Abstract
Air-boosted vacuum preloading (AVP), an innovative soil improvement methodology extensively employed in subgrade enhancement projects, demonstrates exceptional efficacy in accelerating soil consolidation processes and improving load-bearing characteristics of soft foundation. Current understanding remains constrained by insufficient theoretical exploration of AVP consolidation mechanisms, particularly regarding underdeveloped analytical frameworks. Therefore, this investigation establishes an analytical model for AVP-assisted consolidation incorporating attenuation of vacuum and boost pressure. Fundamental governing equations were formulated through rigorous analysis of vacuum load propagation patterns, accounting for pressure dissipation along both vertical and radial coordinates. The proposed solutions integrate PVD-induced soil disturbance effects and three-dimensional fluid migration patterns. Model validation was achieved through systematic degeneration analysis, confirming consistency with established solutions in specific boundary conditions. Parametric sensitivity analysis revealed significant correlations between consolidation efficiency and key operational variables when benchmarking against conventional models. Crucially, computational findings emphasize that neglecting pressure attenuation mechanisms leads to non-conservative estimates of consolidation progression rates. Enhancement of consolidation rate was observed with higher vacuum loading coefficients and increased Poisson ratios. A limitation section is also introduced to provide critical insights into improving the theoretical investigations on the consolidation of AVP-improved ground.
Similar content being viewed by others
Introduction
Excessive population density and land resource shortages have emerged as significant constraints on further economic development, while land reclamation is considered to be an effective approach to alleviate these issues. However, the dredged slurry and marine clay typically used for reclamation cannot meet the bearing capacity requirements for subgrade construction in transportation infrastructures such as highways and railways. Therefore, exploring new methods to treat soft ground effectively and economically has been a topical issue for researchers and engineers alike. Vacuum preloading stands out as a highly effective ground improvement method. Its special capability to speed up soil consolidation in soft clay layers makes it particularly valuable for foundation treatment projects. Further, the principle and reinforcement mechanism have also been extensively investigated in recent year1,2,3,4,5,6.
However, the prevalent adoption of traditional vacuum consolidation techniques has revealed inherent limitations, including clogged prefabricated vertical drains (PVDs), progressive attenuation of vacuum pressure both vertically and radially, and persistent post-construction deformation7,8,9,10,11. To address these challenges, enhanced vacuum consolidation methods have been developed through iterative innovations, including modifications proposed in earlier studies12,13,14. Notably, air-boosted vacuum preloading (AVP) has emerged as an innovative strategy in soft soil stabilization, utilizing subsurface gas injection to augment consolidation efficiency15. The AVP technique increases the horizontal hydraulic gradient between the PVDs and sur-rounding soil through high-pressurized gas injected from the air-boosted pipes, which can improve drainage efficiency and accelerate the consolidation rate16. The operational mechanisms of AVP have been systematically investigated through integrated field monitoring, laboratory-scale experiments, and computational modeling. These studies collectively demonstrate AVP’s superior soil stabilization efficacy relative to traditional vacuum consolidation methods17,18,19. Empirical evidence from Wang et al.20 reveals that activating the pneumatic enhancement system accelerates soil densification during declining drainage capacity phases. Furthermore, parametric analyses by Anda et al.21 identified a critical interdependence between gas injection timing and AVP performance, with optimal outcomes achieved when initiating pressurization at 60% soil consolidation. Shi et al.22 observed that the boost pressure will attenuate along the radial direction of the soft soil. Feng et al.23 proposed a numerical model and indicated that ground settlement will increase with the smaller injection spacing or greater boost pressure.
Complementing experimental and computational approaches, theoretical frame-works provide critical insights into the consolidation of ground. Over the past thirty years, building upon vertical drain conceptual frameworks, substantial advancements have been achieved in modeling vacuum-assisted consolidation24,25,26. Indraratna and colleagues27 formulated closed-form solutions for analyzing radial consolidation in sand drain foundations, employing a fundamental assumption that vacuum pressure decreases linearly with increasing depth. Subsequent research by Rujikiatkamjorn and Indraratna28 developed analytical solutions for vacuum-assisted consolidation under combined radial-vertical flow conditions, adopting the simplified premise of uniform vacuum distribution within soils. Building upon these foundations, Guo et al.29 proposed a computational framework to characterize nonlinear consolidation phenomena in vacuum preloading systems, incorporating the time-dependent variations in both soil compressibility and hydraulic conductivity. Recent empirical evidence demonstrates that vacuum pressure exhibits dual dissipation patterns: linear reduction along vertical drainage paths and exponential decay in radial directions13,30. These findings necessitate the development of consolidation models that account for both vertical and radial vacuum dissipations.
Despite the effectiveness of AVP as a ground improvement technique, there is a scarcity of analytical theories regarding the consolidation behavior of AVP-improved ground. Shen et al.31 derived governing equations for the consolidation of multi-layered soil treated with AVP, considering equal vertical strain and ignoring vertical seepage. Nevertheless, the air-boosted pipes and PVDs are not described by a reasonable model, and the influence of the layouts of construction sites cannot be considered. Moreover, the reasonability for converting the high-pressurized gas injected from the air-boosted pipes to radial confining pressure remains to be verified. Peng et al.32 presented an approximate solution with the equivalent parameters based on Hansbo’s theory for consolidation of vertical drains. Through laboratory testing, empirical equations were established to describe the evolution of consolidation stress and permeability coefficient under boost pressure conditions. Furthermore, a novel analytical model for evaluating the consolidation behavior of soft ground improved by AVP was developed by Lu and Sun33. This model accounts for diverse spatial arrangements of air-boosted pipes and PVDs.
These aforementioned theoretical models have enriched the calculation methods for the consolidation of AVP-improved ground. However, existing models do not fully account for the simultaneous attenuation of boost pressure and vacuum pressure during consolidation, which is critical for accurate predictions in air-boosted systems. To address this issue, based on the assumption of equal volumetric strain and Darcy’s law, a new analytical model is established to provide critical insight into the consolidation behaviors of soft ground with AVP. Based on the principle of equal cross-sectional area, this model integrates a single air-boosted pipe and sur-rounding PVDs into the typical unit cell. The proposed model comprehensively incorporates the smear effect of PVDs, linear radial attenuation of boost pressure, vacuum loading process, and characteristics of vacuum pressure decreasing along the depth and radial direction. Then the governing equations and analytical solutions are obtained under the coupled radial-vertical seepage within soil. In addition, the current solution is degenerated to the existing solutions to verify the correctness of the proposed model. Further, a parametrical study is carried out to investigate the influence of various parameters on the consolidation characteristics of soft ground with AVP. A limitation section is also added to provide critical insights into improving the theoretical investigations on the consolidation performance of AVP-improved ground.
Establishment of the analytical model
Calculation model and schematic diagram
Field observations in Fig. 1 demonstrate that triangular and rectangular patterns predominantly characterize the spatial arrangement of air-boosted pipes and PVDs at construction sites of AVP. The analysis in this study focuses on a representative unit cell containing a centrally positioned air-boosted pipe, while PVDs are systematically arranged along the circumferential boundary. Following the methodology of Lu et al.34, these peripheral PVDs can be theoretically represented as continuous drainage boundaries with equivalent hydraulic conductivity. This configuration results in an outward migration of pore water through the soils during consolidation, driven by the combined action of boost pressure and vacuum pressure. In practical engineering ap-plications, the adopted PVDs typically exhibit minimal cross-sectional dimensions with proportionally enhanced perimeter-to-area ratios. Consequently, the cross-sectional area of peripheral PVDs has been excluded from mathematical modeling. The unit cell geometry under triangular and rectangular patterns corresponds to hexagonal and rectangular configurations, respectively.
Common distribution patterns of the air-boosted pipes and PVDs.
Moreover, in accordance with the unit cell division method described before, each PVD at the outer boundary will be shared by the typical unit cell and the adjacent unit cells. Each outer PVD is assigned a portion of area to the unit cell, and the area of all the PVDs is then combined into the cross-sectional area of one single PVD. For instance, as shown in Fig. 2, each PVD is distributed to the typical unit cell in a 120° sector, so the total area of the three sectors constitutes one PVD. The unit cell geometry under triangular and rectangular drainage patterns corresponds to hexagonal and rectangular configurations, respectively. As illustrated in Fig. 2, these polygonal geometries are computationally simplified into cylindrical domains through equal-area conversion criteria. This equivalence allows the radius of calculation unit cell Re to be mathematically expressed as:
where Ae is the area of the unit cell of ground, which is equal to \(\frac{\sqrt{3}}{2}\) l2 for triangular patterns and l2 for rectangular patterns when the spacing of two adjacent PVDs is l.
The typical unit cell for the consolidation of soft ground improved by AVP.
Figure 3 illustrates the schematic diagram of the analytical model for soil consolidation of AVP, which employs a combined radial-vertical coordinate system for spatial characterization. H is the thickness of soft soil of ground and rp is the radius of the air-boosted pipe at the centerline. The installation-induced smear zones surrounding outer PVDs are approximated as an adjacent annular region along the circumferential boundary. This idealization enables the derivation of the undisturbed soil zone radius through the following expression:
where rs denotes the radius of the undisturbed zone within the unit cell; Asd quantifies the area of smear zone resulting from the installation of individual PVD.
The schematic diagram of the analytical model.
Basic assumptions
The following assumptions are made to establish the analytical model for the consolidation of the ground improved by AVP:
-
(1)
Soil-PVD system hydraulic behavior adheres to Darcy’s law, with radial inflow into PVDs maintaining strict balance against vertical outflow across soils.
-
(2)
Soil parameters including compression modulus and permeability coefficient remain invariant throughout consolidation.
-
(3)
Saturated soil conditions prevail, where incompressible soil–water phase interactions dictate that deformation arises exclusively from pore water dissipation.
-
(4)
The loading process of vacuum pressure is considered35. Moreover, the vacuum pressure is assumed to attenuate linearly along the depth of PVDs and dissipate exponentially along the radial direction of soil13,30. Hence, the equation of the vacuum pressure at any point of the soil in the unit cell can be obtained:
where
where pvt(t) is the expression for the loading process of vacuum pressure over time, pvu is the maximum vacuum pressure, gv(t) is a function to describe the vacuum loading process; hv(z) is the expression to describe the variation of vacuum pressure with depth; wv(r) is the expression to describe the attenuation of vacuum pressure with the radius of the unit cell; λv1 and λv2 are the coefficients that indicate the attenuation of vacuum pressure with depth and radial direction, respectively. The values of λv1 and λv2 can be obtained through experimental studies, which are usually treated as a constant to simplify the calculation.
(5) Both the loading process and the linear attenuation along the radial direction of the boost pressure are taken into account, so the boost pressure can be expressed as follows:
where
where pbt(t) is the expression for the loading process of boost pressure over time, pbu denotes the maximum value of boost pressure, gb(t) is the temporal distribution function characterizing the loading process; wb(r) characterizes the radial attenuation profile of boost pressure; λb represents the dimensionless coefficient governing the linear decay of boost pressure.
(6) In the previous studies of vacuum consolidation theories of ground, it tends to assume that vertical drains and soil have the same vertical strain. Hence, the vertical strain is adopted to replace volumetric strain and ground deformation is one-dimensional. In practice, the air-boosted system is commonly activated at the late stage of consolidation. Therefore, there is no lateral pressure of soil when it is not activated, which can be equivalent to the conventional vacuum preloading stage. Then the equal vertical strain assumption is adopted under such a situation, so the volumetric strain rate is written as follows:
where Es is the elastic modulus of soil; εv is the volumetric strain of soil; εz is the vertical strain of ground; \(\bar{u}_{\mathrm{s}}\) is the excess pore pressure at any depth in the soil:
where us is the excess pore water pressure at any point in the soil.
However, high pressure gas is injected from the air-boosted pipes when the air-boosted system is activated, which will make the soil subjected to the pressure from horizontal direction. In this case, the assumption of equal vertical strain is no longer applicable. Hence, the assumption of equal volumetric strain will be adopted under the boost pressure in the subsequent derivation. Then the vertical compression modulus will be replaced by the volumetric compression modulus of soil during the calculation, so the volumetric strain rate of ground is calculated by
where \(\bar{p}_{\mathrm{b}}\left( t \right) \) is the average value of boost pressure in the unit cell; Ev is the volumetric compression modulus of soil:
where μ is the Poisson’s ratio of soft soil under drainage conditions.
Derivation of the control equations
The excess hydrostatic head at any point in the unit cell can be expressed from Eqs. (3) and (7):
where γw is the unit weight of water.
Deriving Eq. (14) with respect to r and then the hydraulic gradient in the radial direction ir can be written as follows:
The seepage velocity in the radial direction within soil vr can be obtained according to Eq. (15):
where kh and ks are the horizontal permeability coefficients of soil in the undisturbed zone and smear zone, respectively.
As demonstrated in the research of Tang and Onitsuka36, the fundamental governing equation describing consolidation behavior with coupled radial-vertical seepage can be derived through combination of Eq. (16):
where kv is vertical permeability coefficients of soil in the unit cell.
In order to solve the above equation, several radial boundary conditions are required. Above all, the excess pore water pressure of soil and PVDs are the same at the soil-PVD interface. Moreover, the interface between the soil and the air-boosted pipe is impermeable. Hence, the equations of the radial boundary conditions are expressed as below:
When Eq. (17) is integrated in terms of r and subsequently combined with Eq. (18), the following is obtained:
Substituting Eq. (20) into Eq. (16) yields:
By performing integration on Eq. (21) in relation to r and then making a combination with Eq. (19) yields:
Substituting Eq. (22) into Eq. (11) yields:
where
where n = Re/rp, s = rs/rp.
Integrating Eq. (7) with respect to r and then yields:
where
When Eqs. (12) and (26) are substituted into Eq. (23), the governing equation of this paper can be derived as follows:
where \(D=\frac{R_{\mathrm{e}}^{2}F_{\mathrm{c}}}{2}\frac{k_{\mathrm{v}}}{k_{\mathrm{h}}}\), \(E=\left( 1-2\mu \right) \frac{R_{\mathrm{e}}^{2}F_{\mathrm{c}}}{2}\frac{\gamma _{\mathrm{w}}}{k_{\mathrm{h}}E_{\mathrm{v}}}\).
Analytical solutions for the governing equations
The solutions of the governing equations
In this study, the equations of vertical boundary conditions and initial condition can be written as follows:
By taking into account the boundary conditions represented by Eqs. (29) and (30), it is assumed that the governing equation Eq. (28) can be solved in the subsequent form:
where \(M=\frac{2m-1}{2}\mathrm{\pi}\), m = 1, 2, 3….
Substituting Eq. (32) into initial condition Eq. (11) yields:
Referring to the method in the study of Lu et al.37, then the solution of Tm(t) can be obtained as follows:
where
Hence, the solution of excess pore pressure of soil can be written as follows:
Substituting Eq. (5) into Eq. (38) yields:
where
The average degree for the consolidation of AVP-assisted ground is defined as the ratio of the effective stress to the final total stress. Then it is obtained as below with a combination of Eq. (39):
where \(\Delta \overline{\sigma }^{\prime}{\kern 1pt} \left( \infty \right)\) is the final average effective stress increment of soil at depth z.
Detailed solutions for several special conditions
Building upon the general solutions that have been previously derived, the detailed solutions applicable to several specific conditions can be obtained as described below:
(1) When the vacuum pressure and boost pressure are loaded instantaneously, then the following expressions can be obtained:
Hence, the detailed solutions of excess pore pressure and average degree for the consolidation are as below:
(2) When the area of the construction site of ground treatment is large, the loading process of vacuum pressure should be considered. Referring to the study of Liu et al.38 and Tian et al.35, the exponential function is adopted to describe the loading process of vacuum pressure. Moreover, the loading process of boost pressure is considered as ramp loading. The loading schemes of vacuum pressure and boost pressure are plotted in Fig. 4, and then the following relations apply:
where av is the factor for the vacuum preloading.
The loading schemes of vacuum pressure and boost pressure.
The detailed solutions of excess pore pressure and average degree for the consolidation are obtained:
(3) As mentioned above, the air-boosted system is usually activated in the later stage of consolidation on the construction site. Therefore, it is assumed that the vacuum pressure is loaded instantaneously and boost pressure is applied instantaneously in the later stage. In this case, the following functions can be obtained
where t1 is the time that the air-boosted system is activated.
Substituting Eq. (48) into Eqs. (39) and (41) then yields:
where \(\eta _m=\frac{2}{R_{\mathrm{e}}^{2}F_{\mathrm{c}}}\frac{k_{\mathrm{h}}E_{\mathrm{s}}}{\gamma _{\mathrm{w}}}+\frac{k_{\mathrm{v}}E_{\mathrm{s}}}{\gamma _{\mathrm{w}}}\left( \frac{M}{H} \right) ^2\).
Verification of the analytical solutions
In general, the degradation analysis of analytical solutions is an effective way to verify the accuracy of analytical solutions, which is also a necessary component to prove the validity of the proposed analytical model. Hence, a degradation investigation is carried out in this section.
(1) Ignoring the attenuation of boost pressure with radial direction and vacuum pressure with radial and depth direction, and the boost pressure and vacuum pressure are considered to be applied instantaneously. Hence, gb(t) = 1, λb = 1, λv1 = 1, λv2 = 0. In this case, the following equations can be obtained:
Equations (51) and (52) are the same as the solutions derived by Lu and Sun33 without considering the well resistance of PVDs.
(2) Without considering the boost pressure and the radial attenuation of vacuum pressure, and it is assumed that vacuum pressure is applied instantaneously, then yields gb(t) = 0, λv2 = 0. Then the analytical solutions can be degenerated to:
It can be observed that Eqs. (53) and (54) are the same with the solutions derived by the study of Guo et al.26, which dealt with the vacuum consolidation of soft ground by considering the linear attenuation of vacuum pressure along the depth of PVDs.
(3) Moreover, without considering the attenuation of vacuum pressure along depth, then Eqs. (53) and (54) can be reduced to:
The degenerated solutions Eqs. (55) and (56) are the same with the analytical solutions of vacuum consolidation under instantaneously loading proposed by Rujikiat-kamjorn and Indraratna28. Moreover, as shown in Fig. 5, the curve plotted by the degenerated solution of current study fits well with the existing solution, which indirectly validates the reasonableness of the analytical model in this paper.
Comparison between the existing solution and the degenerated solution of current study.
In this section, the current analytical solutions can degenerate to the existing solutions under different conditions through the degradation study, which verifies the correctness of the proposed analytical model. Furthermore, the above degenerated solutions can be regarded as the special cases of the solutions obtained in this paper, which can enrich the subsequent research on the consolidation behavior of ground improved by AVP.
Parametric analysis of the consolidation behavior
The analytical solutions in this paper are used to carry out a parametric sensitivity analysis of the consolidation properties of ground treated by AVP. The radial time factor Th is adopted as the horizontal coordinate during the following comparative analysis:
The disparities in the predicted average degree of consolidation between the current model and the existing solutions are examined in Fig. 6. Guo et al.26 put forward a traditional analytical model for the vacuum consolidation of soft ground. In this model, although the linear attenuation of the vacuum pressure along the depth of PVDs was considered, while the well resistance of the PVDs was not taken into account. On the other hand, Lu and Sun33 developed a novel analytical model for the consolidation of AVP-improved ground, which failed to account for the attenuation of vacuum pressure and the boost pressure. As illustrated in Fig. 6, when compared with the curves of the conventional vacuum preloading presented by Guo et al.26, the implementation of AVP can significantly expedite the consolidation rate. Additionally, it is noticeable that when the attenuation of both vacuum pressure and boost pressure is factored in, the consolidation rate is decelerated.
Comparison between the current model and the existing analytical solutions.
Figure 7 demonstrates the impact of the attenuation coefficients of vacuum pressure, namely λv1 and λv2, on the rate of consolidation. As depicted in Fig. 7, for the ground improvement achieved through AVP, an increase in λv1 at a given time factor leads to an acceleration of the consolidation process. It is understandable that a higher value of λv1 implies a smaller degree of attenuation of the vacuum pressure along the depth. This, in turn, inevitably results in a more rapid consolidation rate as pore water is discharged. Furthermore, it is also evident from the figure that a greater value of λv2 has the effect of decelerating the consolidation process. Nevertheless, despite these observations, the changes in both λv1 and λv2 have a negligible influence on the overall consolidation behavior. In fact, this influence is so minimal that it can be disregarded during the calculation process without significantly affecting the accuracy of the results.
Curves of average degree of consolidation under different values of λv1 and λv2.
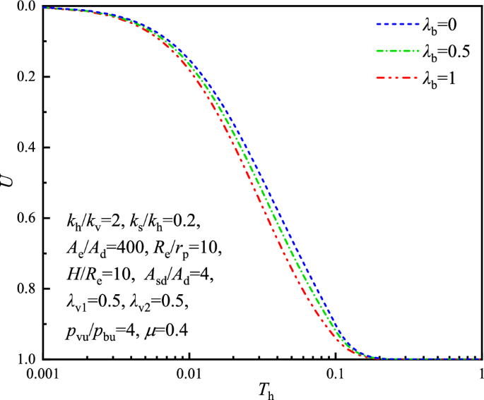
The linear radial attenuation of boost pressure is considered when establishing the current model for the consolidation of ground with AVP. Hence, the radial attenuation coefficient of boost pressure λb has an influence on the consolidation behavior. The influence of the different values of λb on the consolidation rate is shown in Fig. 8. It can be observed that the consolidation process is promoted with the increase of λb, and the consolidation rate increases by about 10% when the value of λb is increased from 0 to 1.
The influence of the different values of λb on the consolidation behavior.
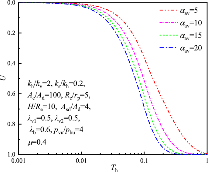
As shown in Fig. 4(a), the loading process of vacuum preloading can be described by an exponential function when the area of the construction site of ground treatment is large. Moreover, dimensionless parameter αav is obtained by dimensionless normalization of the vacuum loading factor av for the convenience of subsequent analysis: \(\alpha_{{{\text{av}}}} = {\kern 1pt} 4a_{{\text{v}}} {\kern 1pt} R_{e}^{2} \gamma_{{\text{w}}} /k_{{\text{h}}} E_{{\text{s}}}\). Figure 9 depicts the influence of the vacuum loading factor on the consolidation behavior of soft ground improved by AVP. It can be observed that the vacuum loading factor has a significant effect on the consolidation process. The consolidation can be remarkably accelerated with the increase of the value of αav. It is known that a larger value of αav represents the faster loading process, which indicates that improving the vacuum loading rate can definitely promote construction efficiency in practice.
Effect of the vacuum loading factor on the average degree of consolidation.
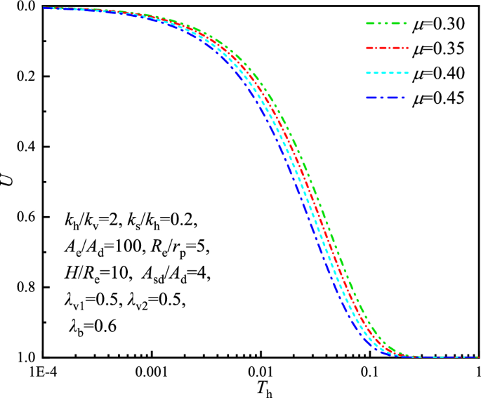
Air-boosted vacuum preloading is predominantly applied to the enhancement of soft ground. Notably, Poisson’s ratio exerts a substantial impact on the consolidation process of soft soil. Figure 10 investigates the variation of the average degree of consolidation under different values of Poisson’s ratios. It can be seen that the consolidation rate can be accelerated with the increase of Poisson’s ratio. Moreover, compared with the situation that μ is equal to 0.3, the consolidation rate is increased by 5%, 11%, and 19% when μ is equal to 0.35, 0.4, and 0.45 respectively. Furthermore, as the Poisson’s ratio increases, the spacing between the consolidation curves widens. This observation suggests that the effect of Poisson’s ratio on the consolidation behavior is not linear but rather exhibits a nonlinear characteristic.
The variation of the average degree of consolidation under different values of Poisson’s ratios.
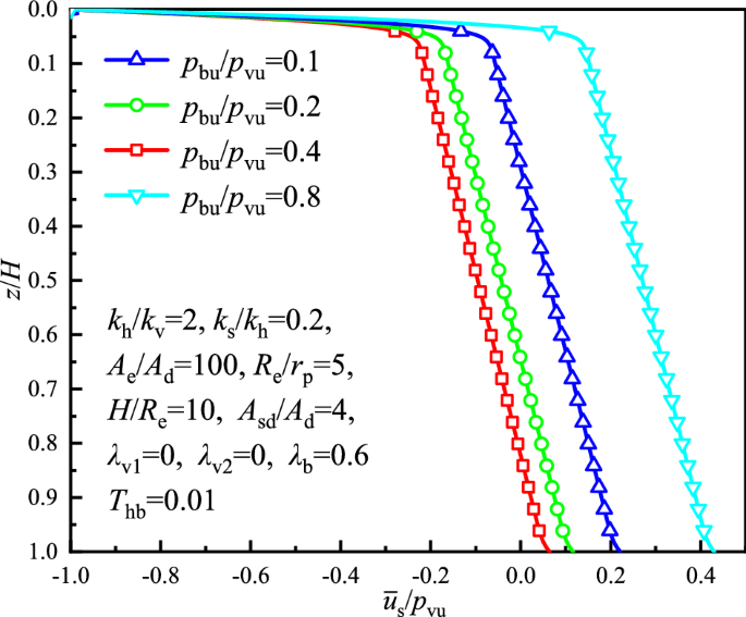
Figure 11 represents the distribution curves of the average excess pore water pressure of ground with depth under different values of boost pressure. It can be seen that the excess pore water pressure increases rapidly at the top surface of ground. Moreover, the excess pore water pressure in the depth of ground is obviously greater than that in the upper ground. As shown in Fig. 11, the excess pore water pressure will increase greatly with the increment of boost pressure at the same depth.
Distributions of average excess pore water pressure with depth under different values of boost pressure.
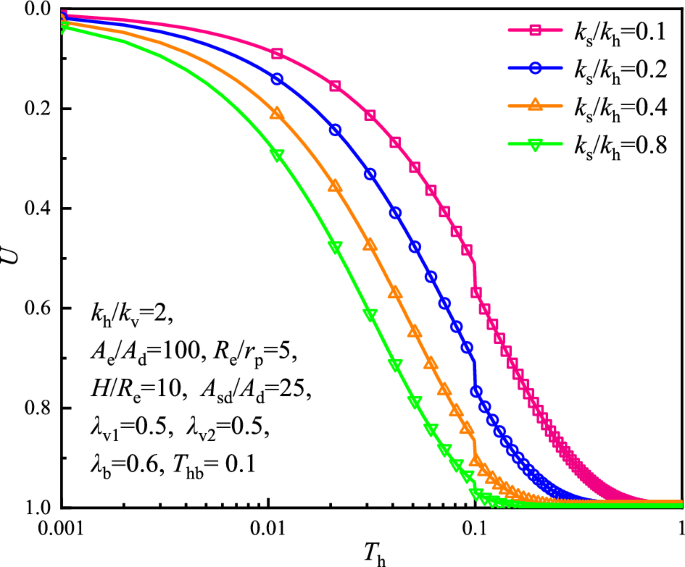
The installation of PVDs unavoidably induces a certain level of disturbance to the adjacent soil, thereby forming a smear zone around each individual PVD. Figure 12 depicts the impact of the smear effect of PVDs on the consolidation behavior. As can be seen, an increase in the horizontal permeability coefficient of the soil within the smear zone, ks, leads to a deceleration of the consolidation rate. Consequently, during engineering construction, efforts should be made to minimize the disturbance to the surrounding soil.
Influence of the smear effect of PVDs on the consolidation behavior.
Case study by a field test
A comparison is made with a field test to validate the reliability of the analytical model with or without the attenuation of vacuum and boost pressure39. Based on the Zhuhaixi Passenger Station project of the Guangzhou-Zhuhai Railway, Shen et al.39 conducted on-site experiments to investigate the differences between air-boosted vacuum preloading and conventional vacuum preloading. Notably, in the test area N3, a hexagonal arrangement of PVDs centered around the air-boosted pipe was employed, with PVDs spaced at 1 m intervals. The initial phase of the experiment involved pure vacuum preloading, followed by the application of 10 kPa boost pressure after 60 days of vacuum activation. The variation in surface settlement during the preloading process was subsequently converted into consolidation degree progression for comparative analysis with computational results derived from the methodology proposed in this study. Detailed calculation parameters used in the calculation are shown in Table 1 and comparative outcomes are presented in Fig. 13. As illustrated in Fig. 13, compared to field measurement, a marked overestimation of consolidation rate can be captured when neglecting the attenuation of vacuum and boost pressure. Remarkably, the consolidation degree calculated with the attenuation demonstrates great alignment with field measurement from the preloading test. This excellent agreement validates the practical effectiveness of the proposed methodology, which highlights the necessity of accounting for the attenuation of vacuum and boost pressure in practical engineering applications.
Comparison of consolidation settlement between the field measurement and current model.
Limitations
In this study, several assumptions are made and some factors are neglected to develop the analytical model for the consolidation of AVP-improved ground with linear radial attenuation of boost pressure, vacuum loading process, and characteristics of vacuum pressure decreasing along the depth and radial direction. Such a situation will impose some limitations on the proposed model. Above all, according to the existing studies on reinforcement mechanism of AVP, the pressurized gas injected from air-boosted pipes can create additional drainage paths to promote the discharge of pore water. Namely, the horizontal permeability coefficient of soft soil will increase when the air-boosted system is activated. However, it is difficult to determine the variation process of the soil permeability, either in engineering measurements or laboratory model tests, which is also ignored during the derivation in this paper. Such factors are also not considered in this paper, which is worth studying in the subsequent research. In consequence, further work is recommended in conjunction with field tests, it is of great importance to validate and improve the current method through comprehensive experiments and more extensive studies.
Conclusions
In view of the fact that the existing analytical theories for the consolidation with AVP are not well developed, a new analytical model is established by introducing both the air-boosted pipes and PVDs into the unit cell for analysis. The linear radial attenuation of boost pressure, the vacuum loading process, and the characteristics of vacuum pressure decreasing along the depth and radial direction are considered compressively. The governing equations are derived by taking the smear effect of PVDs into account, and the analytical solutions are then obtained under the coupled radial-vertical seepage within soil. The calculation results of the current model are discussed with the existing analytical solutions to prove the correctness of the derivation. The influence of various influencing factors on the consolidation properties of ground with AVP is further investigated. The following conclusions are withdrawn:
-
(1)
The proposed solutions in this paper can be reduced to the existing analytical solutions, which verify the reasonability of the current model. Compared with conventional vacuum preloading, the application of air-boosted vacuum preloading can remarkably accelerate the consolidation rate.
-
(2)
The consolidation behavior of ground can be insignificantly influenced by the attenuation coefficients of vacuum pressure λv1 and λv2. Moreover, the consolidation process will be promoted with the increment of the radial attenuation coefficient of boost pressure λb.
-
(3)
It is revealed that the loading rate of vacuum pressure has a significant effect on the consolidation rate of ground, and the increase of the value of αav can accelerate the drainage of excess pore water.
-
(4)
The consolidation characteristics of ground are affected by various factors. The consolidation process can be promoted with the increment of Poisson’s ratio, and the consolidation rate will be retarded when the value of ks is increasing.
Data availability
Some or all data, models, or code that support the findings of this study are available from the corresponding author upon reasonable request.
References
Chu, J., Yan, S. W. & Yang, H. Soil improvement by the vacuum preloading method for an oil storage station. Geotechnique 50(6), 625–632 (2000).
Sathananthan, I., Indraratna, B. & Rujikiatkamjorn, C. Evaluation of smear zone extent surrounding mandrel driven vertical drains using the cavity expansion theory. Int. J. Geomech. 8(6), 355–365 (2008).
Sun, L. et al. A pilot test on a membraneless vacuum preloading method. Geotext. Geomembr. 45(3), 142–148 (2017).
Indraratna, B., Rujikiatkamjorn, C., Baral, P. & Ameratunga, J. Performance of marine clay stabilised with vacuum pressure: Based on queensland experience. J. Rock Mech. & Geotechn. Eng. 11(3), 598–611 (2019).
Wang, J. et al. Improving consolidation of dredged slurry by vacuum preloading using prefabricated vertical drains (PVDs) with varying filter pore sizes. Can. Geotech. J. 57(2), 294–303 (2020).
Zhe, Li Shixin, Lv Lulu, Liu Jia, Guo Tong, Liu. Compressive Deformation Characteristics of Sintered Loess after Being Saturated with Water. Int. J. Geomech. 24(9) https://doi.org/10.1061/IJGNAI.GMENG-9828 (2024).
Kim, R., Hong, S. J., Lee, M. J. & Lee, W. Time dependent well resistance factor of PVD. Mar. Georesour. Geotechnol. 29(2), 131–144 (2011).
Lei, H., Lu, H., Liu, J. & Zheng, G. Experimental study of the clogging of dredger fills under vacuum preloading. Int. J. Geomech. 17(12), 04017117 (2017).
Sun, L. et al. Pilot tests on vacuum preloading method combined with short and long PVDs. Geotext. Geomembr. 46(2), 243–250 (2018).
Xu, B. H., He, N., Jiang, Y. B., Zhou, Y. Z. & Zhan, X. J. Experimental study on the clogging effect of dredged fill surrounding the PVD under vacuum preloading. Geotext. Geomembr. 48(5), 614–624 (2020).
Lulu, Liu Zhe, Li Guojun, Cai Xueyu, Geng Baosen, Dai. Performance and prediction of long-term settlement in road embankments constructed with recycled construction and demolition waste. Acta Geotechnica 17(9) 4069–4093. https://doi.org/10.1007/s11440-022-01473-0 (2022).
Chai, J. C., Carter, J. P. & Hayashi, S. Vacuum consolidation and its combination with embankment loading. Can. Geotech. J. 43(10), 985–996 (2006).
Peng, J., Xiong, X., Mahfouz, A. H. & Song, E. R. Vacuum preloading combined electroosmotic strengthening of ultra-soft soil. J. Central South Univ. 20(11), 3282–3295 (2013).
Wang, J. et al. Experimental study on a dredged fill ground improved by a two-stage vacuum preloading method. Soils Found. 58(3), 766–775 (2018).
Shen, Y. et al. A new approach to improve soft ground in a railway station applying air-boosted vacuum preloading. Geotechn. Test. J. https://doi.org/10.1520/GTJ20140106 (2015).
Cai, Y., Xie, Z., Wang, J., Wang, P. & Geng, X. New approach of vacuum preloading with booster prefabricated vertical drains (PVDs) to improve deep marine clay strata. Can. Geotech. J. 55(10), 1359–1371 (2018).
Lei, H., Qi, Z., Zhang, Z. & Zheng, G. New vacuum-preloading technique for ultrasoft-soil foundations using model tests. Int. J. Geomech. 17(9), 04017049 (2017).
Ke, S. et al. Effect of the pressurized duration on improving dredged slurry with air booster vacuum preloading. Mar. Georesour. Geotechnol. 38(8), 970–979 (2020).
Xie, Z. et al. Effect of pressurization positions on the consolidation of dredged slurry in air-booster vacuum preloading method. Mar. Georesour. Geotechnol. 38(1), 122–131 (2020).
Wang, J. et al. Improved vacuum preloading method for consolidation of dredged clay-slurry fill. J. Geotechn. & Geoenviron. Eng. 142(11), 06016012 (2016).
Anda, R. et al. Effects of pressurizing timing on air booster vacuum consolidation of dredged slurry. Geotext. Geomembr. 48(4), 491–503 (2020).
Shi, L., Hu, D., Cai, Y., Pan, X. & Sun, H. Preliminary study on real-time pore water pressure response and reinforcement mechanism of dredged slurry treated by air-booster vacuum preloading. Rock & Soil Mech. 41(1), 1–10 (2020) ((in Chinese)).
Feng, S., Lei, H. & Lin, C. Analysis of ground deformation development and settlement prediction by air-boosted vacuum preloading. J. Rock Mech. & Geotechn. Eng. 14(1), 272–288 (2022).
Mohamedelhassan, E. & Shang, J. Q. Vacuum and surcharge combined one-dimensional consolidation of clay soils. Can. Geotech. J. 39(5), 1126–1138 (2002).
Geng, X., Indraratna, B. & Rujikiatkamjorn, C. Analytical solutions for a single vertical drain with vacuum and time-dependent surcharge preloading in membrane and membraneless systems. Int. J. Geomech. 12(1), 27–42 (2012).
Guo, B., Gong, X., Lu, M., Zhang, F. & Fang, R. Analytical solution for consolidation of vertical drains by vacuum-surcharge preloading. Chin. J. Geotechn. Eng. 35(6), 1045–1054 (2013) ((in Chinese)).
Indraratna, B., Rujikiatkamjorn, C. & Sathananthan, I. Analytical and numerical solutions for a single vertical drain including the effects of vacuum preloading. Can. Geotech. J. 42(4), 994–1014 (2005).
Rujikiatkamjorn, C. & Indraratna, B. Analytical solutions and design curves for vacuum-assisted consolidation with both vertical and horizontal drainage. Can. Geotech. J. 44(2), 188–200 (2007).
Guo, X., Xie, K., Lu, M., Deng, Y. & Huang, T. Nonlinear analytical solution for consolidation of vertical drains by straight-line vacuum preloading method. J. Central South Univ. (Science and Technology) 49(2), 384–392 (2018) ((in Chinese)).
Wang, J., Ding, J., Wang, H. & Mou, C. Large-strain consolidation model considering radial transfer attenuation of vacuum pressure. Comput. Geotech. 122, 103498 (2020).
Shen, Y. et al. Consolidation theory of homogeneous multilayer treatment by air-boosted vacuum preloading. Eur. J. Environ. Civ. Eng. 26(12), 5634–5652 (2022).
Peng, W., Gu, B., Yang, H., Yang, X. & Yu, Z. Analysis method for consolidation of soil under vacuum preloading assisted by air booster. Mar. Georesour. Geotechnol. 40(11), 1397–1401 (2022).
Lu, M. & Sun, J. Analytical model for consolidation of soft ground improved by PVDs with air-boosted system. Comput. Geotech. 151, 104968 (2022).
Lu, M., Sloan, S. W., Indraratna, B., Jing, H. & Xie, K. A new analytical model for consolidation with multiple vertical drains. Int. J. Numer. Anal. Meth. Geomech. 40(11), 1623–1640 (2016).
Tian, Y., Wu, W., Mei, G., Jiang, G. & Liang, R. Analytical solutions for the consolidation of sludge by vacuum preloading. Chin. J. Geotechn. Eng. 41(8), 1481–1488 (2019) ((in Chinese)).
Tang, X. W. & Onitsuka, K. Consolidation by vertical drains under time-dependent loading. Int. J. Numer. Anal. Meth. Geomech. 24(9), 739–751 (2000).
Lu, M. M., Xie, K. H. & Guo, B. Consolidation theory for a composite foundation considering radial and vertical flows within the column and the variation of soil permeability within the disturbed soil zone. Can. Geotech. J. 47(2), 207–217 (2010).
Liu, S. J. et al. Nonlinear consolidation of vertical drains with coupled radial-vertical flow considering time and depth dependent vacuum pressure. Int. J. Numer. Anal. Meth. Geomech. 43(4), 767–780 (2019).
Shen, Y. P., Yu, J., Liu, H. & Li, Z. Experimental study on the effect of pressurized vacuum preloading treatment of station yard soft foundation. J. China Railw. Soc. 33(5), 97–103 (2011) ((in Chinese)).
Acknowledgements
This study is supported by the National Natural Science Foundation of China (42477209, 42302320); Henan Provincial Key Research Project in Higher Education Institutions (25A580010); Transportation Engineering (Henan Provincial Key Discipline), Huanghe Jiaotong University; which is gratefully acknowledged.
Funding
Henan Provincial Key Research Project in Higher Education Institutions, 25A580010, National Natural Science Foundation of China, 42477209.
Author information
Authors and Affiliations
Contributions
Conceptualization, G.W.L. and S.J.X.; methodology, H.L. and Z.Y.M.; software, S.J.X. and L.X.Y.; in-vestigation, G.W.L.; resources, G.W.L. and L.X.Y.; data curation, H.L.; writing—original draft preparation, G.W.L. and Z.Y.M.; writing—review and editing, S.J.X. and L.X.Y.
Corresponding author
Ethics declarations
Competing interests
The authors declare that they have no known competing financial interests or personal relationships that could have appeared to influence the work reported in this article.
Additional information
Publisher’s note
Springer Nature remains neutral with regard to jurisdictional claims in published maps and institutional affiliations.
Rights and permissions
Open Access This article is licensed under a Creative Commons Attribution-NonCommercial-NoDerivatives 4.0 International License, which permits any non-commercial use, sharing, distribution and reproduction in any medium or format, as long as you give appropriate credit to the original author(s) and the source, provide a link to the Creative Commons licence, and indicate if you modified the licensed material. You do not have permission under this licence to share adapted material derived from this article or parts of it. The images or other third party material in this article are included in the article’s Creative Commons licence, unless indicated otherwise in a credit line to the material. If material is not included in the article’s Creative Commons licence and your intended use is not permitted by statutory regulation or exceeds the permitted use, you will need to obtain permission directly from the copyright holder. To view a copy of this licence, visit http://creativecommons.org/licenses/by-nc-nd/4.0/.
About this article
Cite this article
Gao, W., Han, L., Zhao, Y. et al. Consolidation analysis of soft ground with air-boosted vacuum preloading considering attenuation of vacuum and boost pressure. Sci Rep 15, 23161 (2025). https://doi.org/10.1038/s41598-025-04243-6
Received:
Accepted:
Published:
Version of record:
DOI: https://doi.org/10.1038/s41598-025-04243-6















