Fig. 2

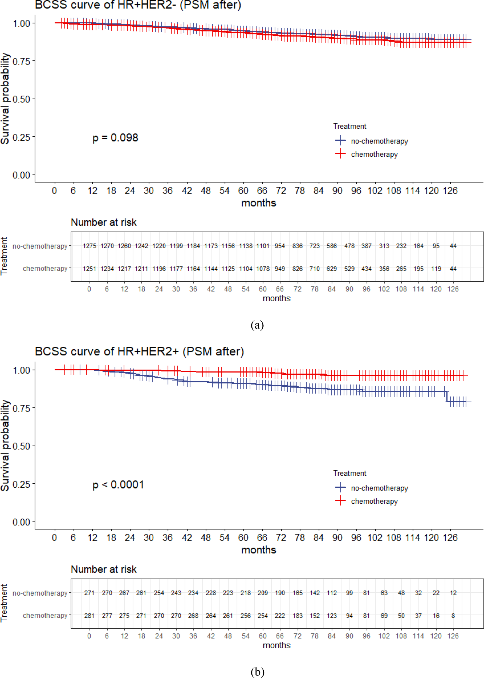
Kaplan-Meyer curves for HR+HER2- and HR+HER2+ breast cancers. The log-rank test for P are displayed on the graphs. (A) Kaplan-Meyer curves for HR+HER2-; (B) Kaplan-Meyer curves for HR+HER2+.

Kaplan-Meyer curves for HR+HER2- and HR+HER2+ breast cancers. The log-rank test for P are displayed on the graphs. (A) Kaplan-Meyer curves for HR+HER2-; (B) Kaplan-Meyer curves for HR+HER2+.