Fig. 6
From: Direct printing of metal oxide nanostructures for wearable electrochemical sensing

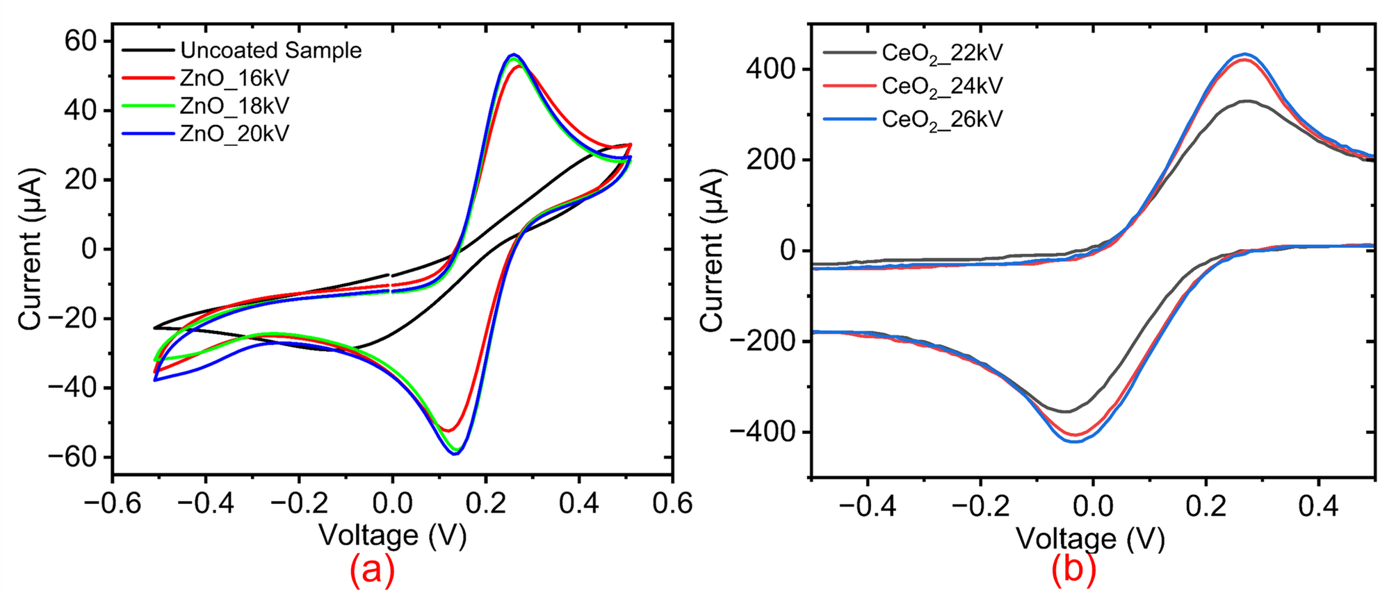
(a) Cyclic voltammograms of ZnO deposited SPE electrodes under various plasma voltages of 16 kV, 18 kV, and 20 kV, recorded in 5 mM Potassium Ferricyanide electrolyte with 0.1 M KCl, (b) Cyclic voltammograms of CeO2 deposited SPE electrodes under various plasma voltages of 22 kV, 24 kV, and 26 kV, recorded in 15 mM Potassium Ferricyanide electrolyte.