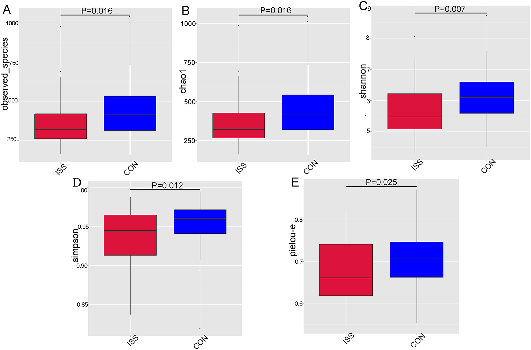
Fig. 1

Box plot of inter group differences in alpha diversity index. The horizontal axis of the box chart represents grouping, and the vertical axis represents the corresponding alpha diversity value. (A) Observed species (a measure of species richness), (B) Chao 1 (a measure of species richness), (C) Shannon index, (D) Simpson index, (E) Pielou-e index.