Fig. 7
From: Direct printing of metal oxide nanostructures for wearable electrochemical sensing

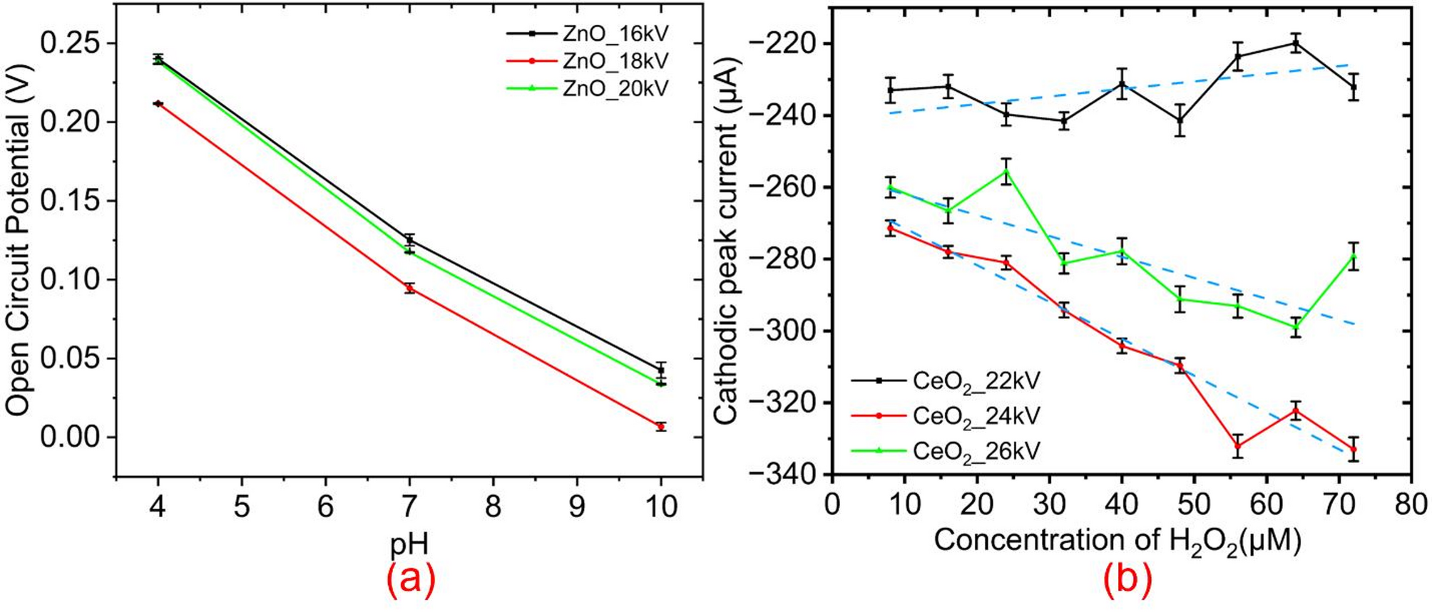
(a) Open Circuit Potential (OCP) measurements of ZnO-modified electrodes printed with different plasma voltage recorded in standard pH buffer solutions (pH 4, pH 7, and pH 10.1), (b) Cathodic current response of CeO2-modified electrodes at different plasma voltages in the presence of varying H2O2 concentrations.