Abstract
This paper presents a rigorous formulation based on the inverse Fourier–Bessel transform to determine the contribution of non-conservative electric fields (or vector potentials) due to a circular current filament from the actual and image currents, respectively. Notably, the null-image effect in the scenario of a current loop filament positioned at a distance h from the magnetic substrate surface can be observed. Specifically, the position where the measured electric field due to image current vanishes is a function of both \(d+2h\) and ferrite slab thickness, where d is the distance from the excited coil to the pick-up coil.
Similar content being viewed by others
Introduction
Wireless power transfer (WPT) through a magnetic field generated by the primary coil and captured at the secondary coils, both resonant at low frequencies, has been developed as a contactless method for near-field or medium-range applications1,2,3. Initially employed in low-power transmission, such as mobile phones, WPT has recently been utilized in high-power battery charging, such as for electric vehicles (EVs)4,5,6,7,8,9,10.
The design of the coils is pivotal to the WPT system, particularly in the calculation of self- and mutual inductances. Analytical models based on the magneto-static approximation have been developed. The current filament can be positioned at the coil’s center to simulate a metal wire, enabling the precise determination of solutions from the filament formula. For instance, the mutual inductances of two coaxial circular current loops, known as Maxwell’s coils11, can be calculated in terms of complete elliptic integrals12,13. Furthermore, incorporating the nonuniform current density distribution on the coil cross-section, the analytical formulation can be successfully extended to the cases of planar coils with severe aspect ratios of height to width14,15. Additionally, the non-coaxial planar spiral windings sandwiched between two double-layer substrates has also been formulated16.
To further enhance the coil inductance, a magnetic substrate, such as a ferrite layer, is commonly employed in WPT coils17,18,19,20,21,22. The ferrite slab is positioned beneath the coils to enhance the inductance of the coil. Additionally, it facilitates the concentration of the magnetic flux due to its high permeability23,24. In addition to its role in inductance enhancement, the ferrite layer can also serve as magnetic shielding layers. Furthermore, a non-magnetic metal layer, such as aluminum, is typically added to prevent interference with electrical components below the metal layer by the leaking magnetic flux. The theory of image current was developed in the context of a coil placed on a semi-infinite or thick ferrite medium25. However, the infinitely thick assumption is no longer practical in many practical applications, particularly for cases where the relative permeability (\(\mu\)) is less than approximately 100. Consequently, a correction must be applied considering the finite thickness of the magnetic substrate26. The representation of series expansion resulting from multiple images of current was developed to calculate the inductance of a coil on a finite-thickness magnetic substrate26 and a coil sandwiched between top and bottom plane thick magnetic plates27.
This paper presents a rigorous formulation of the non-conservative (or induced) electric field generated by a current filament in the presence of parallel layers, including ferrite slabs28. Given the cylindrical symmetry of the excited coil modeled as a circular current filament, the formulation can be expressed in terms of the inverse Fourier–Bessel transform29. The Fourier–Bessel spectrum, representing the decomposition into modes corresponding to the Bessel function basis, can be regarded as the voltage function along the vertical (z-) direction (coil is on the xy-plane). Notably, the voltage function is determined by a cascaded transmission-line network excited by the current source (excited coil), a commonly used method in microwave engineering. Such a systematic approach can significantly simplify the mathematical formulation in the multilayered scenario. With this formulation, the induced electric field: \(E_{\phi }\) can be decomposed into the superposition of two contributions consisting of the actual current filament and the image current filament, particularly with the closed-form expression for the image current amplitude.
While multilayered structures consisting of ferrite and metallic layers have been investigated in the literature, these studies often involve complex analytical treatments. This work offers a systematic approach to simplify the mathematical formulation by employing a cascaded transmission-line network representation. Beyond methodological simplification, we focus on a fundamental configuration: a grounded ferrite slab. This minimal structure enables clear observation of the underlying physical mechanism responsible for the emergence of the null-image effect, a phenomenon not previously reported. Our approach not only reduces analytical complexity but also offers physical insight into field interactions within multilayered structures composed of dielectric materials, magnetic media, and metal plates.
A key contribution of our work is the introduction of an alternative formulation for the amplitude of the image current, expressed through a thickness-correction function. This function explicitly accounts for the ferrite slab’s finite thickness, its magnetic permeability, and the continuous eigenvalue spectrum of the Bessel function of the first kind along the radial direction.
Most importantly, our analysis reveals the emergence of a previously unreported phenomenon-the destructive and constructive interference between the induced electric fields from the actual and image currents. This effect, inherent to the grounded ferrite configuration and captured through our formulation, provides new insight into field interference mechanisms and offers a potential means of controlling electromagnetic behavior in magnetic substrate environments. These findings distinguish our work from prior studies and highlight its novelty.
The primary objective of this research is to propose a guide that integrates theoretical analysis with practical applications to determine the optimal thickness of grounded ferrite for specific applications.
Method of mathematical analysis
Azimuthal electric field of a circular current filament
The coil is typically modeled as a collection of concentric circular loops, each with a finite cross-sectional area. Additionally, the filamentary formula assumes that each circular loop is a current filament to obtain the closed-form solution for the vector potential resulting from this constant density of current filaments. Furthermore, the current density of the filament has the distribution:
where a is the radius of a circular current filament.
The non-conservative electric field generated by a time-varying current (\(e^{j\omega t}\) suppressed in the formulation) situated at the \(z=h\) plane, as illustrated in Fig. 1, can be determined using the inverse Fourier–Bessel integral transform. Due to the low-frequency approximation, the displacement current is disregarded, resulting in \(E_{\phi }\approx -j\omega A_{\phi }\), where \(A_{\phi }\) is the vector potential that is a function of \((\rho ,~z)\) and is independent of the azimuth angle \(\phi\) due to cylindrical symmetry. The validity of this approximation relies on the assumption that the operating frequency is sufficiently low such that the characteristic dimension of the coil (e.g., diameter 2a) is much smaller than the free-space wavelength \(\lambda\), i.e., \(2a \ll \lambda\). Under this quasi-static condition, the current distribution along the coil remains uniform, and retardation effects can be ignored30. We also note that this approximation assumes ideal or weakly dispersive media with low loss. At higher frequencies or in the presence of strongly dispersive or lossy materials (e.g., ferrites near resonance), deviations from the ideal \(-j\omega A_{\phi }\) behavior can occur, and full-wave analysis may become necessary.
Additionally, the resulting expression for the non-conservative (i.e., induced) azimuthal electric field is given below14,28.
where k is the continuous eigenvalue of the first-kind Bessel function of \(J_1(k\rho )\), a and \(\rho\) denote the source and pick-up filament radii. The voltage function V(k, z) represents the voltage function of the commonly used transmission-line equations along the z-axis, while the current function is proportional to the magnetic field strength along the radial direction (\(H_{\rho }\)). Specifically, the discontinuity of \(H_{\rho }\) at the position \(z=h\) is attributed to the excited current filament. The method for resolving the voltage and current functions in cascaded transmission lines with an excitation current source can be found in textbooks31. Furthermore, the voltage and current functions in each uniform layer can be expressed as \(V(z)=f\exp (-kz)+g\exp (+kz)\) and \(Z_j I(z)=f\exp (-kz)-b\exp (+kz)\), where f and b are two unknowns to be determined by boundary conditions, and \(Z_j=1/Y_j=\mu _j\mu _o/k\). Parameters \(\mu _o\) represent the permeability of free space, and \(\mu _j\) represent the relative permeability in the \(j\)th uniform layer under consideration.
Circular current filament displaced from a semi-infinite ferrite medium
Consider a circular current filament with radius a and amplitude \(I_0\) positioned above a semi-infinite medium filled with ferrite material characterized by a relative permeability of \(\mu _f\). The non-conservative electric field at \(z=d+h\), where the current source is located at \(z=h\), is expressed in Eq. (2). Furthermore, the voltage function is defined as \(V(k,z=d+h)=V(k,z=h)\exp (-kd)\), where \(V(k,z=h)\) represents the voltage function at the source position.
Refer to Fig. 1, the voltage function can be determined from the transmission-line network fed by the current source \(I_o\) at \(z=h\). By the Kirchhoff current law (K.C.L.), the current \(I_o\) flows into \(Z_a\) and the transmission line network below \(z=h\). The conservation of current enables
with \(I_{up}=Y_{up}V(z=h)\) and \(I_{dn}=Y_{dn}V(z=h)\).
Therefore, the voltage at the source position is expressed as
Referring to Fig. 1, \(Y_{up}\) represents the characteristic admittance in the free space (air), while \(Y_{dn}\) denotes the input admittance observed when looking into the transmission with a characteristic impedance of \(Z_a=\mu _o/k\) and a length of h. Notably, this line is terminated by a load impedance denoted as \(Z_f=\mu _f\mu _o/k\), which corresponds to the characteristic impedance of the semi-infinite ferrite medium.
By formulating the input admittance of a loaded transmission line, the voltage function at the observation position \(z=d+h\) can be determined, along with the induced electric-field representation through the integral form in Eq. (2). The detailed mathematical derivations are provided in Section B of the supplementary material.
with \(\gamma =\frac{\mu _f-1}{\mu _f+1}\).
It is noteworthy that the presentation enables us to replace the contribution of the electric field due to the semi-infinite permeability \(\mu _f\) with an image current distribution, as proposed by Jackson32.
Consider a finite-thickness ferrite slab
In a general application, the ferrite material is finite in thickness, unlike a semi-infinite medium. Consequently, it is inevitable to modify the image-current model to accommodate the form of the equation presented in Eq. (5). Figure 2 illustrates the structure configuration of a circular current filament placed above a finite thickness ferrite slab (with relative permeability \(\mu _f\)) at a distance h counted from the ferrite slab surface. The equivalent transmission line network consisting of two finite length sections is depicted on the right-hand side of Fig. 2 to facilitate the formulation of the voltage function of a continuous eigenvalue k, as indicated in Eq. (2).
The voltage function at the source position, denoted as \(z=h\), can be determined using Eq. (4). In this equation, \(Y_{up}\) is equal to \(Y_a\), and \(Y_{dn}\) represents the input admittance looking downward into the transmission line from \(z=h\). This transmission line has an impedance of \(Z_a\), which corresponds to an air substrate with a thickness of h. The transmission line is terminated by the load, which is the input admittance of the loaded transmission line with a characteristic impedance of \(Z_f=\mu _f\mu _o/k\) and a length of \(t_f\). Additionally, the aforementioned transmission line is terminated by \(Z_a\) to model the semi-infinite free space. The detailed mathematical procedures can be found in Section C of the supplementary material.
The electric field can be calculated as follows.
with \(\gamma =\frac{\mu _f-1}{\mu _f+1}\)
Notably, the current amplitude of the image current becomes \(\kappa (kt_f)\gamma I_o\), which is corrected by the function \(\kappa (kt_f)\) responsible for the thickness effect, as defined in Eq. (7).
Consider a conductor backed ferrite slab
Furthermore, the configuration of a grounded ferrite slab is widely utilized in practical applications, where the metal plate modeled as a PEC is employed to prevent the leakage of magnetic flux and also serves as an electromagnetic shield. The transmission line network representation depicted in Fig. 2 can also be utilized. However, in the current scenario, the transmission line modeling the ferrite slab is terminated by a short circuit. Consequently, its input impedance must be modified. The detailed formulation for calculating the input impedance of a shorted circuit-loaded transmission line is provided in Section D of the supplementary material. Lastly, the formulation for obtaining the voltage function at the source position and subsequently at the observation position can be readily determined and expressed as follows.
where the thickness-effect correction function is defined as:
Notably, since \(\tanh (kt_f) \in [0,1)\), \(\kappa (kt_f)\) can be a negative real number when \(\tanh (kt_f) < 1/\mu _f\). This implies that the electric-field contribution at the observation point is not always constructive (Fig. 3).
Results and discussion
Figure 3 depicts the normalized electric field observed at \(z=h+d\) in relation to the ferrite thickness \(t_f\) with a permeability of \(\mu _f=10\). It is noteworthy that all dimensions have been normalized to the current loop radius a. Furthermore, the normalized electric field is the ratio of the electric field between that of the image current and that of the actual current, as defined in Eq. (6). This figure demonstrates that the electric field generated by the image current is diminishing as the increase in h. Specifically, only 10 percent of the electric field generated by the actual current will be observed when the current loop is positioned over the ferrite slab at a distance of a (the radius of the current loop).
When the relative permeability is increased to \(\mu _f=500\), it is noteworthy that each curve rapidly attains its upper bound, as depicted in Fig. 4. Furthermore, the result for the case of \(h/a=0\) can almost approach unity. From Eq. (6), the correction factor, \(\kappa (kt_f)=\frac{1-\exp (-2kt_f)}{1-\gamma ^2\exp (-2kt_f)}\), approaches unity due to \(\gamma \approx 1\) as \(\mu _f=500\). Consequently, the contribution of the image current approaches that of the actual current in this scenario.
Additionally, we simulate the scenario of a conductor-backed ferrite slab, as depicted in Fig. 5. As shown in Fig. 6, the electric field generated by the image current decreases in response to an increase in h, similar to the trends observed in Figs. 3 and 4. Notably, in the initial portion of the curves, the contribution of the electric field is negative, indicating a destructive effect. Furthermore, as we increase the relative permeability to \(\mu _f=500\), the negative portion of the normalized electric field due to the image current will be moved to lower \(t_f/a\) as shown in Fig. 7, compared to the case of \(\mu _f=10\). Notably, the case of \(h/a=0\) at \(t_f/a=0\) represents the current source is placed precisely on the conductor surface without a ferrite slab. In this case, the image current equals \(-I_o\) and its electric field is out of phase with that due to the actual current. This explains the starting points in Figs. 6 and 7 of the case of \(h/a=0\). Moreover, the point at the transition from negative to positive crossing zero is denoted as the null-image point. This point indicates that the contribution of the image current is vanishing. Parametric studies will be conducted around this point.
As presented in Section D of the supplementary material, the input impedance of the short-circuit-loaded transmission line modeling the ferrite slab is calculated as \(Z_{\text {in}} = Z_f \tanh (k t_f)\). When the parameter \(k t_f\) approaches zero-corresponding to a nearly zero-thickness ferrite slab-the input impedance approximates \(Z_{\text {in}} \approx Z_f k t_f \rightarrow 0\). This condition is analogous to placing a current source directly above a perfect electric conductor, where the image current has the opposite amplitude (\(-I_0\)), as established in classical image theory (e.g.,32,33,34,35,36).
As the slab thickness increases, \(\tanh (k t_f)\) asymptotically increases from zero to nearly unity. This reflects enhanced field decay within the ferrite, such that little to no field reaches the metal backing. As a result, the short-circuit termination becomes effectively transparent to the source, and the net interference becomes constructive, leading to a positive value of the correction function \(\kappa (k t_f)\).
To clearly observe the null image effect, contour plots of constant normalized electric field due to the image current against the ferrite thickness and observation position (d/a) were presented in Fig. 8 for \(h=0.01a\). The contour level is depicted along with each curve. This figure demonstrates that the null image position is a function of both \(t_f/a\) and d/a, subject to the fixed \(h=0.01a\). For a prescribed d/a, for instance, \(d/a=0.5\), the null image occurs at \(t_f/a\approx 6.34365\times 10^{-3}\) denoted as point “A”; additionally, the null image occurs at \(t_f/a\approx 7.8128\times 10^{-3}\) for \(d/a=1\) is denoted as point “B”. Apparently, the contour level of zero distinguishes the image current contribution; namely, in the left-handed side region, the electric field due to the image is negative, while positive when locating in the right-handed side region. Alternatively, it is conjectured that the image current is primarily contributed by the conductor when \(t_f/a\rightarrow 0\). The ferrite slab employed here can function as a shielding material to isolate the conductor below the ferrite slab.
In Fig. 9, the contour plot of normalized electric field observed at \(z=d+h\) is presented, with the prescribed value of \(d/a=0.7\). The vertical and horizontal axes correspond to h/a and \(t_f/a\), respectively. The two dashed lines, corresponding to \(h/a=0.01\) and \(h/a=0.1\), are depicted to highlight the intersection points with contour labels indicating zero values. Specifically, point “C” represents the occurrence of a null image at \(h/a=0.01\) and \(d/a=0.7\) when \(t_f/a\approx 6.9754\times 10^{-3}\). Point “D” indicates that the null image is taking place at \(h/a=0.1\) and \(d/a=0.7\) when \(t_f/a\approx 7.4844\times 10^{-3}\).
Equation (8) reveals that the electric field contributed by the image current source is a function of \(d+2h\) and \(t_f\). Consequently, a contour of constant electric field against the \(t_f/a\) and \((d+2h)/a\) was plotted and presented in Fig. 10. Notably, the electric field is solely due to the image current and is normalized to \(j\omega a I_o\). The contour labeled as 0 represents the occurrence of a null image. It is observed that for a specified normalized thickness \(t_f/a\), the null image curve is a function of \((d+2h)/a\). Alternatively, for a given ferrite thickness of \(t_f/a\), any combination of h and d satisfying \((d+2h)/a\) equal to the value corresponding to the intersection point between the contour level labeled as zero and the vertical line with prescribed \(t_f/a\) can sustain the null-image condition. Consequently, the points A and B in Fig. 8 corresponding to \((h/a=0.01, d/a=0.5)\) and \((h/a=0.01, d/a=1.0)\) can be individually observed at those denoted as points A and B in Fig. 10. Additionally, the points of C and D corresponding to \((h/a=0.01, d/a=0.7)\) and \((h/a=0.1, d/a=0.7)\) in Fig. 9 are coincident to those also denoted as C and D in Fig. 10.
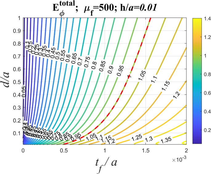
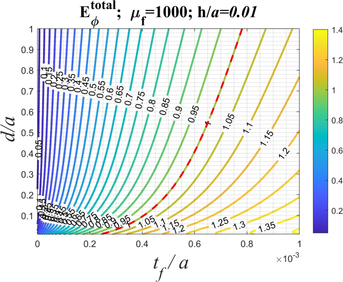
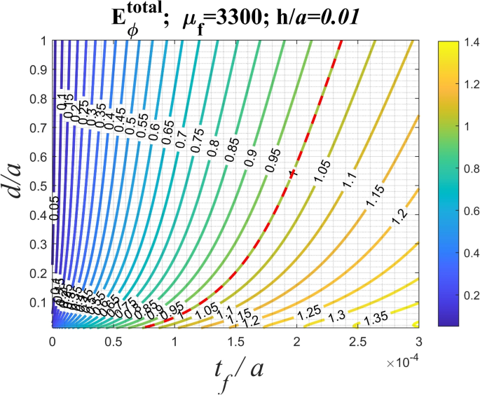
In a conductor-backed ferrite slab, a negative image current can arise under certain conditions, causing destructive interference in the electric field through the superposition of fields from the actual and image currents. According to classical theory32,33,34,35,36, the current negative image corresponds to a moving negative charge that mirrors a moving positive charge, thus giving rise to the out-of-phase relationship between the real and image currents. In this numerical experiment, the total electric field is computed to observe the destructive and constructive interference in such a class of structures. Figs. 11, 12, and 13 present the contour plot of the total electric field, normalized to that due to a single current filament placed in free space without an image, against \(t_f/a\) and d/a for various relative permeabilities \(\mu _f\). The constant contour curve labeled with one separates these curves into two regions: the right-handed side (RHS) represents constructive interference, while the left-handed side (LHS) represents destructive interference. Furthermore, it is observed that the constant contour curve labeled with one gradually shifts towards the left (low normalized ferrite thickness) as \(\mu _f\) increases. This indicates that the null image condition is achieved for a thin ferrite slab when employing a high-permeability ferrite material.
Conclusion
The rigorous formulation of the non-conservative electric field generated by both the actual and image coils has been derived and expressed in terms of the inverse Fourier–Bessel transform. Specifically, the Fourier spectrum is determined by solving the voltage function in a cascaded transmission-line network, modeling the uniform layers including the magnetic and non-magnetic layers, excited by a current source. The systematic analysis simplifies the mathematical formulation and obtains the closed-form solutions of the image current amplitude. The null-image point, which is determined by the image current, can be utilized as a design criterion for selecting the grounded ferrite thickness in practical applications.
Data availibility
The data supporting the findings of this paper are available from the corresponding author upon reasonable request.
References
Soljačić, M., Jaklevic, J. J., Chen, Z., Yaghjian, A. D. & Smith, D. R. Wireless power transfer via strongly coupled magnetic resonances. Science 318, 789–792. https://doi.org/10.1126/science.1144980 (2007).
Kurs, A. et al. Wireless power transfer via strongly coupled magnetic resonances. Science 317, 83–86. https://doi.org/10.1126/science.1143254 (2007).
Assawaworrarit, S., Yu, X. & Fan, S. Robust wireless power transfer using a nonlinear parity-time-symmetric circuit. Nature 546, 387–390. https://doi.org/10.1038/nature22404 (2017).
Shin, J. et al. Design and implementation of shaped magnetic-resonance-based wireless power transfer system for roadway-powered moving electric vehicles. IEEE Trans. Ind. Electron. 61, 1179–1192. https://doi.org/10.1109/TIE.2013.2258294 (2014).
Debbou, M. & Colet, F. Inductive wireless power transfer for electric vehicle dynamic charging. In 2016 IEEE PELS Workshop on Emerging Technologies: Wireless Power Transfer (WoW) 118–122. https://doi.org/10.1109/WoW.2016.7772077 (2016).
Sagar, A. et al. A comprehensive review of the recent development of wireless power transfer technologies for electric vehicle charging systems. IEEE Access 11, 83703–83751. https://doi.org/10.1109/ACCESS.2023.3300475 (2023).
Li, S. & Mi, C. C. Wireless power transfer for electric vehicle applications. IEEE J. Emerging Sel. Top. Power Electron. 3, 4–17. https://doi.org/10.1109/JESTPE.2014.2319453 (2015).
Haque, M. S., Mohammad, M., Pries, J. L. & Choi, S. Comparison of 22 khz and 85 khz 50 kw wireless charging system using SI and SIC switches for electric vehicle. In 2018 IEEE 6th Workshop on Wide Bandgap Power Devices and Applications (WiPDA) 192–198. https://doi.org/10.1109/WiPDA.2018.8569097 (2018).
Patil, D., McDonough, M. K., Miller, J. M., Fahimi, B. & Balsara, P. T. Wireless power transfer for vehicular applications: Overview and challenges. IEEE Trans. Transp. Electrif. 4, 3–37. https://doi.org/10.1109/TTE.2017.2780627 (2018).
Luo, Z. & Wei, X. Theoretical analysis of planar spiral coils between two multilayer media for electric vehicle wireless charging. Energies https://doi.org/10.3390/en11040693 (2018).
Maxwell, J. C. A Treatise on Electricity and Magnetism, vol. 1 (Clarendon Press, 1873), 1 edn. Reprinted by Dover Publications in 1954.
Babic, S., Salon, S. & Akyel, C. The mutual inductance of two thin coaxial disk coils in air. IEEE Trans. Magn. 40, 822–825. https://doi.org/10.1109/TMAG.2004.824810 (2004).
Conway, J. T. Inductance calculations for noncoaxial coils using bessel functions. IEEE Trans. Magn. 43, 1023–1034. https://doi.org/10.1109/TMAG.2006.888565 (2007).
Hurley, W. & Duffy, M. Calculation of self and mutual impedances in planar magnetic structures. IEEE Trans. Magn. 31, 2416–2422. https://doi.org/10.1109/20.390151 (1995).
Hurley, W. & Duffy, M. Calculation of self- and mutual impedances in planar sandwich inductors. IEEE Trans. Magn. 33, 2282–2290. https://doi.org/10.1109/20.573844 (1997).
Su, Y. P., Liu, X. & Hui, S. Y. R. Mutual inductance calculation of movable planar coils on parallel surfaces. IEEE Trans. Power Electron. 24, 1115–1123. https://doi.org/10.1109/TPEL.2008.2009757 (2009).
Yamada, Y., Imura, T. & Hori, Y. Theorizing a simple ferrite cored coil using image coils in wireless power transfer. IEEE Access 11, 8065–8072. https://doi.org/10.1109/ACCESS.2023.3238996 (2023).
Yadav, A. & Bera, T. K. Ferrite shielding thickness and its effect on electromagnetic parameters in wireless power transfer for electric vehicles. J. Eng. Appl. Sci. 70, 298. https://doi.org/10.1186/s44147-023-00298-2 (2023).
Xu, H., Song, H. & Hou, R. Central bulge ferrite core for efficient wireless power transfer. Energies https://doi.org/10.3390/en14165111 (2021).
Liu, S., Yan, X., Xu, G. & Liu, Y. Influence mechanism of ferrite foreign object on wireless power transmission system. Processes https://doi.org/10.3390/pr13010181 (2025).
Ïleri, R. & Ağçal, A. Limiting magnetic exposures using ferrite core and shielding in wireless charging of mobile phones. Microw. Opt. Technol. Lett. 65, 3204–3210. https://doi.org/10.1002/mop.33871 (2023).
Chyczewski, S., Hwangbo, S., Yoon, Y.-K. & Arnold, D. P. Experimental demonstration of multi-watt wireless power transmission to ferrite-core receivers at 6.78 mhz. Wirel. Power Transf. 6, 17. https://doi.org/10.1017/wpt.2018.6 (2019).
Batra, T. & Schaltz, E. Passive shielding effect on space profile of magnetic field emissions for wireless power transfer to vehicles. J. Appl. Phys. 117, 17A739. https://doi.org/10.1063/1.4916930 (2015).
Batra, T., Schaltz, E. & Ahn, S. Effect of ferrite addition above the base ferrite on the coupling factor of wireless power transfer for vehicle applications. J. Appl. Phys. 117, 17D517. https://doi.org/10.1063/1.4919039 (2015).
Roshen, W. & Turcotte, D. Planar inductors on magnetic substrates. IEEE Trans. Magn. 24, 3213–3216. https://doi.org/10.1109/20.92379 (1988).
Roshen, W. Effect of finite thickness of magnetic substrate on planar inductors. IEEE Trans. Magn. 26, 270–275. https://doi.org/10.1109/20.50553 (1990).
Roshen, W. Analysis of planar sandwich inductors by current images. IEEE Trans. Magn. 26, 2880–2887. https://doi.org/10.1109/20.104901 (1990).
Acero, J., Alonso, R., Burdio, J. M., Barragan, L. A. & Puyal, D. Frequency-dependent resistance in litz-wire planar windings for domestic induction heating appliances. IEEE Trans. Power Electron. 21, 856–866. https://doi.org/10.1109/TPEL.2006.876894 (2006).
Morse, P. & Feshbach, H. Methods of Theoretical Physics Vol. 1–2 (McGraw-Hill, 1953).
Ramo, S., Whinnery, J. R. & Duzer, T. V. Fields and Waves in Communication Electronics 3rd edn. (Wiley, 1993).
Hwang, R.-B. Periodic Structures: Mode-Matching Approach and Applications in Electromagnetic Engineering (IEEE Press, Wiley, 2012).
Jackson, J. D. Classical Electrodynamics 3rd edn. (Wiley, 1999).
Maxwell, J. C. A Treatise on Electricity and Magnetism (Clarendon Press, 1873).
Harrington, R. F. Time-Harmonic Electromagnetic Fields (McGraw-Hill, 1961).
Stratton, J. A. Electromagnetic Theory (McGraw-Hill, 1941).
Kong, J. A. Electromagnetic Wave Theory (Wiley-Interscience, 1986).
Acknowledgements
This work was supported by the Ministry of Science and Technology (MOST) of Taiwan under grant NSTC 112-2221-E-A49-054-MY3.
Author information
Authors and Affiliations
Contributions
R.B. completed all the research works and wrote the manuscript.
Corresponding author
Ethics declarations
Competing interests
The authors declare no competing interests.
Additional information
Publisher’s note
Springer Nature remains neutral with regard to jurisdictional claims in published maps and institutional affiliations.
Supplementary Information
Rights and permissions
Open Access This article is licensed under a Creative Commons Attribution-NonCommercial-NoDerivatives 4.0 International License, which permits any non-commercial use, sharing, distribution and reproduction in any medium or format, as long as you give appropriate credit to the original author(s) and the source, provide a link to the Creative Commons licence, and indicate if you modified the licensed material. You do not have permission under this licence to share adapted material derived from this article or parts of it. The images or other third party material in this article are included in the article’s Creative Commons licence, unless indicated otherwise in a credit line to the material. If material is not included in the article’s Creative Commons licence and your intended use is not permitted by statutory regulation or exceeds the permitted use, you will need to obtain permission directly from the copyright holder. To view a copy of this licence, visit http://creativecommons.org/licenses/by-nc-nd/4.0/.
About this article
Cite this article
Hwang, RB. Null-image effect of planar coils over a grounded ferrite slab. Sci Rep 15, 18705 (2025). https://doi.org/10.1038/s41598-025-03582-8
Received:
Accepted:
Published:
Version of record:
DOI: https://doi.org/10.1038/s41598-025-03582-8















