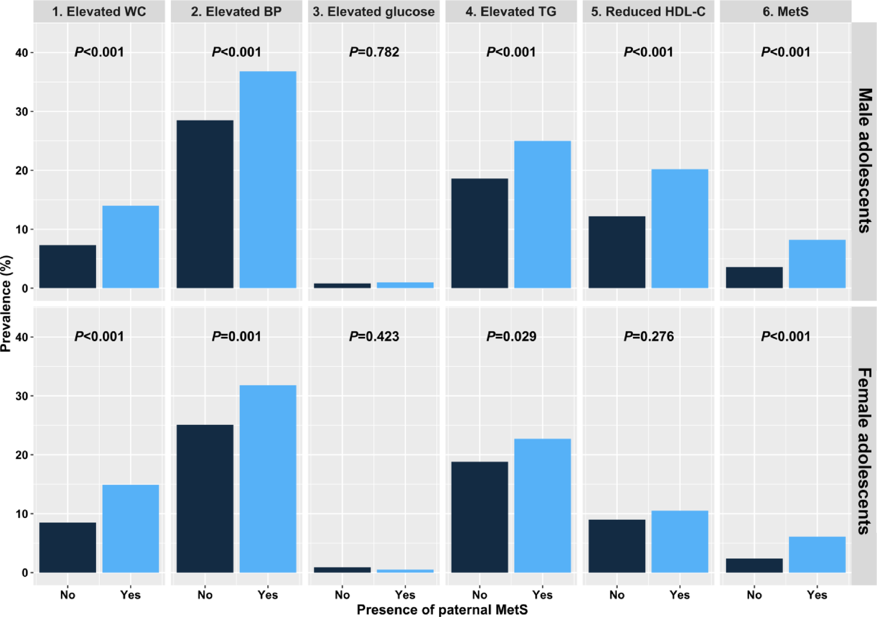
Fig. 2

Comparative bar plot of the prevalence of metabolic syndrome and its components based on the presence of paternal metabolic syndrome. The top row shows the prevalence of the male adolescents, while the bottom row represents the female adolescents. Dark blue bars indicate the absence of paternal MetS (“No”), whereas light blue bars indicate the presence (“Yes”).