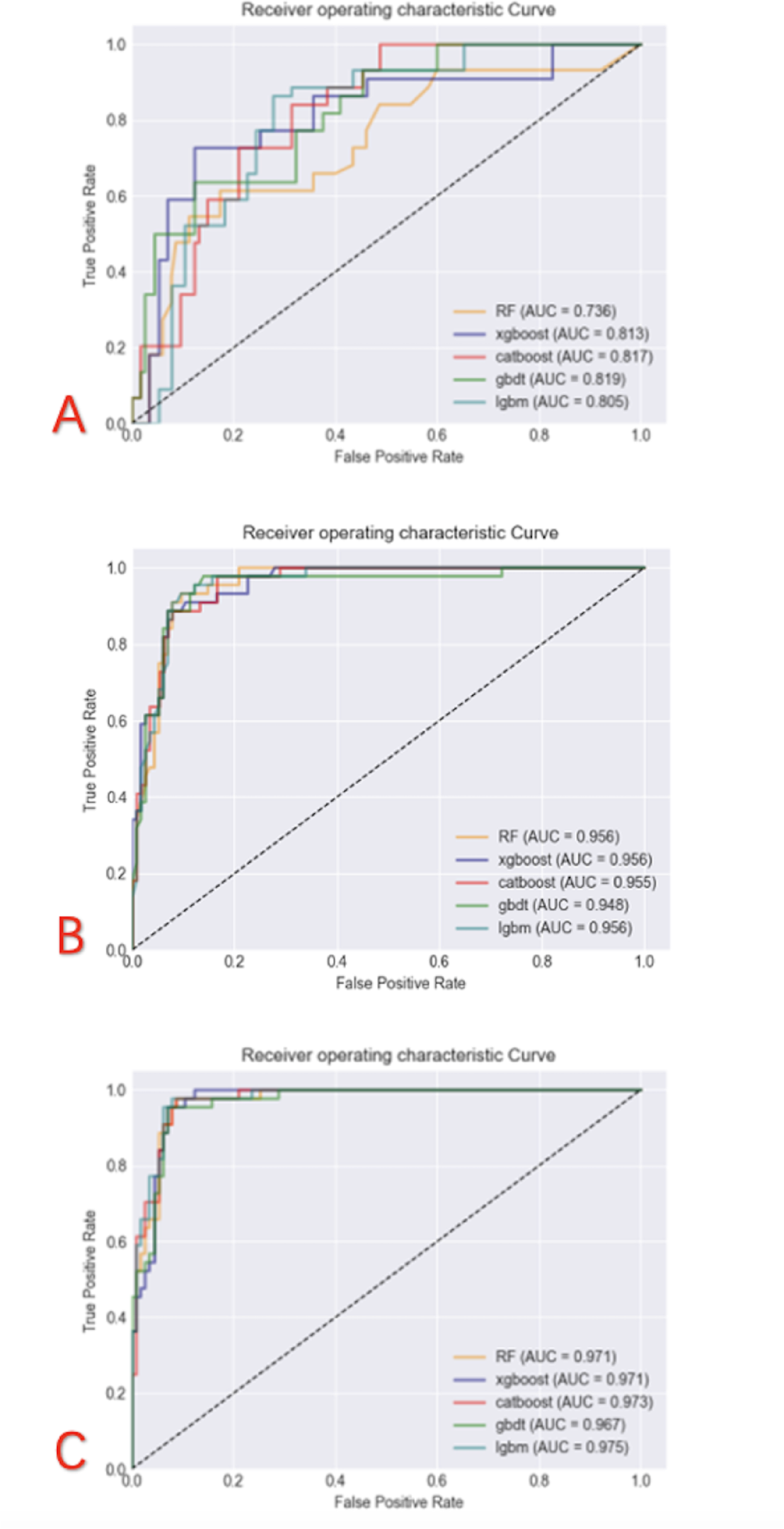
Fig. 4

The ROC curve was used to compare the discriminative performance of the clinical, radiomics and combined models constructed by the five classifiers respectively in predicting contralateral central lymph node metastasis of uPTC. The analysis included a retrospective cohort of 329 patients, with the combined model (clinical and radiomics features) achieving the highest AUC. (A) Clinical models (B) Radiomics models (C) Combined models.