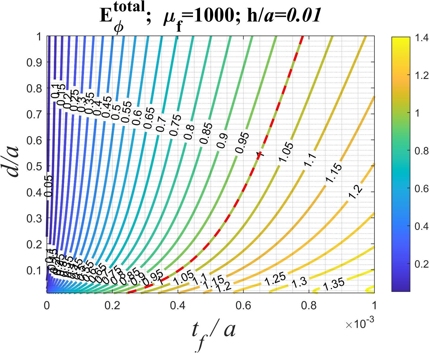
Fig. 12
From: Null-image effect of planar coils over a grounded ferrite slab

Contour map of the total electric field, observed at \(z=h+d\), plotted against the conductor-backed ferrite slab thickness \(t_f/a\) and d/a for the case of \(\mu _f=1000\) and \(h/a=0.01\).