Abstract
Ultra High Performance Concrete (UHPC) has the advantages of high strength and good durability. The new technology of unbonded prestressed UHPC to strengthen ordinary concrete beams can give full play to the performance of prestressed “high efficiency” and UHPC “light durability”. In this paper, through the test and theoretical analysis of 10 unbonded prestressed UHPC reinforced beams, the bearing capacity of prestressed UHPC reinforced beams and the key parameters affecting the flexural performance (i.e., UHPC strength, thickness, prestressed tensile degree and prestressed reinforcement ratio) are studied. The test results show that: UHPC and concrete beam using chisel processing technology, unbonded prestressed by end anchorage can achieve effective interface bonding while ensure the reinforcement effect with a simple construction process; Prestressed UHPC reinforced beams can greatly improve the cracking performance, flexural bearing capacity and rigidity; Through theoretical research, the formula of flexural bearing capacity of ordinary concrete beams reinforced by prestressed UHPC is deduced, which is conducive to subsequent engineering application.
Similar content being viewed by others
Introduction
Ultra-High Performance Concrete (UHPC) is a new cement-based composite material with ultra-high mechanical properties, which has superior tensile toughness far beyond ordinary concrete (NC) due to the strain hardening behavior after cracking. With dense internal structure and few pores, UHPC is also significantly better than ordinary concrete in durability indexes such as wear resistance, anti-freeze–thaw cycle and resistance to chlorideion erosion. In addition, some studies have shown that the bond interface between UHPC and NC has high shear strength and good bond durability. Therefore, UHPC is a promising structural repair material, which has the potential advantages of simultaneous structural strengthening and durability protection.
The unbonded prestressing process has the advantages of simple construction, strong maintainability and low cost. Therefore, the new technology of bending resistance of NC structure reinforced with UHPC can give full play to the advantages of prestressing “high efficiency” and UHPC “durability”, and effectively improve the original concrete structure and the distribution of internal forces in the original concrete members, realize the comprehensive reinforcement of high efficiency, fast and durable protection, and significantly improve the flexural performance of concrete structures, while obtaining good durability and full life cycle cost.
There are few researches in this field at home and abroad, and the engineering application is just in the initial stage1,2,3,4. Limpaninlachat5 studied the flexural strengthening method using pre-tensioned UFC panel on reinforced concrete beams, and the research shows that the loading capacity of RC beams can be drastically enhanced, and can be calculated by assuming the strain compatibility and conventional flexural section analysis. Limpaninlachat6 studied the shear strengthening performance of post-tensioned UFC panel on reinforced Concrete Beams, and shown that the increase in prestressing level on the UFC panel considerably influences the higher initial cracking loads on the UFC panel. The research on the calculation of flexural bearing capacity of unbonded prestressed UHPC reinforced NC beam members is insufficient7,8,9, and a general design method has not been formed10,11. Based on this, through the test of 10 unbonded prestressed UHPC reinforced NC beams, this paper studies the factors affecting the bending capacity of prestressed UHPC reinforced NC beams and carries out theoretical analysis, deduces the bending capacity formula of unbonded prestressed UHPC reinforced concrete beams, and provides theoretical support for the subsequent promotion of prestressed UHPC reinforced NC beams.
Test overview
The 10 prestressed UHPC beams designed in this paper are taken as the research objects. The main parameters of the test beam are shown in Fig. 1. The geometric size of the test beam is 3000 mm × 500 mm × 250 mm, and the net span is 2800 mm. The four-point bending loading of the beam is used to test the bending performance. Ordinary rebar adopts HRB400 grade rebar, of which the main reinforcement arrangement: the tensile longitudinal reinforcement is 3C16, and the top bar is 2C12; Stirrup arrangement: the bending shear section is C10@60 mm, and the pure bending section is C 10@120 mm; The prestressed UHPC layer is arranged with 2C12 tension rib plus linear ϕ12.7 prestress wire. The strength, thickness and prestressed ratio of the UHPC reinforced layer (including the number of prestressed wire and the control stress of prestressed tendons (i.e. the percentage of the designed tensile strength of prestressed wire)) are the test parameters. The test parameters of the component are shown in Table 1.
Material constitutive relationship
The ordinary concrete design strength grade of the test beams is C45, using commercial concrete manufacturers’ supply, the mix ratio of NC is cement: fly ash: mineral powder: admixture: fine aggregate: coarse aggregate: water = 411:49:81:9.74:560:1057:102 (unit Kg/m3). Reinforcing material UHPC, the ratio of the use of recycled low-carbon materials designed by the author is mainly composed of cement, silica fume, recycled powder, quartz sand, steel fiber and high efficiency water reducing agent. The compressive strength of UHPC100, 120 and 150 MPa involved in this test is detailed in the reference12. The compressive strength and elastic modulus of ordinary concrete and UHPC cube were determined according to the standard test methods stipulated in the Physical and Mechanical Properties Test Method of Concrete (GB/T 50081-2019)13 and Activated powder concrete (GB/T31387-2015)14 respectively, as shown in Fig. 2. The rebar, unbonded prestress wire and anchor are finished by the manufacturer. The tensile strength and elastic modulus are determined according to the standard test methods stipulated in the Code for Acceptance of Construction Quality of Concrete Structure Engineering (GB 50204-2015)15 . The test results of the properties of each material are shown in Table 2.
Test the process flow of beam making and strengthening
There are a total of 10 beams, including one non-strengthened beam as a comparable, and 9 beams are strengthened by a UHPC layer. The specific production and reinforcement process is shown in Fig. 3, which is divided into the following 4 processes:
Pouring and maintenance of unreinforced ordinary concrete beams: as shown in Fig. 3a, the test beams are cast by wooden mold, and 10 beams are finished in one time. After pouring, the concrete surface is covered with plastic film and watered regularly to keep the film surface moist. The side molds are removed after 7 days of age, and after 60 days of on-site maintenance under the same conditions (the average temperature during the production period is low, after 60 days of maintenance, the test strength of the concrete test block under the same conditions basically reaches the design strength C45);
Interface treatment: Before pouring the UHPC strengthening layer, the ordinary concrete in the reinforcement part of the pure bending area of the test beam should be mechanically gouged, as shown in Fig. 3b. After gouging, high-pressure water gun should be used to clean the residual concrete slag at the interface, and then the actual gouged depth of the interface should be measured to ensure that the average gouged depth of the interface is within 5 mm, so as to reduce the adverse impact of concrete floating slurry on the interface bonding. The concrete interface of the shear section of the test beam is grooved, the groove depth (width) is 15 mm, in order to increase the bond strength of the interface, and ensure that the shear stress generated by the post-tensioning prestressed construction at the UHPC-RC interface at the end of the beam will not destroy the bond interface. After the interface treatment is completed, the wetting treatment (moisten the interface with water to facilitate the bonding of UHPC and NC) is carried out, and the UHPC strengthening layer is poured after maintaining the wet state.
Construction of the UHPC strengthening layer: set up the template of the UHPC strengthening layer and the end tensioned embedded steel plate, then lay the reinforcement layer structural rebars and unbonded prestress wire(as shown in Fig. 3c), then pour the UHPC strengthening layer(as shown in Fig. 3d), next water and maintenance of the UHPC reinforced layer film(as shown in Fig. 3e), finally tensioned after the age of the UHPC strengthening layer reaches 28 days.
Post-tensioning test beam prestressing tendons: After the UHPC reinforced layer is cured at room temperature under the same conditions for 28 days (the test strength of UHPC test block under the same conditions basically reaches the design strength), the reinforced layer formwork is removed, the unbonded prestress wires are stretched to the controlled stress (as shown in Fig. 3f), and then the loading test is carried out. The tensioning procedure and magnitude of induced force:prestress from 0 to initial stress (10% σcon), then overtensile stress(105%σcon, hold for 2 min), next to the σcon, finally anchoring.
Test device and test scheme
The test beam was tested by four-point bending loading. The length of the pure bending section was 800 mm and the length of the shear span was 1000 mm. During the test, the change of deflection at the middle span and end support of the test beam, the development of the width of the bending crack, the pressure in the beam, the tensile longitudinal bar, the strain change of UHPC and concrete, and the deflection and strain of the reinforced beam under the influence of prestress were mainly measured and recorded. The change of deflection and displacement data were all measured by the automatic dial gauge. The strain changes of rebar, UHPC and concrete were measured by the strain gauge; The change of crack width was monitored by the intelligent crack observer (the index value was 0.02 mm and 0.4 mm), and the crack development path was described manually until destroyed, focusing on the two stages from the initial crack development to 0.2 mm and 0.4 mm.
The test device is shown in Fig. 4. The test loading scheme is as follows: the loading rate from the initial to cracking is 5 kN/min, and the loading rate after cracking is 10 kN/min; After reaching the peak of ultimate bearing capacity, the loading rate is 1.5 mm/min, controlled by displacement, until the component is destroyed.
Test results and analysis
Failure mode and crack development
Figure 5 shows the typical failure patterns and crack distribution of the comparable ordinary beam and the reinforced test beam under the action of test loads. The failure mode of the comparable ordinary beam is the typical flexural failure: the main crack of the beam body develops rapidly to the top of the beam after the longitudinal reinforcement of the beam bottom is strained and yielding, and the ordinary concrete in the compression zone collapses after reaching the ultimate compressive strain. The failure mode of the reinforced beam is the conventional flexural failure, and the failure process is the cracking of the UHPC layer first, and then the cracking of the ordinary concrete. The steel fiber in the UHPC layer is constantly hissing and cracking under tension. After the fracture of the UHPC layer, the longitudinal reinforcement of the beam bottom and the reinforced layer are strained and yield, and the beam body develops along the main crack of the UHPC toward the top of the beam. The ordinary concrete in the compression zone reaches the ultimate bearing capacity after reaching the ultimate compressive strain. After the concrete in the compression zone collapses, as the deflection of the beam body and the width of the main crack continue to increase, the unbonded prestress wire in the UHPC deforms excessively and is pulled apart, resulting in final failure. During the test, the tensile force under the anchor of the end of the reinforced beam did not change, which proves that the end involved in the reinforcement process is well anchored, and the unbonded prestress wire and the UHPC strengthening layer work cooperatively, and no slip occurs.
According to the comparison between RC beam and different types of reinforced beams, RC beam shows that in the limit state, multiple bending main cracks develop towards the top of the beam at the same time, and the width and spacing of cracks are uniform. When the reinforced beam enters the limit state, the bending cracks generated in the UHPC reinforced layer run through the UHPC-RC interface to form the main bending cracks, and the width of the other bending cracks is small, but there are many bending micro-cracks densely distributed on the UHPC reinforced layer. During the loading process, the UHPC-RC interface in the reinforced beam is firmly bonded without peeling phenomenon. After the steel fiber at the main crack is completely pulled off, the local cracking of the interface at the main crack position is serious, which is due to the large deformation mismatch between the main crack width of the UHPC and the main crack width at the bottom of the ordinary concrete beam, and the interface stress concentration after the UHPC layer exits the tensile action.
The test results show that the original members can effectively cooperate with the UHPC-ordinary concrete composite members after using unbonded prestressed UHPC reinforcement, and the flexural performance is greatly improved.
In terms of crack resistance, the cracking load and ultimate load (crack width < 0.2 mm) reinforced with different parameters are increased by 100–300% and 100–200% respectively compared with the comparable ordinary beam. The reason for the excellent crack resistance of the reinforced beam is the ultra-high tensile strength of UHPC, the bending tensile stress caused by the pre-applied prestress to offset the external load in the tension area and the moderate increase in the height of the section. Secondly, in terms of the ultimate bearing capacity of the structure, the ultimate failure load strengthened by different parameters is increased by 100–200% compared with the beam. The reason for the substantial increase in bending bearing capacity is the increase in section reinforcement ratio, the increase in section height after reinforcement and the full play of the tensile performance of the UHPC reinforced layer. The above results show that the flexural performance of the original RC structure is effectively improved.
Load–deflection relationship
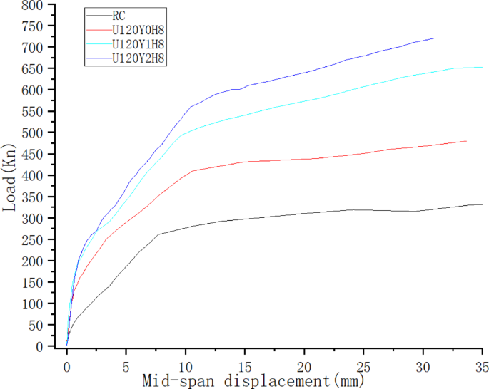
Taking the Number of prestress wire group as an example, the load- mid-span deflection curves of the test beam and the comparable ordinary beam are shown in Fig. 6. It can be seen from the Fig. 6 that the deflection changes slightly from the early loading stage to the cracking stage. After the cracking of the beam, the stiffness of the comparable ordinary beam decreases obviously, and the deflection accelerates greatly, while the reinforced beam basically maintains the linear elastic working state, and the deflection is much smaller than that of the comparable ordinary beam. This is because (1) the UHPC reinforced layer not only improves the moment of inertia of the section of the member; (2) UHPC has higher tensile strength and strain hardening phenomenon, and the section stiffness of the reinforced beam can be maintained after cracking; (3) the unbonded prestress wire further enhances the ability of the reinforced beam section to resist the bending moment, and the concrete cracks lag under the action of prestressing.
From cracking to UHPC layer steel fiber tear to form the main crack, the deflection of the reinforced beam increases linearly, and the deformation rate is much smaller than that of the comparable ordinary beam, showing better rigidity. After the UHPC main crack develops from the reinforced layer to the ordinary concrete layer, the deflection of each test beam increases rapidly with the yield of the tensile longitudinal reinforcement at the bottom of the beam, and the load-span deflection curve shows an obvious yield turning point. After the ultimate load is reached, the concrete on the top of the beam is crushed, and then the bearing capacity decreases, and the deflection accelerates until the member is destroyed.
Load-strain relationship
Load-strain curves and prestressed degree of load-strain curves of reinforced beam U120Y1H8 for the concrete at the top of the beam, rebar at the reinforcement layer and rebar at the bottom of the beam are shown in Fig. 7.
As shown in Fig. 7a, the changes and developments of the concrete at the top of the beam, reinforcing bars at the reinforcement layer and reinforcing bars at the bottom of the beam of the reinforced beam U120Y1H8, which conform to the typical characteristics of pure bending failure of the test beam: from the initial load to the cracking load stage, the prestressed reinforcement layer bears the main load, and the strain of the reinforced bars and concrete under tension is slight. After cracking, as the crack develops into the main crack, the calculated height becomes smaller, and the compressive strain of the beam top concrete and the tensile strain of the reinforcement bar increase continuously. Finally, after the concrete at the bottom of the beam is crushed and the stress is redistributed, the tensile steel bar will yield and destroy.
As shown in Fig. 7b, the process of bar strain changing with load can be divided into four stages: Stage 1: linear elastic stage: the stress level of bar is low before the crack of the test beam, and the strain increases linearly: Stage 2: working stage with cracks: After the cracking of UHPC, the main crack is formed by the tensile cracking of steel fiber. After the cracking, the cross-sectional stress is redistributed, the rebar begins to bear more bending tensile stress, and the strain growth rate is accelerated. Meanwhile, the stress hardening of UHPC bears part of the tensile stress, and the load-strain curve turns for the first time. Stage 3: Concrete failure stage: the main crack develops to the concrete crushing stage at the bottom of the beam. When the main crack of UHPC goes through the reinforcement and develops to the ordinary concrete beam body, the strain of the tensile rebar increases linearly until the concrete crushing at the top of the beam, and the load-strain curve takes a second turn. Stage 4: yield failure stage: after the concrete on the top out of work, the stress is instantly redistributed, and the strain of the tensile rebar increases sharply to reach the yield limit, and the member is destroyed.
As shown in Fig. 7c, the process of strain change with load in the beam top concrete can be divided into three stages: Stage 1: linear elastic stage: the stress level of the bar is low before the test beam cracks, and the strain increases linearly: Stage 2: working stage with cracks: After the cracking of UHPC, the main crack is formed by the tensile crack of steel fiber. After the cracking, the sectional stress is redistributed, and the stress hardening of bar and UHPC bear the bending tensile stress, which restricts the upward development of cracks. The calculated height of ordinary concrete in the beam body becomes larger, and the reinforced beam concrete plays a greater role and bears greater strain. Load-strain curve appears the first obvious turning point; Stage 3: yield failure stage: the main crack develops to the crushing stage of the concrete at the bottom of the beam. When the main crack of UHPC develops through the reinforcement to the ordinary concrete body, the cracked part of the ordinary concrete exits the work, the calculated height is reduced, and the concrete at the top of the beam is crushed after a sharp increase, and the load-strain curve shows a second turning point.
By comparing the load-strain curve of the rebar in Fig. 7a,c it can be found that the tensile strain of the reinforced beam is obviously smaller than that of the comparable ordinary beam at the same load level. The basic reasons are as follows: (1) The section height of the reinforced beam increases, and the tensile stress at the bottom of the beam is smaller; (2) After the reinforcement of prestressed UHPC layer, there is a certain pre-compressive stress reserve in the tension area of the section, and the section of prestressed tendons increases the reinforcement ratio, which reduces the tensile stress borne by the tensile reinforcement. (3) UHPC tensile strength is high, there is a stress hardening effect after cracking, share part of the bending tensile stress, delay the stress redistribution of the reinforced beam section.
Analysis of influencing factors of flexural performance test
Tensile stress of prestressed tendons
In order to study the influence of tensile stress of prestressed tendons on flexural and ductility properties of prestressed UHPC reinforced beams, three test beams with different tensile and tensile stresses were designed based on the comparison beams. The parameter design of the test beams with different tensile and tensile stresses and the summary of the bearing capacity and deflection of the beams are shown in Table 3. The test results show that increasing the tensile stress can significantly improve the cracking load, ultimate load and stiffness.
Increasing the tensile stress can effectively increase the ultimate load, the main reason is that: (1) the prestress wire produces pressure relief effect, which generates tensile stress at the bottom of the member in advance, and can reserve some extra bearing capacity; (2) prestressing can enhance the UHPC-RC interface bond stress, improve the integrity, but the enhancement amplitude depends on the stress generated by the application of prestressing and the original interface bond stress balance, once the original bond stress, too much stress will not be converted into reserve stress.
Prestress reinforcement ratio
In order to study the influence of the reinforcement ratio of prestressed tendons on the flexural and ductility performance of prestressed UHPC reinforced beams, three test beams with different tensile stresses were designed based on the comparison beams. The parameter design of the test beams with different reinforcement ratio of prestressed tendons and the summary of the bearing capacity and deflection of the beams are shown in Table 4. The test results show that the cracking load, ultimate load and stiffness can be significantly improved by increasing the ratio of prestressed reinforcement.
Increasing the ratio of prestressed reinforcement can effectively improve the ultimate load, the main reason is that (1) the prestress wire has the effect of reducing pressure, and the tensile stress is generated at the bottom of the member in advance, which can reserve some additional bearing capacity; (2) the increase in the number of prestressed reinforcement can increase the ratio of reinforcement of the section of the member and improve the flexural bearing capacity of the member.
UHPC strength
In order to study the influence of UHPC thickness on the flexural and ductility properties of prestressed UHPC reinforced beams, three test beams with different UHPC strengths were designed based on the comparison beams. Table5 shows the parameter design of the test beams with different UHPC strengths and the summary results of the bearing capacity and deflection of the beams. The test results show that increasing the strength of UHPC can significantly improve the cracking load, ultimate load and stiffness, but there is a reasonable strength, beyond the reasonable strength, the lifting is limited and uneconomical.
Increasing the strength of UHPC can effectively improve the ultimate load and stiffness, but the increase amplitude is not large after a certain strength. This is because the greater the strength of UHPC, when the beam is in the limit state, the tensile stress and interface bonding stress of UHPC in the tensile zone will increase, thus improving the ultimate bearing capacity. However, the strength is too large, the increase in bonding stress is limited, so the strengthening effect is not obvious, but the strength should not be less than 100mpa, which does not meet the requirements of prestressed tension.
UHPC thickness
In order to study the influence of UHPC thickness on the flexural and ductility properties of prestressed UHPC reinforced beams, three test beams with different UHPC thicknesses were designed based on the comparison beams. The parameter design of test beams with different UHPC thicknesses and the summary results of the bearing capacity and deflection of the beams are shown in Table 6.
The test results show that increasing the thickness of UHPC can significantly improve the cracking load, ultimate load and stiffness, but there is a reasonable thickness, beyond the reasonable thickness, the lift is limited and uneconomical.
Increasing the thickness of UHPC can effectively improve the ultimate load and stiffness, but the increase is not large after a certain thickness. This is because the beam section height effect increases with the increase of UHPC thickness, while the tensile strength of UHPC is high, and the stress hardening effect increases with the increase of reinforcement layer. However, there is no correlation between the ultimate bearing capacity and UHPC layer after the cracking exits the work, so the effect on the cracking strength is not obvious, but the effect on the ultimate bearing capacity and stiffness is obvious. However, considering the needs of the prestressed reinforcement protective layer and the interface bonding force transfer, it is necessary to set a reasonable protective layer thickness.
Theoretical analysis and research
For the prestressed UHPC reinforced beam under the ultimate state of bearing capacity, the concrete in the compression zone has entered a plastic state. In the force calculation model as shown in Fig. 8, the stress distribution of the concrete in the compression zone is simplified to an equivalent rectangle. It is assumed that the strength of the concrete in the compression zone reaches the compressive strength fc, and the steel bar has reached its yield strength fpy. According to the tensile constitutive relationship of UHPC as shown in Fig. 9, in the limit state, the UHPC reinforced layer is in the strain hardening stage after cracking16, the tensile strength of UHPC remains unchanged at the cracking strength fut, and the tensile stress is evenly distributed along the thickness direction17. The calculation model of the ultimate flexural capacity of the prestressed UHPC reinforced beam can be calculated according to the design code of concrete structure reinforcement GB50367-201318 for prestressed reinforced rectangular reinforced concrete beam model, so as to meet the requirements of the code and facilitate engineering application.
The height of the concrete in the compression zone x is obtained according to the static balance of the plane section, and the ultimate bending capacity M can be obtained by the formula that the sum of the resultant moment of the compressive reinforcement is 0。
In Formula (1): M is the ultimate flexural bearing capacity of the UHPC reinforced beam, ɑ1 is the calculation coefficient of concrete strength. When the strength of ordinary concrete does not exceed C50, it is 1.0, and when the strength of C80, it is 0.84, with linear interpolation in the middle; fc0 is the design value of the axial strength of ordinary concrete; x is the height of concrete ompression zone; b,h is the width and height of the original beam section; hp the distance from the prestressed reinforcement to the ompression side of the concrete;a’s is the distance between the compression reinforcement and the compression side of the concrete; h0 the distance between the tension reinforcement bar and the compression side of the concrete; hu the height of the UHPC layer; A′s0 is the cross-sectional area of the compression reinforcement of the original beam body; As0 is the cross-sectional area of the tensile reinforcement of the original beam body; Asu is the cross-sectional area of the tensile reinforcement of prestressed reinforcement; Ap is the cross-sectional area of prestressed reinforcement;Au is the UHPC layer area; f’y0 is the compressive strength of the original beam body compressive reinforcement; fy0 is the tensile strength of the tensile reinforcement of the original beam body;fyu is the tensile strength of the tensile reinforcement of prestressed reinforcement;σp is the tensile strength of prestressed reinforcement;fu is UHPC tensile strength.
After substituting the data of the test beams into the formula 1, the ultimate bearing moment was obtained. The calculation results are shown in Table 7. It can be seen from Table 7 that the calculated value of the ultimate bearing moment of the strengthened beam by the formula is in good agreement with the test value. The average ratio of the two is 1.03, and the standard deviation is 0.05, with a small deviation. This strengthening method can significantly increase the bearing capacity of the original component. According to the "Code for Design of Strengthening Concrete Structures" GB50367-201318, the design bearing capacity of strengthening should not exceed 20% of the original component’s bearing capacity19, leaving a large safety reserve. Therefore, the formula derived in this paper is applicable to the calculation of the bearing capacity of prestressed UHPC strengthening and is convenient for engineering application.
Due to the lack of corresponding test data and finite element analysis20,21, the cracking load and deflection development involved in the reinforcement effect of the reinforced structure under the working condition need to be further studied.
Conclusion
This paper is to explore the flexural performance of unbonded prestressed UHPC reinforced ordinary concrete beams. The flexural performance of prestressed UHPC beams whose reinforcement parameters are UHPC strength, thickness, tensile degree of prestressed tendons and reinforcement ratio of prestressed tendons is tested and analyzed. The ultimate bearing capacity of prestressed UHPC reinforced beams is theoretically analyzed, and the following basic conclusions are drawn:
The failure modes of the comparable ordinary beam and the reinforced beam are typical bending failure; the cracking strength, bending bearing capacity and ductility of ordinary concrete beams are significantly improved after the reinforcement of prestressed UHPC. The test results show that the failure process of reinforced concrete beams can be divided into elastic stage, crack working stage, concrete crushing stage and yield failure stage.
The prestressed UHPC strengthening layer can actively improve the stress state of the structure, apply the prestressed technology in advance, reduce the stress level of the tension reinforcement bar inside the structure, delay the formation and development of cracks, after the reinforcement surface is chiseled, the bonding performance between the prestressed UHPC strengthening layer and the RC beam interface is excellent, and the end anchor has good working performance. There is no damage before the member reaches the ultimate bearing capacity, and the overall working performance of the structure is good.
The influence of four key factors such as UHPC strength, thickness, tensile degree of prestressed tendons and reinforcement ratio of prestressed tendons on flexural performance of prestressed UHPC reinforced beams is studied through experiments. The results show that the above four parameters have a significant direct impact on the cracking load, ultimate bearing capacity and deflection of the reinforced beam. The strength and stiffness of the reinforced beam are greatly improved compared with the comparable ordinary beam. The cracking load is increased by 200%-500%, the ultimate bearing capacity is increased by 100–200%, and the stiffness is increased by 200–300%. It is proved that the effective selection of test parameters has a strong reference for later engineering application.
According to the experimental failure mode and the theoretical assumption of section, combined with the prestressed rectangular reinforced concrete beam model of GB50367-2013, the calculated ultimate bearing capacity is in good agreement with the experimental results, and the results are safe, indicating the accuracy of the theoretical analysis and deduction.
The test results show that the unbonded prestressed UHPC reinforced ordinary concrete beam flexural performance technology has high reinforcement efficiency, gives full play to the two materials of prestressed and UHPC, greatly improves the performance of ordinary concrete structure in the use stage, greatly improves the ultimate bearing capacity and reinforcement safety margin, the process is simple and easy to operate, and has strong application and promotion value.
Data availability
The datasets used and/or analysed during the current study available from the corresponding author on reasonable request.
References
Russell, H. G. & Graybeal, B. A. Ultra-high performance concrete: A state-of-the-art report for the bridge community. High Perform. Concr. 1(1), 1–63 (2013).
Resplendino, J. & Toutlemonde, F. The UHPFRC revolution in structural design and construction. Indian Concr. J. 88(4), 72–83 (2014).
Yoo, D. Y. & Yoon, Y. S. A review on structural behavior, design, A review on structural behavior, design, and application of ultra high performance fiber reinforced concrete. Int. J. Concr. Struct. Mater. 10(2), 125–142 (2016).
Lei, V. Y., Augustin, P. C. & Thamboe, T. A. J. Design and construction of a 50 m single span ultra high performance ductile concrete composite road bridge. Int. J. Sustain. Constr. Eng. Technol. 3(1), 1–17 (2013).
Shafieifar, M., Farzad, M. & Azizinamini, A. A comparison of existing analytical methods to predict the flexural capacity of ultra high performance concrete (UHPC) beams. Constr. Build. Mater. 172, 10–18 (2018).
Song-Ling, H. Research on Flexural Performance of Damaged Concrete Beams Reinforced by Prestressed Ultra-High Performance Concrete (UHPC) (Hunan University, NY, 2021).
Yang, Z. et al. Experimental study on flexural performance of RC beams reinforced by Prestressed UHPC. J. Hun. Univ. 49(03), 23–31 (2022).
Toutlemonde, F. et al. Long-term material performance checked on world’s oldest UHPFRC road bridges at BourgLes-Valence. Symp. Ultra high Perform Fibre Reinf. Concr. 1(1), 265–274 (2013).
Makita, T. & Bruhwiler, E. Fatigue behaviour of bridge deck slab elements strengthened with reinforced UHPFRC. Proc. Br. Maint. Saf. Manag. Resil. Sustain. 1(1), 1974–1980 (2012).
Ministry of Housing and Urban-Rural Development, People’s Republic of China. GB/T 50081–2019 Standard of Test Method for Physical and Mechanical Properties of Concrete (Standards Press of China, 2019).
Ministry of Housing and Urban-Rural Development, People’s Republic of China. GB/T 31387–2015 Reactive Powder Concrete (Standards Press of China, 2015).
Ministry of Housing and Urban-Rural Development of the People’s Republic of China. GB 50204–2015 Code for Construction Quality Acceptance of Concrete Structure Engineering (Standards Press of China, 2015).
Xiaoyu, G., Jingfu, K. & Jinsong, Z. Uniaxial compression constitutive relation of ultra-high performance concrete. J. Southeast Univ. Nat. Sci. Edit. 47(2), 369–376 (2017).
Zengkui, X., Hua, Z., Ping, Z., Pengfei, Ma. & Ying, Z. Test and analysis of interface slip resistance of ultra-high performance concrete-ordinary concrete composite beam bridge. Highw. Eng. 44(3), 198–205 (2019).
Sichuan Academy of Building Science. GB 50367–2013 Design Code for Reinforcement of Concrete structures (China Building and Construction Press, 2014).
Ministry of Housing and Urban-Rural Development, People’s Republic of China. GB 50010–2010 Code for Design of Concrete structures (China Building and Construction Press, 2010).
Zhao, Li. et al. Test and finite element analysis of flexural performance of UHPC-NC composite structure. Highw. Eng. 44(02), 194–200 (2019).
Tiejiong, L. Finite Element Modeling and Performance Analysis of Unbonded Prestressed Beams (Zhejiang University, 2005).
Zuanfeng, P., Feng, F. & Yunfei, W. Research on mechanical properties and carbon reduction of low carbon UHPC based on the utilization of recycled materials. Constr. Technol. 53(22), 24–28 (2024).
Limpaninlachat, P., Matsumoto, K., Nakamura, T., Kono, K. & Niwa, J. Flexural strengthening effect of pre-tensioned UFC panel on reinforced concrete beams. J. JSCE 4(1), 181–196 (2016).
Limpaninlachat, P., Nakamura, T., Kono, K. & Niwa, J. Shear strengthening performance of post-tensioned UFC panel on reinforced concrete beams. J. Adv. Concr. Technol. 15(9), 558–573 (2017).
Funding
Study on Influence of Sleeve grouting Defects on seismic Performance of prefabricated concrete shear Wall Structure and Strengthening Technology (National Natural Science Foundation of China 52078368).
Author information
Authors and Affiliations
Contributions
Fan feng: Data analysis and Writing. Pan zuanfeng: Formal analysis. Pan hongcai: Validation.
Corresponding author
Ethics declarations
Competing interests
The authors declare no competing interests.
section on the manuscript file.
Additional information
Publisher’s note
Springer Nature remains neutral with regard to jurisdictional claims in published maps and institutional affiliations.
Rights and permissions
Open Access This article is licensed under a Creative Commons Attribution-NonCommercial-NoDerivatives 4.0 International License, which permits any non-commercial use, sharing, distribution and reproduction in any medium or format, as long as you give appropriate credit to the original author(s) and the source, provide a link to the Creative Commons licence, and indicate if you modified the licensed material. You do not have permission under this licence to share adapted material derived from this article or parts of it. The images or other third party material in this article are included in the article’s Creative Commons licence, unless indicated otherwise in a credit line to the material. If material is not included in the article’s Creative Commons licence and your intended use is not permitted by statutory regulation or exceeds the permitted use, you will need to obtain permission directly from the copyright holder. To view a copy of this licence, visit http://creativecommons.org/licenses/by-nc-nd/4.0/.
About this article
Cite this article
Feng, F., Zuanfeng, P. & Hongcai, P. Experimental and theoretical study on flexural performance of concrete beams strengthened by unbonded prestressed ultra-high performance concrete layer. Sci Rep 15, 23146 (2025). https://doi.org/10.1038/s41598-025-03218-x
Received:
Accepted:
Published:
Version of record:
DOI: https://doi.org/10.1038/s41598-025-03218-x











