Abstract
Bridges play a critical role in transportation infrastructure, and ensuring their safety is a key concern for structural engineers. Various seismic isolation techniques have been introduced to mitigate the impact of earthquake forces. The unavailability of novel isolation elements in commercial software makes it difficult to implement in real-world structures. This study presents the development and verification of a two-stage friction pendulum bearing (TSFPB) nonlinear element model within the OpenSees environment. The TSFPB comprises only two sliding stages, designed to accommodate different-intensity earthquakes, rendering it suitable for both moderate and severe earthquakes. A theoretical model of the TSFPB is first presented to illustrate its working mechanism. Based on this, a nonlinear element model for TSFPB is developed in C++ and integrated into the OpenSees framework. Additionally, a numerical model is developed in ABAQUS to assess the stability and stress condition before prototype development. Comprehensive laboratory tests are conducted to verify the accuracy of the OpenSees, theoretical and ABAQUS models. The results demonstrate the remarkable accuracy of these models with experimental results, maintaining the discrepancy below 10%. These findings confirm the accuracy of the TSFPB nonlinear element and highlight its potential for advanced seismic isolation design.
Similar content being viewed by others

Introduction
Seismic isolation devices have been proven effective in protecting structures from the damaging effects of seismic events by decoupling them from ground motions. These devices play a critical role in mitigating infrastructure damage and safeguarding human lives1,2. Friction pendulum bearings (FPBs), introduced by Zayas3, are particularly recognized for their effective seismic isolation performance and re-centering capabilities. The FPB concept is based on a sliding mechanism over curved surfaces with a pendulum action that employs the horizontal component of gravity as the restoring force. Typically, a Teflon-steel interface serves as the isolation pair in FPBs. Numerous experimental and numerical studies have examined the effects of sliding velocity, bearing pressure, surface roughness, and sliding acceleration on this interface4. These studies reveal that both bearing pressure and sliding velocity influence the friction coefficient5,6. However, it has also been concluded that the impact of velocity can be reasonably neglected, allowing the use of a constant friction value for estimating peak responses accurately7,8. Mosqueda et al.9 validated the rate-independent plasticity model for FPBs through bidirectional displacement-controlled tests and used a constant friction value.
In recent years, researchers have expanded their investigations to consider the influence of additional factors on FPB performance. For instance, Kim and Constantinou10 explored the influence of sliding-induced heating on the depth of the sliders using indefinite plate theory, while Kumar et al.11 noted that heating effects are more pronounced in bearings with a single sliding surface than those with multiple surfaces. Additionally, Mazza12 and McVitty and Constantinou13 addressed the impact of aging and air temperature on the long-term behavior of isolation system. Li et al.14 investigated the effect of uncoupled along wind and crosswind loads on FPB base isolated high-rise structures. Peng et al.15 studied the rotational movement of the FPB on structural seismic performance. Deringöl and Güneyisi16 examined the inelastic seismic response of steel moment-resisting frames.
Despite their effectiveness, traditional FPBs face limitations due to fixed performance parameters, such as sliding stiffness, which are predetermined based on specific structural characteristics like radius, load capacity, and friction coefficient. As noted by Calvi and Calvi17 and Calvi and Ruggiero18 this fixed configuration restricts FPBs from adapting to the stochastic nature of earthquakes, potentially compromising their performance under seismic events differing from those used in design. To address these limitations, researchers have improved the design by incorporating modern materials, variable friction pairs, and multi-radius sliding surfaces to enable adaptive behavior19. Notable developments include: double concave friction pendulum bearings (DCFPB)20, triple friction pendulum bearings (TFPB)21, and quintuple friction pendulum bearings22, which provide increased displacement capacity and adaptability. Extensive research has been conducted and continues to better understand the isolation behavior of these bearings and to further improve the design and performance. Wei et al.23 proposed the idea of a DCFPB with a spring to overcome the issue of residual displacement, while Moeindarbari and Taghikhany24 presented the seismic performance of TFPB under near-fault pulse-like ground motions. Loghman et al.25 investigated the effect of the vertical component of the earthquake on TFPB-isolated structures and Xu et al.26 implemented the fast elitist non-dominated sorting genetic algorithm for the optimization of TFPB’s parameters to minimize the structural response under wind and earthquake loads. Xu et al.27 reported a multi-objective optimization technique for the optimization of TFPB parameters. Additionally, Lee and Constantinou22 presented the concept of a quintuple friction pendulum bearing, incorporating six sliding surfaces and nine hysteresis regimes to achieve superior adaptive behavior. The complex configurations of DCFPB, TFPB, and quintuple FPB systems generate numerous bearing parameters and multiple hysteresis regimes, resulting in a continuous transition across regimes. However, optimizing these parameters to accurately predict structural responses under the diverse nature of seismic events is quite complex and computationally demanding.
To address this, Peng et al.28 introduced the concept of a two-stage friction pendulum bearing (TSFPB) that features only three sliding surfaces and two hysteresis regimes. This innovative configuration presents two distinct sliding stages, enabling it to mitigate seismic hazards across a wide range of intensities. However, despite its potential, the TSFPB element is not yet available in any commercial structural analysis software, which significantly limits its practical application in engineering design. To address this gap, the present study develops a nonlinear TSFPB element in OpenSees, an open-source platform widely used for earthquake simulations. This work presents a comprehensive overview of TSFPB, including its configuration, theoretical design, numerical modeling, element development, experimental validation and error analysis. A constant friction model is adopted as a simplifying assumption, driven by equipment limitations, the use of a full-scale prototype, and recommendations from previous research. The accuracy of the theoretical model, numerical model and proposed OpenSees TSFPB element is validated against extensive experimental results. The findings of this study provide a foundational step toward simulation and implementation of novel TSFPB in real-world structures. Future work is encouraged to explore velocity-and temperature-dependent friction models to enhance modeling accuracy.
TSFPB configuration
A TSFPB consists of four components, including the top plate, the upper slider, the lower slider and the bottom plate and three sliding surfaces (the upper sliding surface, the middle sliding surface, and the lower sliding surface). Each surface has a specific radius of curvature and coefficient of friction i.e., Ru, Rm, Rl and μu, μm, μl respectively, as presented in Fig. 1. The subscript “u”, “m” and “l” present the upper, middle and lower sliding surfaces. Whereas, hu, hl, Wus, Wls present the middle height and widths of the upper and lower slider.
(a) TSFPB components (b) Width parameters of sliders.
Theoretical design
The working principle of the TSFPB is very clear from its name that it has two stages, and each is designed to accommodate a specific level of earthquake intensity. Stage I belongs to moderate earthquakes, and Stage II belongs to severe earthquakes. In each stage, only two of the three sliding surfaces contribute to the energy dissipation mechanism. The radii of curvature and coefficients of friction of these sliding surfaces are adjusted to get the desired hysteresis performance.
Throughout the complete loading and unloading cycle, the TSFPB passes through three working phases. In Phase I, sliding occurs between the middle and lower sliding surfaces while the top plate and upper slider behave as a unit, as presented in Fig. 2a. This sliding phase remains until the lower slider contacts the upper slider’s side block, as shown in Fig. 2b. In this phase, the restoring force is relatively small and is called Stage I in this paper.
TSFPB Sliding States. (a) The middle-lower surface sliding. (b) The lower slider touches the upper slider’s block. (c) The upper-lower surface sliding.
As displacement increases, the TSFPB enters Phase II, where sliding occurs between the lower and upper sliding surfaces. The lower and upper sliders behave as a unit, until the bearing reaches its maximum displacement capacity as shown in Fig. 2c. In this phase, the restoring force is large and is called Stage II in this paper. The unloading process is called Phase III, where sliding also shifts to the middle and lower sliding surface. The mathematical expressions for post-yield stiffness and yield force for all the phases, derived from the moment balance theory29, are listed in Table 1. A detailed explanation of the TSFPB’s working mechanism can be found in Akhlaq et al.30. The complete force–displacement diagram of the TSFPB is shown in Fig. 3, illustrating all phases and two-stage behavior.
Force–displacement relationship of TSFPB.
Experimental setup and outcomes
A full-scale prototype of the TSFPB was designed and subjected to load–displacement testing at the State Key Laboratory for Disaster Reduction in Civil Engineering, Tongji University. The bearing is circular in shape and made up of stainless steel, with ultra-high molecular weight polyethylene (UHMWPE) lining material as friction pads. The lower and middle lining surfaces are equipped with lubrication-retaining grooves, while the upper lining surface is smooth. The bearing was tested using a bearing testing machine equipped with two actuators: one vertical and one horizontal. The vertical actuator applies and maintains a constant vertical load on the bearing, while the horizontal actuator simulates sliding by displacing the lower deck. The system can operate in both displacement- and force-control modes, offering flexibility for various testing scenarios. The testing machine has a maximum displacement capacity of 200 mm in the vertical direction and 400 mm in the horizontal direction. The testing apparatus and a detailed close-up of the TSFPB, with component annotations, are shown in Fig. 4a and b, respectively.
(a) Testing machine in the Laboratory (b) Specimen of TSFPB for testing.
Uniform amplitude loading tests were performed under three vertical load levels (600 kN, 1000 kN, and 1400 kN) and at three horizontal displacement levels, with the maximum sliding displacement of 150 mm in both directions. Each displacement level was applied independently using a ramp loading pattern with three cycles per test. All tests were conducted at low sliding velocities due to equipment limitations, and the velocity was kept constant throughout each test, as shown in Fig. 5. The complete testing plan is summarized in Table 2.
Loading Pattern.
The primary objective of varying the vertical load was to evaluate its influence on the bearing’s performance and operational mechanism in both Stage I and Stage II of sliding. As shown in Fig. 6, an increase in vertical load leads to changes in the frictional response, as evidenced by variations in the area of the hysteresis loops. While the horizontal force also increases with vertical load, this increase is not uniform. This finding emphasizes the importance of accurately accounting for dead and live loads when designing and implementing a TSFPB isolation system. Strength degradation observed over successive cycles is attributed to frictional heating and the deposition of lining material on the sliding surfaces, consistent with the findings of Mosqueda et al.9 and Shang et al.31, a phenomenon known as the cycling effect. As the vertical load increases, the extent of this degradation becomes more pronounced, supporting the hypothesis that higher loads lead to greater material transfer. This finding is also consistent with the findings of Lomiento et al.6, which indicate that cycling behaviour intensifies with increased vertical load. Additionally, a small force “hump” is also observed at the start of Phase II and Phase III, this phenomenon is known as the breakaway effect. A slightly higher force is required to overcome static friction, as also reported by Constantinou et al.32.
Experimental hysteresis diagram of TSFPB under multiple vertical loads.
Opensees element development
One of the most widely used computational platforms in structural and earthquake engineering is the Open System for Earthquake Engineering Simulation (OpenSees)33,34. As an open-source software, it allows developers to use their own element modules within the software35. It is particularly esteemed in the field of earthquake engineering for its specialized tools, supportive community, and flexible customization options, making it a valuable resource for both research and educational purposes36.
A code for nonlinear TSFPB element is written in C++ and integrated into OpenSees. Two files (header file *.h and implementation file *.cpp) are required to completely describe a new element in OpenSees. The header file (*.h) defines the interface and variables for the new class that must be the subclass of UniaxialMaterial in OpenSees37. In this study, the header file specifies the input control parameters (including $matTag, $fy1, $fy2, $k1, $k2, $dth), the mechanical parameter variables used for iteration (as detailed in Table 3) and variables used to judge the motion state (as described in Table 4). It is important to note that the terms “stress” and “strain” used in the code refer to the forces and deformations in the bearing rather than the actual stress and strain of the material as detailed in Tables 3 and 4.
The input parameters of the TSFPB nonlinear element include the material tag, yield forces for Stage I and Stage II, post-yield stiffness values for Stage I and Stage II, and the displacement limit of Stage I. These parameters are derived from a theoretical model that incorporates a constant friction model. The friction coefficient remains unchanged throughout the analysis.
Although prior studies have extensively investigated velocity-dependent friction behavior for various lining materials such as PTFE and UHMWPE38,39,40, the present study adopts a constant friction model to maintain simplicity and practicality. The validation of variable friction models requires high-velocity testing, which is currently beyond the capabilities of the available experimental setup. Moreover, the primary focus of this work is the successful implementation of a novel TSFPB in OpenSees, which itself is a complex task.
The use of a constant friction model is also well-documented in the literature23,41,42,43. Bearings are typically engaged at relatively high velocities during seismic events, where the friction coefficient remains constant44. Additionally, the impact of temperature on the friction coefficient is prominent in systems with a single sliding surface and is less pronounced in multi-surface bearings due to more distributed heat generation and delays in sliding surfaces45. It also depends on the heat transfer boundaries. Therefore, the use of a constant friction model is deemed reasonable and appropriate at this stage of the study. Future research will aim to incorporate more advanced friction modeling, supported by advanced shaking table testing.
The terminology used in the code can be easily understood with the help of the visual explanation provided in Fig. 7a. It illustrates an arbitrary deformation line that begins at time zero and extends to time n, encompassing n time intervals. The ith interval represents the current bearing’s position. At the ith interval, “trialStrain”, “CStrain”, and “CCStrain” represent the deformations at the end of the current (ith) and previous (i − 1th) time steps, with “CCStrain” being the deformation at the start of the previous (i − 1th) time step. “trialMaxAbsD” denotes the absolute maximum deformation from time zero to the current time interval. In contrast, Fig. 7b shows the “CSide”, which depicts the position of the lower slider, indicating whether it is stuck on the right or left side of the upper slider’s side block.
(a) Illustration of motion states at ith step (b) Illustration of trailside.
The implementation file (*.cpp) encompasses the complete working mechanism of the newly developed TSFPB nonlinear element. It utilizes all the variables defined in the header file to formulate the force–deformation relationship and the motion-state of TSFPB. The implementation file has two key functions. One key function, ‘setTrialStrain()’, changes the element’s deformation when called by an element. After this, ‘getTangent()’ and ‘getStress()’ functions provide the element’s stiffness and force values, respectively. ‘setTrialStrain()’ is used during the process of trying to find a new solution, helping to move from one solution to the next. Once a good solution is found, the other key function, ‘commitState()’ is called to save it. The complete code of both header (*.h) and implementation (*.cpp) files can be found in the supplemental material section for reproducibility.
The operational logic of the TSFPB nonlinear element, defined in the .cpp file is systematically represented through a flowchart (Fig. 8). The process begins with a comparison between the current step’s end deformation (trialStrain) and the previous step’s end deformation (CStrain). The first decision point is the maximum absolute deformation (MaxAbsD). Either it is less than the displacement limit of Phase I (dth) or not. If the MaxAbsD < dth, it identifies that Phase I is not over, and the process will move to the next time step. If MaxAbsD > dth, it states that bearing has come out of Phase I. The next decision point checks whether any strain is observed in the current step (dStrain). If dStrain = 0, the bearing is in the stage shift phase. If dStrain ≠ 0, the bearing is either in Phase II or Phase III. The next point is to check whether the lower slider contacts the top slider on the right or left, as defined by CSide. This process continues until the full shape is defined. These .h and .cpp files are first added to the UniaxialMaterial Library directory and included in the OpenSees Visual Studio project. Initially, it is integrated in OpenSees through the Tcl command prompts. Subsequently, it is also included in OpenSeespy (Python version of OpenSees) to enable users to use the TSFPB element in a Python-based environment.
TSFPB working mechanism flowchart.
ABAQUS modeling
Finite element numerical simulation is widely used in engineering and research to predict the responses of various components and structures, as well as to validate theoretical models, stability, and stress conditions before prototype development. In this study, a solid finite element model is developed using ABAQUS to analyze the performance of the TSFPB under various compression and shear conditions. Due to the circular shape and uniform cross-section of the bearing, its hysteretic behavior can be reasonably simplified using a two-dimensional plane model. The TSFPB is modeled using CPS4R element, a 4-node bilinear plane stress element, as shown in Fig. 9. The friction pair thickness is small, and its role is to provide a stable friction coefficient. Therefore, this modeling ignores the simulation of the friction pair. The tangential properties of all contact surfaces are defined using the Penalty method, while the normal properties are set to hard contacts to allow for separation. The hard contact, with allowed separation, is also assigned to the lower slider and the block, and no mechanical behavior is set in the tangential direction. The necessary structural dimensions required to develop the numerical model are provided in Table 5.
(a) Finite element model of a TSFPB. (b) A TSFPB with a horizontal displacement.
The boundary conditions of the TSFPB consist of restricting the displacement and rotation (U1, U2, UR3) at the lower surface of the bottom plate, representing the fixed connection to the pier. The top plate is allowed to undergo translational movement (U1, U2), while rotation (UR3) is restricted, reflecting its attachment to the deck, where only translational movements are allowed for isolation purposes. The rotation of the top plate is constrained based on the assumption of a rigid diaphragm, consistent with boundary conditions commonly adopted in related literature46,47,48,49,50. Additionally, uniform vertical loads of multiple levels and lateral displacement of varying amplitudes are applied on the top plate, replicating the experimental program. The hysteresis diagram obtained from the ABAQUS model of the TSFPB for 1000 kN vertical load is presented in Fig. 10. It is clear from the diagram that the bearing remained in Stage I under small displacements and entered Stage II under large displacements.
Hysteresis diagram of TSFPB ABAQUS Model for Stage I and Stage II.
Experimental validation
The displacement-controlled test is a very useful tool to verify the performance of theoretical and numerical (Opensees and ABAQUS) models. The theoretical and numerical models should be calibrated by adjusting the friction coefficient before comparing them with the experimental results. The actual friction coefficient of a bearing can only be determined after conducting the force–displacement test on the bearing. The detailed procedure of determining friction coefficients of the bearing by a series of hysteretic loops is presented by Morgan51. Once the model is calibrated, theoretical, numerical, and experimental results can be compared. Observations and comparisons of the experimental and numerical models are presented below. Friction coefficients of the upper sliding surface of the TSFPB specimen are found 0.09, 0.09 and 0.065 under the vertical load of 600 kN, 1000 kN and 1400 kN respectively, whereas friction coefficients of the lower and middle sliding surfaces are 0.035, 0.027, 0.022 under the vertical load of 600 kN, 1000 kN and 1400 kN respectively. The decrease in the friction coefficient with the increase in vertical load is consistent with the findings of Mokha et al.52, for friction in PTFE and polished stainless steel surfaces. These friction values are then applied in further analysis.
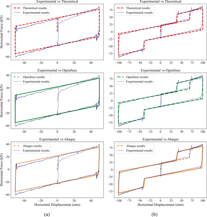
The theoretical and numerical models demonstrate their abilities to accurately capture the behavior of the TSFPB. For a clear visualization and comparison of the hysteresis loop, theoretical and numerical loops are plotted separately with the corresponding experimental loop for both Stage I and Stage II, as presented in Fig. 11. Owing to the spatial constraints, the results of 600 kN vertical load with 50mm (Stage I) and 100mm (Stage II) are presented for comparison only. A very good agreement is found between the theoretical, numerical and experimental hysteresis results of the TSFPB.
Comparison of experimental hysteresis loop with theoretical and numerical hysteresis curves (a) Stage I (b) Stage II.
Two minor differences can be observed between theoretical, numerical and experimental results. A small hump in the experimental results has been observed at the start of Stage II, that is attributed to overcome the static friction of the upper sliding surface. The second discrepancy involves the transition from Stage I to Stage II in the experimental results, and the curve appears slightly sloped rather than vertical, as depicted by the theoretical and numerical models. This deviation arises from the assumption that the sliding in Stage I and Stage II occurs only on two sliding surfaces (lower-middle or lower–upper), though slight movement on any sliding surface is possible while transitioning between Stage I and Stage II. Nevertheless, these differences are marginal when considering the overall performance of the bearing.
For clearer understanding, an average percentage difference analysis for the four key parameters (K1, K2, fy1, fy2) for all loading and displacement conditions has been illustrated in Fig. 12. The maximum difference is observed with experimental results, whereas the least error is noted among theoretical and numerical results. This variance in experimental results could stem from the manufacturing tolerances of the bearing. However, the maximum observed difference is less than 10%. The very good agreement between theoretical, numerical, and experimental results presents the accuracy of the newly developed TSFPB nonlinear element and affirms its reliability for further seismic performance studies.
Percent difference analysis.
Percentage tolerance analysis
A parameter sensitivity analysis is conducted to evaluate the impact of manufacturing tolerance (± 10%) in key geometric parameters of the TSFPB on four critical hysteresis characteristics: k1, k2, fy1, fy2. The 0% error represents the experimentally identified prototype parameters. In this analysis, one parameter is varied at a time while keeping all others constant, allowing a focused assessment of individual influence.
Figure 13 illustrates sensitivity of hysteresis characteristics to variation in bearing’s structural parameters. Both k1 and k2 are only affected by the radii of sliding surfaces and show no sensitivity to friction coefficient. Whereas, yield forces are primarily affected by friction coefficient and less sensitive to sliding radius. In case of individual parameters, k1 is most affected by variations in the Rm, showing a linear decrease with increasing deviation. In contrast, k2 is primarily governed by the Ru with a strong negative linear correlation. For fy1, the µm plays a dominant role. Meanwhile, fy2 is most sensitive to changes in the µl with a strong positive correlation. This analysis highlights the influence of manufacturing tolerance in the bearing parameters and supports the argument made in the previous section about the discrepancies between experimental and numerical results.
Percentage tolerance analysis.
Conclusions
The two-stage friction pendulum bearing (TSFPB) is an innovative isolation bearing, designed with distinct stiffness and damping characteristics across two stages (Stage I and Stage II), making it adaptable for both moderate and severe earthquakes. However, the unavailability of such advanced isolation elements in commercial software makes it difficult to implement in real-world applications. This study presents the development and experimental validation of a nonlinear TSFPB element within OpenSees, along with theoretical modeling and ABAQUS simulations to enhance the understanding of bearing behavior. Experimental hysteresis tests revealed that the friction coefficient decreases with increasing vertical pressure, and the cyclic effect becomes more pronounced under higher pressure levels. A notable breakaway effect was observed during the first cycle, becoming less prominent in subsequent cycles. The comparison of OpenSees, ABAQUS, and theoretical hysteresis with extensive experimental results showcases the accuracy of these models, with deviations in key hysteresis parameters maintained below 10%. The manufacturing tolerance analysis further revealed that post-yield stiffness is highly influenced by sliding radius, whereas yield force is more sensitive to friction coefficient.
Although extensive research has been conducted to explore the impact of velocity, temperature and pressure-dependent friction model10,39,53, but this study adopts the constant friction model to simplify the analysis and account for the equipment limitations. This approach is also supported by previous studies9,31,54,55 and offers a practical representation of TSFPB behavior with reasonable accuracy. Overall, this work represents a significant step toward the practical implementation of novel seismic isolation bearings. Future research should further investigate the influence of velocity and temperature effects and support rotation56 within the operational range of such devices to enhance their real-world applicability.
Data availability
The datasets used and analysed during the current study are available from the corresponding author on reasonable request.
References
Chen, X. & Xiong, J. Seismic resilient design with base isolation device using friction pendulum bearing and viscous damper. Soil Dyn. Earthq. Eng. 153, 107073 (2022).
Xu, H., He, W., Zhang, L. & Liu, W. Shaking table test of a novel three-dimensional seismic isolation system with inclined rubber bearings. Eng. Struct. 293, 116609 (2023).
Zayas, V. A. & Mahin, S. A. The FPS Earthquake Resisting System Experimental Report (Earthquake Engineering Research Center, 1987).
Tsopelas, P., Constantinou, M. C., Kim, Y. S. & Okamoto, S. Experimental study of FPS system in bridge seismic isolation. Earthq. Eng. Struct. Dyn. 25(1), 65–78 (1996).
Qi, Q. et al. Shaking table tests and numerical studies on the seismic behaviors of FPB in railway continuous beam bridges. Eng. Struct. 290, 116318 (2023).
Lomiento, G., Bonessio, N. & Benzoni, G. Friction model for sliding bearings under seismic excitation. J. Earthq. Eng. 17(8), 1162–1191 (2013).
Mokha, A., Constantinou, M. & Reinhorn, A. Teflon bearings in base isolation I: Testing. J. Struct. Eng. 116(2), 438–454 (1990).
Constantinou, M., Mokha, A. & Reinhorn, A. Teflon bearings in base isolation II: Modeling. J. Struct. Eng. 116(2), 455–474 (1990).
Mosqueda, G., Whittaker, A. S. & Fenves, G. L. Characterization and modeling of friction pendulum bearings subjected to multiple components of excitation. J. Struct. Eng. 130, 433–442. https://doi.org/10.1061/(asce)0733-9445(2004)130:3(433) (2004).
Kim, H. M. & Constantinou, M. C. Validity of models for frictional heating in sliding isolators. Earthq. Eng. Struct. Dyn. 53(3), 1308–1325. https://doi.org/10.1002/eqe.4067 (2024).
Kumar, P. & Pratap, B. Feature engineering for predicting compressive strength of high-strength concrete with machine learning models. Asian J. Civ. Eng. 25, 1–14 (2023).
Mazza, F. Effects of the long-term behaviour of isolation devices on the seismic response of base-isolated buildings. Struct. Control Heal. Monit. 26(4), e2331 (2019).
McVitty, W. J. & Constantinou, M. C. Property modification factors for seismic isolators: Design guidance for buildings. MCEER Report, vol. 242 (2015).
Li, Z., Chen, X., Huang, G., Kareem, A. & Zhou, X. Alongwind and crosswind response of friction-pendulum base-isolated high-rise buildings. Eng. Struct. 293, 116564 (2023).
Peng, T., Liu, Y. & Ka, T. S. Theoretical and experimental study of rotational behaviour of friction pendulum bearings. Sustainability 15(9), 7327 (2023).
Deringöl, A. H. & Güneyisi, E. M. Effect of friction pendulum bearing properties on behaviour of buildings subjected to seismic loads. Soil Dyn. Earthq. Eng. 125, 105746 (2019).
Calvi, P. M. & Calvi, G. M. Historical development of friction-based seismic isolation systems. Soil Dyn. Earthq. Eng. 106, 14–30 (2018).
Calvi, P. M. & Ruggiero, D. M. Numerical modelling of variable friction sliding base isolators. Bull. Earthq. Eng. 14, 549–568 (2016).
Fenz, D. M. Development, Implementation and Verification of Dynamic Analysis Models for Multi-spherical Sliding Bearings (State University of New York at Buffalo, 2008).
Fenz, D. M. & Constantinou, M. C. Behaviour of the double concave friction pendulum bearing. Earthq. Eng. Struct. Dyn. 35(11), 1403–1424 (2006).
Fenz, D. M. & Constantinou, M. C. Modeling triple friction pendulum bearings for response-history analysis. Earthq. Spectra 24(4), 1011–1028 (2008).
Lee, D. & Constantinou, M. C. Quintuple friction pendulum isolator: Behavior, modeling, and validation. Earthq. Spectra 32(3), 1607–1626 (2016).
Wei, B. et al. Seismic isolation effect of a new type of friction pendulum bearing in high-speed railway girder bridge. Structures 51, 776–790 (2023).
Moeindarbari, H. & Taghikhany, T. Seismic optimum design of triple friction pendulum bearing subjected to near-fault pulse-like ground motions. Struct. Multidiscip. Optim. 50, 701–716 (2014).
Loghman, V., Khoshnoudian, F. & Banazadeh, M. Effect of vertical component of earthquake on seismic responses of triple concave friction pendulum base-isolated structures. J. Vib. Control 21(11), 2099–2113 (2015).
Xu, Y., Becker, T. C. & Guo, T. Design optimization of triple friction pendulums for high-rise buildings considering both seismic and wind loads. Soil Dyn. Earthq. Eng. 142, 106568 (2021).
Xu, Y. et al. Optimization design of triple friction pendulums for base-isolated high-rise buildings based on bearing displacement and collapse fragility. Structures 43, 1091–1099 (2022).
Peng, T., Guan, J. & Wu, Y. Numerical and experimental investigation of the seismic effect of a two-stage seismic isolation method. Sustainability 15(6), 4883 (2023).
Peng, T., Yan, B. & Li, F. The hysteresis model of the friction pendulum bearing based on the moment balance theory. Ain Shams Eng. J. 13(4), 101707 (2022).
Akhlaq, H., Peng, T. & Khan, M. S. Seismic performance of a novel two stage friction pendulum bearing with opensees nonlinear element. In International Conference on Computational and Experimental Engineering and Sciences, 749–757 (Springer, 2024).
Shang, J., Tan, P., Zhang, Y., Han, J. & Qin, J. Experimental and analytical investigation of variable friction pendulum isolator. Eng. Struct. 243, 112575. https://doi.org/10.1016/j.engstruct.2021.112575 (2021).
Constantinou, B. M., Member, A., Mokha, A. & Reinhorn, A. Teflon bearings in base isolation. II: Modelling. J. Struct. Eng. 116(2), 455–474 (1990).
McKenna, F. & Fenves, G. L. The OpenSees Command Language Manual (Univ. California, Berkeley (opensees. ce. berkeley. edu), 2001).
McKenna, F., Scott, M. H. & Fenves, G. L. Nonlinear finite-element analysis software architecture using object composition. J. Comput. Civ. Eng. 24(1), 95–107 (2010).
Akhlaq, H. et al. Structural identification of a 90 m high minaret of a landmark structure under ambient vibrations. Buildings 12(2), 252 (2022).
Türkbey, M. Ü. A Novel Approach to Model a Nonlinear Frame Element with Semi-rigid Connections in OpenSees Structural Analysis Program (Middle East Technical University, 2023).
Gorini, D. N., Callisto, L., Whittle, A. J. & Salvatore, S. An inertial macro-element of abutments for nonlinear analysis of bridges. In Proceedings of OpenSees days Eurasia 2019-First Eurasian Conference on OpenSees (Asif Usmani, Giorgio Monti and M. Anwar Orabi, 2019).
Fenz, D. M. & Constantinou, M. C. Spherical sliding isolation bearings with adaptive behavior: Experimental verification. Earthq. Eng. Struct. Dyn. 37(2), 185–205 (2008).
Dolce, M., Cardone, D. & Croatto, F. Frictional behavior of steel-PTFE interfaces for seismic isolation. Bull. Earthq. Eng. 3(1), 75–99. https://doi.org/10.1007/s10518-005-0187-9 (2005).
Messina, A. & Miranda, E. Frictional behavior of low-cost steel-polymer interfaces for seismic isolation. J. Struct. Eng. 148(1), 1–15. https://doi.org/10.1061/(asce)st.1943-541x.0003218 (2022).
Nguyen, N. V., Nguyen, H. D. & Dao, N. D. Machine learning models for predicting maximum displacement of triple pendulum isolation systems. Structures 36, 404–415 (2022).
Kavvadias, I. E., Bibo, H. F. & Vasiliadis, L. K. Finite element modeling of single and multi-spherical friction pendulum bearings. In COMPDYN 2017—Proceedings of the 6th International Conference on Computational Methods in Structural Dynamics and Earthquake Engineering, vol. 2, 4408–4416. https://doi.org/10.7712/120117.5733.18107 (2017).
Shang, J., Tan, P., Han, J., Zhang, Y. & Li, Y. Performance of seismically isolated buildings with variable friction pendulum bearings under near-fault ground motions. J. Build. Eng. 45, 103584 (2022).
Kumar, M., Whittaker, A. S. & Constantinou, M. C. Characterizing friction in sliding isolation bearings. Earthq. Eng. Struct. Dyn. 44(9), 1409–1425 (2015).
Sarlis, A. A. & Constantinou, M. C. A model of triple friction pendulum bearing for general geometric and frictional parameters. Earthq. Eng. Struct. Dyn. 45(11), 1837–1853 (2016).
Bao, Y., Becker, T. C. & Hamaguchi, H. Failure of double friction pendulum bearings under pulse-type motions. Earthq. Eng. Struct. Dyn. 46(5), 715–732 (2017).
Bao, Y., Becker, T. C., Hamaguchi, H. & Nakata, Y. Experimental study of the effect of restraining rim design on the extreme behavior of pendulum sliding bearings. Earthq. Eng. Struct. Dyn. 47(4), 906–924. https://doi.org/10.1002/eqe.2997 (2018).
Zhang, F., Deng, J., Cao, S. & Dang, X. Experimental and simulation studies of adaptive stiffness double friction pendulum bearing. Structures 57, 105026. https://doi.org/10.1016/j.istruc.2023.105026 (2023).
Xu, Z., Du, X., Xu, C. & Han, R. Numerical analyses of seismic performance of underground and aboveground structures with friction pendulum bearings. Soil Dyn. Earthq. Eng. 130, 105967. https://doi.org/10.1016/j.soildyn.2019.105967 (2019).
Kalfas, K. N., Ghorbani Amirabad, N. & Forcellini, D. The role of shear modulus on the mechanical behavior of elastomeric bearings when subjected to combined axial and shear loads. Eng. Struct. 248, 113248. https://doi.org/10.1016/j.engstruct.2021.113248 (2021).
Morgan, T. A. The Use of Innovative Base Isolation Systems to Achieve Complex Seismic Performance Objectives (University of California, 2007).
Mokha, A. S., Amin, N., Constantinou, M. C. & Zayas, V. Seismic isolation retrofit of large historic building. J. Struct. Eng. 122(3), 298–308 (1996).
Kim, H. M. & Constantinou, M. C. Modeling frictional heating effects in triple friction pendulum isolators. Earthq. Eng. Struct. Dyn. 52(4), 979–997. https://doi.org/10.1002/eqe.3797 (2023).
Lin, S. C., Han, J. Q. & Zhao, H. T. Experimental and Theoretical Studies of Bidirectional Variable Curvature Friction Pendulum Bearing. KSCE J. Civ. Eng. https://doi.org/10.1007/s12205-020-1525-9 (2020).
Shang, J., Tan, P., Zhang, Y., Han, J. & Mi, P. Seismic isolation design of structure using variable friction pendulum bearings. Soil Dyn. Earthq. Eng. 148, 106855 (2021).
Rastgoo Moghadam, S. & Konstantinidis, D. Experimental and analytical studies on the horizontal behavior of elastomeric bearings under support rotation. J. Struct. Eng. 147(4), 4021024 (2021).
Acknowledgements
The authors gratefully acknowledge the funding support of this work by the Ministry of Science and Technology of China (Grant No. SLDRCE19-B-21) and the National Natural Science Foundation of China (Grant Nos. 51278372 and 51878489). Any opinions, findings, and conclusions expressed are those of the authors and do not necessarily reflect those of the sponsoring organizations.
Author information
Authors and Affiliations
Contributions
H.A.: Coding, data acquisition, formal analysis, writing original draft, review and editing. T.P.: Conceptualization, supervision, funding, review and editing. B.Y.: Conceptualization, coding, analysis. M.S.K.: Data acquisition, review and editing.
Corresponding author
Ethics declarations
Competing interests
The authors declare no competing interests.
Additional information
Publisher’s note
Springer Nature remains neutral with regard to jurisdictional claims in published maps and institutional affiliations.
Electronic supplementary material
Below is the link to the electronic supplementary material.
Rights and permissions
Open Access This article is licensed under a Creative Commons Attribution-NonCommercial-NoDerivatives 4.0 International License, which permits any non-commercial use, sharing, distribution and reproduction in any medium or format, as long as you give appropriate credit to the original author(s) and the source, provide a link to the Creative Commons licence, and indicate if you modified the licensed material. You do not have permission under this licence to share adapted material derived from this article or parts of it. The images or other third party material in this article are included in the article’s Creative Commons licence, unless indicated otherwise in a credit line to the material. If material is not included in the article’s Creative Commons licence and your intended use is not permitted by statutory regulation or exceeds the permitted use, you will need to obtain permission directly from the copyright holder. To view a copy of this licence, visit http://creativecommons.org/licenses/by-nc-nd/4.0/.
About this article
Cite this article
Akhlaq, H., Peng, T., Yan, B. et al. Development and verification of a new OpenSees element model for a two-stage friction pendulum bearing. Sci Rep 15, 22763 (2025). https://doi.org/10.1038/s41598-025-02928-6
Received:
Accepted:
Published:
Version of record:
DOI: https://doi.org/10.1038/s41598-025-02928-6













