoucos method with Casagrande and Prószyński modification), weight percentage of soil skeleton (over 2 mm diameter) [%], acidity (pH in 1N KCl) determined by the potentiometric method, total nitrogen (TN) and total carbon (TC) content was determined using the elemental CHNS analyser (Costech Instruments Elemental Combustion System) [%], calcium carbonate content by Scheibler’s method [%], organic matter content by loss on ignition at 550ºC [%], the organic carbon (SOC) content was calculated by subtracting the amount of carbon contained in calcium carbonate (CaCO3) from the total carbon content (TC), the amount of available forms of soil nutrients (P2O5, K2O, MgO) extracted in 0,5 M HCl, electrolytic conductivity [uS·cm-1] by the potentiometric method.
The selenium (Se) concentration was determined using spectrofluorimetry with a SHIMADZU RF-5001 PC analyzer (Shimadzu, Duisburg, Germany). The process involved wet digestion of samples (whole plants) in concentrated HNO3 (at 230 °C for 180 min) and HClO4 (at 310 °C for 20 min). Following this, 9% HCl was introduced to convert selenate VI to selenate IV. Subsequently, selenate IV was complexed with 2,3-diaminonaphthalene (Sigma), and the resulting complex was extracted with cyclohexane (Chempur, Piekary Śląskie, Poland). Fluorescence measurements were taken at an emission wavelength of 518 nm and an excitation wavelength of 378 nm.
To verify the method’s accuracy in the analysis of B. frondosa and B. tripartita, the BCR-402 White Clover Certified Reference Material was utilized. The recovery rate was established at 92% of the reference value, providing assurance of the methodology’s reliability.
Statistical analysis
The bioconcentration factor (BCF) of Se was defined as the ratio of the Se concentration in the plant to that in the soil.
The Spearman correlation was used for statistical analysis of correlations between selenium content in plants and in the soil and between soil selenium content and other soil parameters. Statistical significance of differences: in selenium content, depending on the type of land use; in selenium content, depending on the type of river were tested using non-parametric Kruskal–Wallis test. To indicate significant differences between specific variables, a multiple rank comparison for all samples test post hoc was used. Statistical significance of differences: selenium content depending on particular species; selenium content depending on countries; were tested using non-parametric U-Mann–Whitney test. All statistical analyses were done by Statistica 13.0 software.
Data availability
The datasets generated during the current study are available in the Figshare repository, https://doi.org/10.6084/m9.figshare.28603394.
References
Gupta, M. & Gupta, S. An overview of selenium uptake, metabolism, and toxicity in plants. Front. Plant Sci. 7, 2074. https://doi.org/10.3389/fpls.2016.02074 (2017).
Lin, L. et al. Selenium reduces cadmium uptake and mitigates cadmium toxicity in rice. J. Hazard. Mater. 235–236, 343–351. https://doi.org/10.1016/j.jhazmat.2012.08.012 (2012).
Mostofa, M. G., Hossain, M. A., Siddiqui, M. N., Fujita, M. & Tran, L.-S.P. Phenotypical, physiological and biochemical analyses provide insight into selenium-induced phytotoxicity in rice plants. Chemosphere 178, 212–223. https://doi.org/10.1016/j.chemosphere.2017.03.046 (2017).
Pezzarossa, B., Remorini, D., Gentile, M. L. & Massai, R. Effects of foliar and fruit addition of sodium selenate on selenium accumulation and fruit quality. J. Sci. Food Agr. 92(4), 781–786. https://doi.org/10.1002/jsfa.4644 (2012).
Guignardi, Z. & Schiavon, M. Biochemistry of plant selenium uptake and metabolism. In Selenium in Plants. Plant Ecophysiology Vol. 11 (eds Pilon-Smits, E. et al.) 21–34 (Springer, 2017). https://doi.org/10.1007/978-3-319-56249-0_2.
Kikkert, J. & Berkelaar, E. Plant uptake and translocation of inorganic and organic forms of selenium. Arch. Environ. Con. Tox. 65(3), 458–465. https://doi.org/10.1007/s00244-013-9926-0 (2013).
Antanaitis, A., Lubyte, J., Antanaitis, S., Staugaitis, G. & Viskelis, P. Selenium concentration dependence on soil properties. J. Food Agric. Environ. 6(1), 163–167. https://doi.org/10.1234/4.2008.1100 (2008).
Pilon-Smits, E. A. H. Selenium in plants. In Progress in Botany Vol. 76 (eds Lüttge, U. & Beyschlag, W.) 93–107 (Springer, 2015). https://doi.org/10.1007/978-3-319-08807-5_4.
Bartolome, A. P., Villaseñor, I. M. & Yang, W. C. Bidens pilosa L. (Asteraceae): Botanical properties, traditional uses, phytochemistry, and pharmacology. Evid. Based Complement. Alternat. Med. 2013, 340215. https://doi.org/10.1155/2013/340215 (2013).
Liu, X. J. et al. Effects and mechanism of igneous rock on selenium in the tropical soil-rice system in Hainan Province, South China. China Geol. 5(1), 1–11. https://doi.org/10.31035/cg2021038 (2022).
Stępień, E. & Rosadziński, S. Communities of the Bidentetea class of small coastal river valleys of the Western Pomerania (Poland). Ecol. Monten. 28, 8–19. https://doi.org/10.37828/em.2020.28.3 (2020).
Brandão, M. G. L., Krettli, A. U., Soares, L. S. R., Nery, C. G. C. & Marinuzzi, H. C. Antimalarial activity of extracts and fractions from Bidens pilosa and other Bidens species (Asteraceae) correlated with the presence of acetylene and flavonoid compounds. J. Ethnopharmacol. 57, 131–138. https://doi.org/10.1016/S0378-8741(97)00060-3 (1997).
Geissberger, P. & Séquin, U. Constituents of Bidens pilosa L. Do the components found so far explain the use of this plant in traditional medicine? Acta Trop. 48, 251–261. https://doi.org/10.1016/0001-706X(91)90013-A (1991).
Bairwa, K., Kumar, R., Sharma, R. J. & Ray, R. K. An updated review on Bidens pilosa L. Der Pharma Chemica 2(3), 325–337 (2010).
Kviecinski, M. R. et al. Study of the antitumor potential of Bidens pilosa (Asteraceae) used in Brazilian folk medicine. J. Ethnopharmacol. 117, 69–75. https://doi.org/10.1016/j.jep.2008.01.017 (2008).
Yang, W. Botanical, pharmacological, phytochemical, and toxicological aspects of the antidiabetic plant Bidens pilosa L. Evid. Based Complement. Alternat. Med. 2014(1), 698617. https://doi.org/10.1155/2014/698617 (2014).
Rahman, A., Bajpai, V. K., Dung, N. T. & Kang, S. C. Antibacterial and antioxidant activities of the essential oil and methanol extracts of Bidens frondosa Linn. Int. J. Food Sci. Tech. 46, 1238–1244. https://doi.org/10.1111/j.1365-2621.2011.02615.x (2011).
Tomczykowa, M., Tomczyk, M., Jakoniuk, P. & Tryniszewska, E. Antimicrobial and antifungal activities of the extracts and essential oils of Bidens tripartita. Folia Histochem. Cyto. 46(3), 389–393. https://doi.org/10.2478/v10042-008-0082-8 (2008).
Wolniak, M., Tomczykowa, M., Tomczyk, M., Gude, J. & Wawer, I. Antioxidant activity of extracts and flavonoids from Bidens tripartita. Acta Pol. Pharm. Drug Res. 63(5), 441–447 (2007).
Le, J., Lu, W., Xiong, X., Wu, Z. & Chen, W. Anti-inflammatory constituents from Bidens frondosa. Molecules 20(10), 18496–18510. https://doi.org/10.3390/molecules201018496 (2015).
Bech, J. et al. Accumulation of Pb and Zn in Bidens triplinervia and Senecio sp. spontaneous species from mine spoils in Peru and their potential use in phytoremediation. J. Geochem. Explor. 123, 109–113. https://doi.org/10.1016/j.gexplo.2012.06.021 (2012).
Liu, X. et al. Effects of PASP/NTA and TS on the phytoremediation of pyrene-nickel contaminated soil by Bidens pilosa L. Chemosphere 237, 124502. https://doi.org/10.1016/j.chemosphere.2019.124502 (2019).
Wei, S. & Zhou, Q. Screen of Chinese weed species for cadmium tolerance and accumulation characteristics. Int. J. Phytoremediat. 10, 584–597. https://doi.org/10.1080/15226510802115174 (2008).
Lu, S., Teng, Y., Wang, J. & Sun, Z. Enhancement of pyrene removed from contaminated soils by Bidens maximowicziana. Chemosphere 81(5), 645–650. https://doi.org/10.1016/j.chemosphere.2010.08.022 (2010).
Wei, S. et al. Bidens tripartite L.: A Cd-accumulator confirmed by pot culture and site sampling experiment. J. Hazard. Mater. 170(2–3), 1269–1272. https://doi.org/10.1016/j.jhazmat.2009.05.078 (2009).
Wei, M. et al. Accumulation behavior of heavy metals by Bidens pilosa L. from metallurgical slag: Effects on plant physiology and absorption characteristics. J. Mt Sci. 20(9), 2580–2591. https://doi.org/10.1007/s11629-023-7981-1 (2023).
Dai, H., Wei, S., Twardowska, I., Han, R. & Xu, L. Hyperaccumulating potential of Bidens pilosa L. for Cd and elucidation of its translocation behavior based on cell membrane permeability. Environ. Sci. Pollut. R. 24, 23161–23167. https://doi.org/10.1007/s11356-017-9962-9 (2017).
Ismael, M. A. et al. Cadmium in plants: Uptake, toxicity, and its interactions with selenium fertilizers. Metallomics 11, 255–277. https://doi.org/10.1039/c8mt00247a (2019).
Mozafariyan, M., Shekari, L., Hawrylak-Nowak, B. & Kamelmanesh, M. M. Protective role of selenium on pepper exposed to cadmium stress during reproductive stage. Biol. Trace Elem. Res. 160, 97–107. https://doi.org/10.1007/s12011-014-0028-2 (2014).
Xie, Y., Su, L., He, Z., Zhang, J. & Tang, Y. Selenium inhibits cadmium absorption and improves yield and quality of cherry tomato (Lycopersicon esculentum) under cadmium stress. J. Soil Sci. Plant Nut. 21, 1125–1133. https://doi.org/10.1007/s42729-021-00427-x (2021).
Huang, B., Xin, J., Dai, H. & Zhou, W. Effects of interaction between cadmium (Cd) and selenium (Se) on grain yield and Cd and Se accumulation in a hybrid rice (Oryza sativa) system. J. Agr. Food Chem. 65(43), 9537–9546 (2017).
Li, Z. et al. Interaction between selenium and soil organic matter and its impact on soil selenium bioavailability: A review. Geoderma 295, 69–79. https://doi.org/10.1016/j.geoderma.2017.02.019 (2017).
Qin, X. et al. Influence of selenium on root morphology and photosynthetic characteristics of winter wheat under cadmium stress. Environ. Exp. Bot. 150, 232–239. https://doi.org/10.1016/j.envexpbot.2018.03.024 (2018).
Qing, X. et al. Selenium alleviates chromium toxicity by preventing oxidative stress in cabbage (Brassica campestris L. ssp. pekinensis) leaves. Ecotox. Environ. Safe. 114, 179–189. https://doi.org/10.1016/j.ecoenv.2015.01.026 (2015).
Wu, Z. et al. Indications of selenium protection against cadmium and lead toxicity in oilseed rape (Brassica napus L.). Front. Plant Sci. 7, 1875. https://doi.org/10.3389/fpls.2016.01875 (2016).
Zhao, Y. et al. Selenium reduces cadmium accumulation in seed by increasing cadmium retention in root of oilseed rape (Brassica napus L.). Environ. Exp. Bot. 158, 161–170. https://doi.org/10.1016/j.envexpbot.2018.11.017 (2019).
Danuso, F., Zanin, G. & Sartorato, I. A modelling approach for evaluating phenology and adaptation of two congeneric weeds (Bidens frondosa and Bidens tripartita). Ecol. Model. 243, 33–41. https://doi.org/10.1016/j.ecolmodel.2012.06.009 (2012).
Nakamaru, Y., Tagami, K. & Uchida, S. Distribution coefficient of selenium in Japanese agricultural soils. Chemosphere 58(10), 1347–1354 (2005).
Saha, U., Fayiga, A. & Sonon, L. Selenium in the soil-plant environment: A review. Int. J. Appl. Agric. Sci. 3(1), 1–18 (2017).
Yao, Q. Z., Zhang, J., Wu, Y. & Xiong, H. Hydrochemical processes controlling arsenic and selenium in the Changjiang River (Yangtze River) system. Sci. Total Environ. 377(1), 93–104. https://doi.org/10.1016/j.scitotenv.2007.01.088 (2007).
Brodowska, M. S., Kurzyna-Szklarek, M. & Haliniarz, M. Selenium in the environment. J. Elementol. 21(4), 1173–1185. https://doi.org/10.5601/jelem.2016.21.2.1148 (2016).
Kabata-Pendias, A. & Pendias, H. Biogeochemia Pierwiastków Śladowych (Wydawnictwo Naukowe PWN Warszawa, 1999).
Spalevic, V. Pedological characteristics of Montenegro. In Speleology of Montenegro Cave and Karst Systems of the World (ed. Barovic, G.) (Springer, 2024). https://doi.org/10.1007/978-3-031-49375-1_7.
Maksimović, Z. J., Djujić, I., Jowić, V. & Rsumović, M. Selenium deficiency in Yugoslavia. Biol. Trace Elem. Res. 33, 187–196. https://doi.org/10.1007/BF02784022 (1992).
Jović, V. Selenium status in soils in Yugoslavia. J. Environ. Pathol. Toxicol. Oncol: Off. Organ Int. Soc. Environ. Toxicol. Cancer 17(3–4), 179–182 (1998).
Abrams, M. M., Burau, R. G. & Zasoski, R. J. Organic selenium distribution in selected California soils. Soil Sci. Soc. Am. J. 54(4), 979–982. https://doi.org/10.2136/sssaj1990.03615995005400040007x (1990).
Gustafsson, J. P. & Johnsson, L. The association between selenium and humic substances in forested ecosystems: Laboratory evidence. Appl. Organomet. Chem. 8(2), 141–147. https://doi.org/10.1002/aoc.590080209 (1994).
Qin, H. B., Zhu, J. M. & Su, H. Selenium fractions in organic matter from Se-rich soils and weathered stone coal in selenosis areas of China. Chemosphere 86(6), 626–633. https://doi.org/10.1016/j.chemosphere.2011.10.055 (2012).
Matos, R. P., Lima, V. M., Windmöller, C. C. & Nascentes, C. C. Correlation between the natural levels of selenium and soil physicochemical characteristics from the Jequitinhonha Valley (MG). Brazil. J. Geochem. Explor. 172, 195–202 (2017).
Tolu, J. et al. Distribution and speciation of ambient selenium in contrasted soils, from mineral to organic rich. Sci. Total Environ. 479, 93–101. https://doi.org/10.1016/j.scitotenv.2014.01.079 (2014).
Sotek, Z. et al. Antioxidant activity and selenium and polyphenols content from selected medicinal plants natives from various areas abundant in selenium (Poland, Lithuania, and Western Ukraine). Processes 7(12), 878. https://doi.org/10.3390/pr7120878 (2019).
Biernacka, E. & Małuszyński, M. J. The content of cadmium, lead and selenium in soils from selected sites in Poland. Pol. J. Environ. Stud. 15(2a), 7–9 (2006).
Roca-Perez, L. et al. Selenium and heavy metals content in some Mediterranean soils. J. Geochem. Explor. 107, 110–116. https://doi.org/10.1016/j.gexplo.2010.08.004 (2010).
Saha, U., Fayiga, A. & Sonon, L. Selenium in the soil-plant environment: a review. Int. J. Appl. Agric. Sci. 3(1), 1–18. https://doi.org/10.11648/j.ijaas.20170301.11 (2017).
Mechora, Š, Germ, M. & Stibilj, V. Monitoring of selenium in macrophytes: The case of Slovenia. Chemosphere 111, 464–470. https://doi.org/10.1016/j.chemosphere.2014.03.133 (2014).
Vasilyeva, N. V. & Papchenkov, V. G. Mechanisms of influence of invasive Bidens frondosa L. on indigenous Bidens species. Russ. J. Biol. Invasions 2(2–3), 81–85. https://doi.org/10.1134/S2075111711020123 (2011).
Penuelas, J. et al. Faster returns on ‘leaf economics’ and different biogeochemical niche in invasive compared with native plant species. Global Change Biol. 16, 2171–2185. https://doi.org/10.1111/j.1365-2486.2009.02054.x (2010).
Richling, A. Regionalizacja fizycznogeograficzna. In Geografia fizyczna Polski (eds Richling, A. & Ostaszewska, K.) 324–334 (Wydawnictwo Naukowe PWN, 2005).
Błaś, M. & Ojrzyńska, H. The climate of Poland. In Landscapes and Landforms of Poland, World Geomorphological Landscapes (eds Migoń, P. & Jancewicz, K.) 33–51 (Springer, 2024). https://doi.org/10.1007/978-3-031-45762-3_3.
Kottek, M., Grieser, J., Beck, C., Rudolf, B. & Rubel, F. World map of the Köppen-Geiger climate classification updated. Meteorol. Z. 15, 259–263. https://doi.org/10.1127/0941-2948/2006/0130 (2006).
Systematyka gleb Polski. Wydawnictwo Uniwersytetu Przyrodniczego we Wrocławiu, Polskie Towarzystwo Gleboznawcze, Komisja Genezy, Klasyfikacji i Kartografii Gleb, 1–292 (Wrocław-Warszawa 2019).
IUSS Working Group WRB. World Reference Base for Soil Resources 2014, update 2015. International soil classification system for naming soils and creating legends for soil maps. World Soil Resources Reports 106. (FAO Rome, 2015).
Tokarska-Guzik, B. The establishment and spread of alien plant species (kenophytes) in the flora of Poland 1–192 (Wydawnictwo UŚ, 2005).
Burić, D., Ducić, V. & Mihajlović, J. The climate of Montenegro: Modificators and types: Part two. Bull. Serb. Geogr. Soc. 94, 73–90. https://doi.org/10.2298/GSGD1401073B (2014).
Stešević, D. & Petrović, D. Preliminary list of plant invaders in Montenegro. Biol. Nyssana 1(1–2), 35–42 (2010).
Bajkiewicz-Grabowska, E. & Mikulski, Z. Hydrologia Ogólna (Wydawnictwo Naukowe PWN, 2010).
Sekulić, G. & Radulović, M.M. The Hydrology and hydrogeology of Montenegro. in The Rivers of Montenegro (eds Pešić, V., Paunović, M. & Kostianoy, A.) Handb. Environ. Chem. 93, 13–42. https://doi.org/10.1007/698_2019_413 (2019).
Gutry-Korycka, M. Podział hydrograficzny. In Geografia fizyczna Polski (eds Richling, A. & Ostaszewska, K.) 152–154 (Wydawnictwo Naukowe PWN, 2005).
Zoumis, T., Schmidt, A., Grigorova, L. & Calmano, W. Contaminants in sediments: Remobilisation and demobilisation. Sci. Total. Environ. 266(1–3), 195–202. https://doi.org/10.1016/s0048-9697(00)00740-3 (2001).
Kračun-Kolarević, M. et al. Impact of pollution on rivers in Montenegro: Ecotoxicological perspective. In The Rivers of Montenegro Vol. 93 (eds Pešić, V. et al.) 111–133 (Springer, Cham, 2019). https://doi.org/10.1007/698_2019_425.
Rączka, J., Skąpski, K. & Tyc, T. Zasoby wodne w Polsce – ochrona i wykorzystanie. The Friendly State Foundation http://przyjaznykraj.pl/wp-content/uploads/2021/06/Fundacja_Przyjazny_Kraj_Raport_Zasoby-wodne-w-Polsce_29062021.pdf (2021).
Solarczyk, A. Quality assessment of water resources of river in Poland. In Quality of Water Resources in Poland Springer Water (eds Zeleňáková, M. et al.) 121–144 (Springer, Cham, 2021). https://doi.org/10.1007/978-3-030-64892-3_6.
Acknowledgements
The project was supported by the Minister of Science under the "Regional Excellence Initiative" Program for 2024-2027 (RID/SP/0045/2024/01).
Author information
Authors and Affiliations
Contributions
Author contributions Conceptualization, Supervision, Project administration, A. Z., Writing—original draft preparation, Z. K., E. S-Z.; Methodology, E. S-Z, Z. S., B. P.; Investigation, Resources, E. S-Z, B. P., V. V-P., V. P., M. B., R. P., A. Z.; Visualization, Z. K., J. P., K. M., A. Z.; Formal analysis, J. P.; Funding acquisition, E. S-Z; Writing—review & editing, Z. K., E. S-Z., K. M., V. V-P., V. P., E. F. All authors have read and agreed to the published version of the manuscript.
Corresponding author
Ethics declarations
Competing interests
The authors declare no competing interests.
Additional information
Publisher’s note
Springer Nature remains neutral with regard to jurisdictional claims in published maps and institutional affiliations.
Electronic supplementary material
Below is the link to the electronic supplementary material.
Rights and permissions
Open Access This article is licensed under a Creative Commons Attribution-NonCommercial-NoDerivatives 4.0 International License, which permits any non-commercial use, sharing, distribution and reproduction in any medium or format, as long as you give appropriate credit to the original author(s) and the source, provide a link to the Creative Commons licence, and indicate if you modified the licensed material. You do not have permission under this licence to share adapted material derived from this article or parts of it. The images or other third party material in this article are included in the article’s Creative Commons licence, unless indicated otherwise in a credit line to the material. If material is not included in the article’s Creative Commons licence and your intended use is not permitted by statutory regulation or exceeds the permitted use, you will need to obtain permission directly from the copyright holder. To view a copy of this licence, visit http://creativecommons.org/licenses/by-nc-nd/4.0/.
About this article
Cite this article
Krzynówek, Z., Stępień-Zawal, E., Sotek, Z. et al. Selenium content and bioaccumulation in Bidens tripartita and Bidens frondosa under different habitat conditions in Poland and Montenegro. Sci Rep 15, 18901 (2025). https://doi.org/10.1038/s41598-025-02704-6
Received:
Accepted:
Published:
Version of record:
DOI: https://doi.org/10.1038/s41598-025-02704-6






, Median;
, 25–75%;
, Min–Max.
, Median;
, 25–75%;
, Min–Max.