Abstract
A borehole sidewall acoustic transmitter, specifically designed for openhole, introduces a unique approach to acoustic single-well reflection imaging logging, featuring transducers that directly contact the borehole’s sidewall, much like the SBT tool employed in cased hole applications. Utilizing a three-dimensional finite-difference algorithm, the study conducts a numerical simulation of acoustic reflection imaging logging with the transmitter, successfully acquiring acoustic field data from both the borehole and the surrounding rock formation. Analysis of the acoustic field in rock formation shows that the radiation characteristics of the transmitter in two different work modes resemble those of tubular monopole and cross-dipole sources, respectively. Observations of an array of waveforms in the borehole suggest that the transmitter plays a crucial role in reducing the direct waves; meanwhile, the reflections also diminish, yet the ratios of their amplitudes to those of the direct waves enhance, especially for the reflected P-waves. The findings suggest that the borehole sidewall transmitter can potentially improve the effectiveness of reflected P-wave imaging logging in future applications.
Similar content being viewed by others
Introduction
In acoustic logging, it is crucial to image fractures, faults, and caverns because these elements are essential for assessing reservoir thickness, stimulating fracturing, and estimating reserves. The single-well acoustic reflection imaging logging, which can detect information about geological anomalies dozens of meters (even more than one hundred meters) away from the borehole, has been developed for nearly 30 years and has been used in commercial research for over 10 years1. The findings accurately depict the geological structure with a resolution that exceeds seismic methods and a larger detection area compared to traditional logging techniques.
Progress in acoustic logging relies on improvements in acoustic transmitter design2. Transmitters used in open-hole applications with acoustic logging tools involve monopole, dipole, and phased array sources.
The development of a Borehole Acoustic Reflection Survey (BARS) prototype in 1998 involved three monopole sources and nine monopole receivers3. Imaging suffers from a lack of circumferential resolution, caused by the presence of axisymmetric transmitters and receivers. This leads to an inability to elucidate the structural trend of geological reflectors in rock formations. In Pistre4 introduced a new downhole tool, the unique azimuthal receiver array, which can characterize the 3D propagation of acoustic properties around the borehole in terms of radial, azimuthal, and axial variations, and it also enabled recording for acoustic imaging of reflector in the formation dozens of feet away from the borehole. Following this development, the concept of a ring receiver station featuring eight sensors, gained widespread acceptance, enabling the collection of comprehensive rock formation data, especially regarding reflected P-waves from multiple azimuths. The practicality of measuring azimuth was examined through several experiments, and it was found that the maximum amplitude of reflected P-waves can effectively determine the azimuthal angle of the reflector5,6,7,8,9. Analyzing azimuthal reflection variations allows researchers to define the profiles of small geological structures using data obtained from acoustic single-well imaging logging data10,11,12. Tang13 utilized dipoles as sources and receivers in acoustic logging to image near-borehole structures. The method employs cross-dipole sources to emit shear waves into the rock formations and utilizes the reflected shear waves to evaluate the geological fractures near the borehole. Subsequently, Baker Hughes launched the Deep Shear Wave Imaging (DSWI) service based on the downhole XMAC-F1 tool14. SH-waves reflectance can cause total reflection at the fluid–solid interface, resulting in a better SNR than monopoles, giving cross-dipole sources advantages. The shear-waves reflection survey is used extensively in practical applications15,16,17,18.
Phased array transmitters with azimuthal radiation characteristics were introduced by Che19,20,21,22 for single-well acoustic reflection imaging. The tool can emit and detect acoustic waves in specific directions using an eight-element phased accurate array, guaranteeing azimuthal resolution in borehole acoustic reflection imaging23,24. Nevertheless, in the same way as a monopole, phased array transmitters excite multiple mode waves in the borehole, easily suppressing the reflected waves from the geological structures. In addition, a parabolic-structured plasma transmitting source for downhole measurements was recently presented, with Hao25,26 conducting experimental research on its acoustoelectric properties and directional radiation. The research concentrated on the characteristics of directional radiation and how parabolic parameters affect the waves generated by the source. Nonetheless, the tool’s rotation can cause the focused wave beam by the source to align in the opposite direction of the structure, resulting in an extremely unfavorable condition for reflections.
Typically, the acoustic transmitters used in acoustic logging are positioned in the center of the borehole, while the acoustic method implemented on the borehole’s sidewall is a unique strategy that has been extensively applied in the development of oil and gas fields, particularly in cement bond evaluation in cased wells. For example, the Segmented Bond Tool (SBT) log tool uses an array of transmitter-receivers, mounted on six pads, to extract measurements of the cement bond in six 60° segments around the borehole27,28. In addition, by mounting the transmitters and receivers in contact with the casing wall through the use of pads, higher-quality logging data common to the standard mandrel-type tools can be obtained. By numerically simulating the full-wave waveforms of receiver transducers on a sidewall pad in the SBT tool, Zhang29 demonstrated the high sensitivity of SBT logs to the quality of the bond between casing and cement. Finite-difference numerical simulation and analysis on non-axisymmetric acoustic fields in a cased borehole was conducted by Chen30. The simulation results show that the existence of the sidewall pad with the source significantly suppresses the amplitude of flexural (asymmetric) Lamb waves in the casing pipe and the amplitude of extensional (symmetric) Lamb waves is relatively enhanced.
The monopole and dipole sources utilized in single-well reflection imaging logging are embedded within the tool and are accurately aligned in the central position of a borehole via downhole centralizers. Typically, the diameter of the sources does not exceed 10 cm, whereas the diameter of the wellbore is commonly around 20 cm. Therefore, the waves must pass through a significant layer of mud to enter the formation. A significant reflection of waves occurs at the wellbore due to the pronounced disparity in impedance between the mud and the surrounding formation. A small fraction of the acoustic energy penetrates the sidewall through refraction, creating P- and S-waves in the rock formation. However, studies are scarcely exploring the acoustics fields using a source implemented on those transducers mounted on the sidewall pads in an open hole. Finite-difference modeling of the wavefield by sidewall logging devices was conducted by He31, his results demonstrated that the existence of the logging tool body would substantially attenuate direct waves but has little effect on interface waves. The far-field asymptotic solutions to the wavefield excited by an eccentric point source in a fluid-filled borehole were calculated by Xu32,33. The results indicated that the disparity between the far-field wavefield generated by the eccentric and central point sources is significant at high frequencies. The impact of borehole diameter variability on dipole shear wave remote detection was theoretically studied by Deng34 in his dissertation. The findings indicated that as the well diameter decreases, the reflection initially declines before rising while keeping the source distance constant, but its relative intensity increases steadily. Particularly, the flexural waves are inhibited when the diameter of the small borehole is 0.04 m, resulting in the reflected shear waves having the same amplitudes as the waves. This work proposes a novel design for a downhole source by affixing transducers to the sidewall of the borehole rather than embedding them inside. This design ensures that the waves propagate directly into the surrounding formation, decreasing wave losses within the borehole and enhancing the reflections from geological reflectors.
Research principle and scheme
The illustration in Fig. 1 displays an acoustic source utilized for single-well acoustic reflection imaging measurement, with transducers being pushed by sidearms to reach the borehole’s sidewall. In downhole measurements, the transmitter sends out acoustic signals deep into the rock formation. Acoustic waves get reflected when they meet an impedance interface, and the receivers in the borehole capture the reflected waves.
Structure of a borehole sidewall acoustic transmitter
Pads with embedded transducers are mounted on the eight evenly spaced mechanical sidearms among a borehole sidewall transmitter, the eight transducers labeled S1-S8, as shown in Fig. 2. The sidearms are activated during operation to move the transducers toward the sidewall. Once the measurement is done, the sidearms are retracted to assist in the lifting and lowering of the logging tool. Closing the sidearms creates the conventional downhole acoustic transmitter, and opening the sidearms expands the diameter to 0.2 m, as a borehole sidewall transmitter.
The work modes of the transmitter, as monopole and cross-dipole, are depicted in Fig. 3. The monopole operates by having all transducers working in phase, creating a circular tube vibration, in Fig. 3a. For the cross-dipole operating mode, the transducers S3 and S7 are chosen to vibrate in opposite phases, with the rest of the transducers inactive, creating dipole vibration in the X direction; S1 and S5 are selected for vibration in the Y direction, as shown in Figs. 3b and c, respectively.
Calculation method and model
A three-dimensional finite-difference method is widely applied for modeling borehole acoustic fields in acoustic logging35,36. In a Cartesian coordinate, the formulation of the three-dimensional elastic wave equation, characterized by its velocity and stress components, is detailed as follows:
where Txx, Tyy, and Tzz are normal stresses in x, y, and z directions, Txy, Txz, and Tyz are shear stresses in the planes of xy, xz, and yz, gxx, gyy, and gzz are acoustic source terms in the x, y, and z directions, vx, vy, and vz are particle velocity components in the x, y, and z directions, λ and μ are Lame constants, ρ is density.
The locations of the nine components in the coordinate are depicted in Fig. 4, showcasing their unique spatial distributions, especially in the areas where Txx, Tyy, and Tzz overlap. Equations (1), (2), and (3) are partial differential equations. To simplify the computation process, one can employ differential calculus rather than relying on partial differential calculus. The dimensions of a unit within the staggered grids are defined as Δx × Δy × Δz, and as depicted in Fig. 4, one-eighth of this unit is shown, with Txx, Tyy, and Tzz located at the unit’s center. A necessary condition for iteration convergence in finite-difference calculation is
where cmax and cmin are the maximum value and minimum value of velocity in the calculation model, respectively; am are the coefficients of the finite-difference; N is defined as a variable that takes on a value equal to half of the spatial order of the finite-difference; fmax is the maximum frequency of the source; Δt is the time step.
Employing the three-dimensional finite-difference algorithm, we analyze the acoustic fields created by the transmitter in the borehole. As shown in Fig. 5, the size of the calculation model is 5.5 m × 2.5 m × 7.0 m, with a staggered grid size of 0.5 cm × 0.5 cm × 1.0 cm. Located at (1.25 m, 1.25 m, and 0.5 m), the transmitter employs a Ricker wavelet as its source, characterized by a central frequency of 10 kHz for monopole mode and 3 kHz for cross-dipole mode. The closest receiver is 5.0 m away from the transmitter, with the adjacent receiver 0.15 m away. It should be noted that the cased-hole sidewall acoustic logging numerical model resembles the SBT tool, featuring several pads that are evenly distributed and in contact with the inner casing wall. Each pad contains a pair of small transducers, one designated for transmission and the other for reception. Conversely, in single-well reflection imaging logging, the receivers are positioned at a considerable distance from the sources, which is intended to enhance the offset for capturing reflected waves from far geological targets. The fluid-filled borehole is surrounded by Formation 1, and the interface of Formations 1 and 2 is parallel to the borehole, at 4.0 m, illustrated in Table 1. The choice of heavy mud as the tool’s filling material is made considering the tool’s impact on the acoustics fields37,38,39, with the tool’s outer diameter being 0.08 m and the borehole diameter being 0.20 m. Eight groups of receivers, designated R1 through R8, each consist of four transducers that can independently capture signals. To further explore the horizontally remote distribution of the acoustic fields from the borehole sidewall transmitter, 35 fictional receivers were deployed in Formation 1. Those receivers start from the Y-axis and are evenly distributed clockwise over a circle whose center coincides with the transmitter’s center and has a radius of 1.0 m.
Acoustic waves emitted by the borehole sidewall transmitter
Directed waves by the borehole sidewall transmitter
The 35 traces of waveforms distributed along the circumference are recorded by the receivers in Formation 1. Consistency is observed in the amplitude and phase of each waveform in the monopole mode shown in Fig. 6a. Accordingly, the transmitter can serve as an alternative to the tubular monopole for downhole tools. For the cross-dipole mode of the transmitter, the waveforms of dipole X in Formation 1 are depicted in Fig. 6b, clearly indicating that the wavefield is propagation along the Y-axis; Fig. 6c shows the results of dipole Y, and the distribution is opposite to the former. Those results show that the acoustic transmitter can also be used for single-well S-waves imaging surveys.
Calculations are conducted for the waveforms to assess the acoustic fields in the borehole generated by the transmitter. Figure 7a illustrates eight distinct waveform traces, with the segment between 1 and 2 ms magnified to enhance clarity. The P- and S-waves show weak amplitudes and early arrivals, in contrast to the Stoneley waves. In Fig. 7b, the red lines are the waveforms of the transmitter, and the gray lines are the waveforms of the conventional tubular monopole. The comparisons reveal that the amplitudes of the direct waves generated by the transmitter, including P-, S-, and Stoneley waves, are considerably reduced. The transmitter operates in direct contact with the borehole, allowing for the exclusion of sidewall reflection and refraction. This ensures that more acoustic energy enters the formation, reducing acoustic energy retention around the borehole.
Figure 8 illustrates the flexural waves that arise from two kinds of sources in dipole Y, with the results of the transmitter represented by the red line and the conventional dipole sources represented by the gray line. Hence, it is evident that the flexural waves in the borehole also decrease when the transmitter is in dipole mode.
Reflected waves by the borehole sidewall transmitter
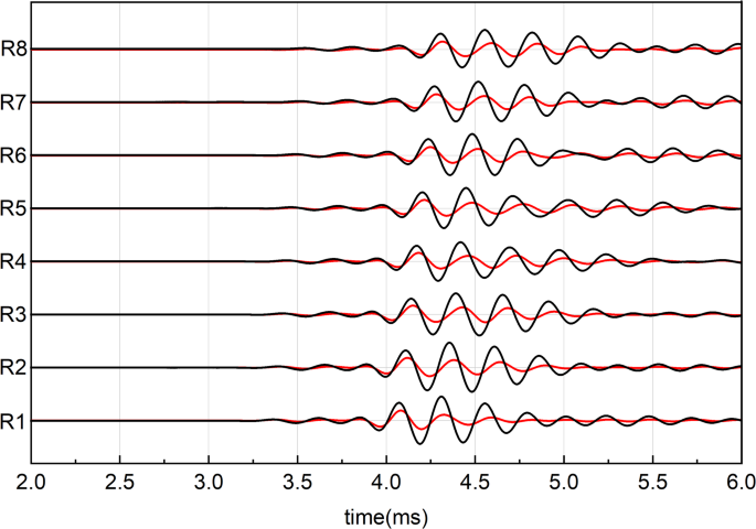
The reflection data induced by the two kinds of monopole sources are depicted in Fig. 9, with the red line indicating the reflections from the transmitter, and the black line indicating the reflections from the typical monopole. Obviously, the actual amplitude of the reflections produced by the transmitter is inferior to that of the typical monopole source. Different reflected waves in reflections can be recognized based on their first arrivals. Initially, the PP-waves arrive, followed by the PS-waves and SP-waves, with the SS-waves arriving last.
The relative values of reflections’ amplitudes are more crucial when compared to the absolute values, given the significant difference in the wavefields produced by the two sources. The amplitude values of P-waves in Fig. 7b and PP-waves in Fig. 9 are both tallied, and the amplitude ratios of the reflections to the direct waves are calculated. These findings are detailed in Table 2. On average, the amplitudes of direct P-waves generated by the transmitter are only 5% of those from a typical monopole, as indicated by receivers R1–R8, demonstrating a significant decrease in the direct waves when the transmitter is close to the borehole’s sidewall. Nevertheless, reflected P-waves by the transmitter exhibit a slower reduction of wave amplitudes. The sidewall transmitter exhibits a significant increase in the ratios of amplitudes of reflected P-waves to direct P-waves, with an average value of 10.04. The value is approximately 5 times higher than the corresponding value of 1.88 observed with a monopole. This difference highlights a noticeable improvement in the single-well reflections.
The typical strategy for single-well imaging incorporates cross-dipole sources, which demand a simulation of the SH-waves reflections by the transmitter. The reflection data induced by the two kinds of sources in the Y direction are depicted in Fig. 10, with the red line indicating the reflections from the transmitter and the black line indicating the reflections from the typical dipole. The amplitudes of the reflections are inferior to those of the typical dipole source.
The amplitude values of flexural waves in Fig. 8 and reflected SH-waves in Fig. 10 are both tallied, and their ratios are obtained in Table 3. The flexural waves produced by the transmitter exhibit amplitudes approximately one-third of those generated by the standard dipoles. Correspondingly, the pattern observed in the reflected SH-waves from both sources remains consistent. In the context of the ratios of amplitudes, the front column exhibits an average of 0.88, whereas the back column shows an average of 0.66, suggesting that the relative enhancement of the SH-wave reflections is not significant when the transmitter functions in dipole mode.
Discussion
It is commonly accepted that these reflections act as weak signals for single-well reflection imaging logging. Consequently, a crucial factor in designing the downhole source involves minimizing the limitations imposed by the borehole on the acoustic propagation and enhancing the acoustic energy that penetrates the rock formation. It is important to note that the conventional downhole transducers do not touch the rock in a fluid-filled borehole; instead, the transmitter’s vibrations propagate through the mud. A reasonable assumption is that the transmitter contacts the borehole’s sidewall directly, instead of being surrounded by mud, facilitating the transmission of acoustic waves. Simulation results validate this assumption, particularly in the context of reflected P-waves imaging. However, due to the distinctive low-frequency bending vibration, the dipole source can better ignore the effects of the borehole, which leads to the sidewall transmitter exerting little impact on the operation of reflected S-waves imaging. The casing utilized in a cased well is made up of a tube with a smooth inner surface, while the diameter of an open-hole well often varies, resulting in a non-zero distance between the transducer and the sidewall. Thus, completely negating the effects of the mud is notably difficult in the single-well reflection imaging logging. Moreover, in contrast to traditional downhole sources, the transmitter necessitates reconfiguring the tool frame and the sensing circuitry, resulting in a more complicated design and a higher cost. Furtherly, confirming the effectiveness of a borehole sidewall transmitter is crucial by executing a prototype test and carrying out physical simulations.
Conclusions
This study introduces a borehole sidewall transmitter for single-well reflection imaging logging, and the acoustic fields emitted by the transmitter are numerically simulated and analyzed. An eight-transducer borehole sidewall transmitter features individual pads for each transducer, allowing for independent control of each unit. As a result, these transducers are capable of making direct contact with the borehole’s sidewall during their operation in an openhole, much like the SBT tool operates within a cased hole. The acoustic field in a rock formation allows for the assessment of the radiation directivity of the transmitter, revealing its capacity to imitate the characteristics of tubular monopole and cross-dipole sources. Analysis of the full waveforms from an array of borehole receivers reveals that the transmitter emits weaker direct waves than those produced by standard downhole sources; the P-wave amplitudes decrease to 4.7% while the flexural waves diminish to 30.0%, respectively. It is important to highlight that the amplitudes of the reflections are also lessening, but their relative amplitudes which indicate the amplitude ratios of reflections to direct waves, are increasing; the values of the reflected P-waves increase to 5.3 times while the reflected SH-waves increase to 1.3 times, respectively. The increase in relative amplitude for the former is significantly higher than that of the latter, which suggests that the transmitter is probably effective in the reflected P-waves imaging logging. The study findings illustrate the benefits of utilizing a borehole sidewall transmitter in single-well reflection imaging surveys, offering a theoretical foundation for developing downhole source designs.
Data availability
Our raw data has been submitted in a supplementary file.
References
Dong, J. et al. Overview and development of acoustic far detection technology. Prog. in Geophys. 35, 566–572 (2020).
Qiao, W., Ju, X., Che, X. & Lu, J. Transducers and acoustic well logging technology. Physics 40, 99–106 (2011).
Esmersoy, C. et al. Acoustic imaging of reservoir structure from a horizontal well. Lead Edge 17, 940–946. https://doi.org/10.1190/1.1438075 (1998).
Pistre, V., Kinoshita, T., Endo, T., Schilling, K. & Pabon, J. A modular wireline sonic tool for measurements of 3D (azimuthal, radial, and axial) formation acoustic properties. In: Proceedings of the SPWLA 46th Annual Logging Symposium (SPWLA, New Orleans, USA, 2005).
Ben, J. et al. Field validation of imaging an adjacent borehole using scattered P-waves. Pet. Sci. 17, 1272–1280. https://doi.org/10.1007/s12182-020-00475-5 (2020).
Ben, J. et al. Experimental simulation of obtaining the reflector azimuth using azimuthal acoustic reflection tool in the underwater environment. J. Petrol. Sci. Eng. 195, 107649. https://doi.org/10.1016/j.petrol.2020.107649 (2020).
Zhao, T., Che, X., Qiao, W. & Yang, B. Field application of near-borehole fracture acoustic imaging using a three-dimensional scanning inversion method. Geoenergy Sci. Eng. 240, 213070. https://doi.org/10.1016/j.geoen.2024.213070 (2024).
Zhao, T., Che, X. & Qiao, W. Experimental study on identifying anomaly azimuth based on acoustic vector array of borehole acoustic reflection imaging. Geophysics 89, D343–D356. https://doi.org/10.1190/geo2023-0777.1 (2024).
Su, Y. et al. Azimuthal reflected P-wave imaging: Theory, experiment and field application. Chin. J. Geophys. 67, 630–640. https://doi.org/10.6038/cjg2023R0249 (2024).
Ben, J. et al. Application of near-borehole geologic reflector evaluation using azimuthal acoustic reflection imaging logging. Well Logging Techno. 45, 23–29 (2021).
Xu, H. et al. Imaging small geological structure in coal mines based on reflected acoustic logging of underground cross-seam boreholes. Geoenergy Sci. Eng. 234, 212675. https://doi.org/10.1016/j.geoen.2024.212675 (2024).
Zhao, T., Che, X. & Qiao, W. Azimuth estimation method for borehole acoustic reflection imaging using an acoustic vector array. IEEE T. Geosci. Remote 62, 5928210. https://doi.org/10.1109/TGRS.2024.3462435 (2024).
Tang, X. Imaging near-borehole structure using directional acoustic-wave measurement. Geophysics 69, 1378–1386. https://doi.org/10.1190/1.1836812 (2004).
Tang, X. & Patterson, D. Single-well S-wave imaging using multicomponent dipole acoustic-log data. Geophysics 74, WCA211–WCA223. https://doi.org/10.1190/1.3227150 (2009).
Hirabayashi, N. Beamform processing for sonic imaging using monopole and dipole sources. Geophysics 86, D1–D14. https://doi.org/10.1190/geo2020-0235.1 (2020).
Chen, D., Zhang, C., Guan, W. & Wang, J. Near-borehole formation acoustic logging imaging: A full waveform inversion algorithm in cylindrical coordinates. IEEE T. Geosci. Remote 61, 4506414. https://doi.org/10.1109/TGRS.2023.3312270 (2023).
Tang, W., Tan, M., Cao, H. & Wu, Q. Numerical simulation and characteristic analysis of remote detection acoustic reflection imaging logging of near-borehole fracture and vuggy reservoirs. IEEE T. Geosci. Remote 62, 5900912. https://doi.org/10.1109/TGRS.2023.3338856 (2024).
Zhang, M. et al. Response characteristics of acoustic reflection imaging logging of fractures and formation interfaces outside horizontal wells in tight reservoirs. Chin. J. Geophys. 67, 2439–2454. https://doi.org/10.6038/cjg2024R0399 (2024).
Che, X. & Qiao, W. Numerical simulation of an acoustic field generated by a phased arc array in a fluid-filled borehole. Pet. Sci. 6, 225–229. https://doi.org/10.1007/s12182-009-0036-6 (2009).
Che, X., Qiao, W., Ju, X., Lu, J. & Wu, J. An experimental study on azimuthal reception characteristics of acoustic well-logging transducers based on phased-arc arrays. Geophysics 79, D197–D204. https://doi.org/10.1190/geo2013-0334.1 (2014).
Che, X. et al. Experimental study of the azimuthal performance of 3D acoustic transmitter stations. Petrol. Sci. 13, 52–63. https://doi.org/10.1007/s12182-015-0073-2 (2016).
Che, X., Qiao, W. & Ju, X. Experimental study on the performance of an azimuthal acoustic receiver sonde for a downhole tool. Geophys. Prospec. 65, 158–169. https://doi.org/10.1111/1365-2478.12401 (2017).
Lu, J., Men, B. & Che, X. Experimental study on the azimuthal-transmitting transducer of acoustic logging. Sensors 23, 3247. https://doi.org/10.3390/s23063247 (2023).
Lu, J., Men, B. & Che, X. Experimental study on the receiving piezoelectric vibrator of azimuthal acoustic logging. J. Geophys. Eng. 20, 508–520. https://doi.org/10.1093/jge/gxad026 (2023).
Hao, X., Zhou, J., Wang, Z. & Zhang, Y.. Investigation on the Application of Parabolic Reflector in Plasma Logging Source. In: Proceedings of 2021 3rd International Conference on Intelligent Control, Measurement and Signal Processing and Intelligent Oil Field (ICMSP, Xi’an, China, 2021).
Hao, X. et al. A plasma transmitting source for borehole acoustic reflection imaging. Sensors 22, 8050. https://doi.org/10.3390/s22208050 (2022).
Tyndall, J. Segmented Bond Tool-A New Generation Cement Bond Logging Device. In: Proceedings of Annual Technical Meeting (SPE, Calgary, 1990).
Pilkington, P. Cement evaluation past, present, and future. J. Pet. Technol. 44, 132–140. https://doi.org/10.2118/20314-PA (1992).
Zhang, X., Sun, J. & Chen, X. Numerical simulation of the logging response of segmented bond tool (SBT). Well Logging Techno. 28, 515–517 (2004).
Chen, X. et al. Finite-difference numerical simulation and analysis on nonaxisymmetric acoustic fields in cased borehole. Chin. J. Geophys. 58, 318–326. https://doi.org/10.6038/cjg20150129 (2015).
He, F., Tao, G. & Wang, X. Finite difference modeling of the acoustic field by side wall logging devices. Chin. J. Geophys. 49, 923–928. https://doi.org/10.1002/cjg2.898 (2006).
Xu, J. & Hu, H. Study on the radiation and reception of the wave field in a single-well imaging system with an eccentric source. Chin. J. Geophys. 63, 3545–3561. https://doi.org/10.6038/cjg2020N0015 (2020).
Xu, J., Hu, H. & Han, B. A simple method for fast simulation of total reflection waves of single-well imaging with eccentric tools. J. Geophys. Eng. 20, 581–599. https://doi.org/10.1093/jge/gxad034 (2023).
Deng, C. Research on Three-dimensional Numerical Modeling and Imaging Method of Single-well Acoustic Reflection Imaging Logging. PhD Thesis (China University of Geosciences, 2019).
Liu, Q. et al. A three-dimensional finite difference simulation of sonic logging. J. Acoust. Soc. Am. 100, 72–79. https://doi.org/10.1121/1.415869 (1996).
Lin, W., Wang, X. & Zhang, H. Acoustic wave propagation in borehole penetrating an inclined layered formation. Chin. J. Geophys. 49, 284–294. https://doi.org/10.1002/cjg2.831 (2006).
Su, Y., Tang, X., Hei, C. & Zhuang, C. An equivalent-tool theory for acoustic logging and applications. Appl. Geophys. 8, 69–78. https://doi.org/10.1007/s11770-011-0272-6 (2011).
Zhao, Q., Che, X., Zuo, C. & Qiao, W. Measurement resolution of acoustic reflection imaging logging with a cylindrical phased array acoustic receiver station. J. Petrol. Sci. Eng. 219, 111073. https://doi.org/10.1016/j.petrol.2022.111073 (2022).
Zhao, T., Che, X., Qiao, W. & Cheng, L. Numerical simulation of borehole 3D scanning acoustic imaging using scattered waves. J. Petrol. Sci. Eng. 220, 111205. https://doi.org/10.1016/j.petrol.2022.111205 (2023).
Acknowledgements
This research was funded by the Major Science and Technology Projects of Lanzhou Resources & Environment Voc-Tech University, grant number X2022ZD-03; the Young Doctoral Fund Project of Higher Education Institutions in Gansu Province in 2022, grant number 2022QB-204; the Lanzhou Science and Technology Project (No. 2024-3-29) and the Yellow River Basin Ecological Conservation Pre-Research Project (No. 2025LZHLSY-06).
Author information
Authors and Affiliations
Contributions
Conceptualization, Ben, J.; methodology, Ben, J.; software, Zhang, H.; validation, Ben, J.; formal analysis, Ben, J.; investigation, Ben, J.; resources, Ben, J.; data curation, Ben, J.; writing—original draft preparation, Ben, J., Zhang, H. & Chen, L.; writing—review and editing, Ben, J., Zhang, H. & Chen, L.; visualization, Ben, J.; supervision, Ben, J.; project administration, Ben, J.; funding acquisition, Ben, J. All authors have read and agreed to the published version of the manuscript.
Corresponding author
Ethics declarations
Competing interests
The authors declare no competing interests.
Additional information
Publisher’s note
Springer Nature remains neutral with regard to jurisdictional claims in published maps and institutional affiliations.
Supplementary Information
Rights and permissions
Open Access This article is licensed under a Creative Commons Attribution-NonCommercial-NoDerivatives 4.0 International License, which permits any non-commercial use, sharing, distribution and reproduction in any medium or format, as long as you give appropriate credit to the original author(s) and the source, provide a link to the Creative Commons licence, and indicate if you modified the licensed material. You do not have permission under this licence to share adapted material derived from this article or parts of it. The images or other third party material in this article are included in the article’s Creative Commons licence, unless indicated otherwise in a credit line to the material. If material is not included in the article’s Creative Commons licence and your intended use is not permitted by statutory regulation or exceeds the permitted use, you will need to obtain permission directly from the copyright holder. To view a copy of this licence, visit http://creativecommons.org/licenses/by-nc-nd/4.0/.
About this article
Cite this article
Ben, J., Zhang, H. & Chen, L. Numerical simulation of a borehole sidewall acoustic transmitter for single-well reflection imaging logging用于单井反射成像测井的井眼侧壁声发射器的数值模拟. Sci Rep 15, 22389 (2025). https://doi.org/10.1038/s41598-025-04412-7
Received:
Accepted:
Published:
Version of record:
DOI: https://doi.org/10.1038/s41598-025-04412-7












