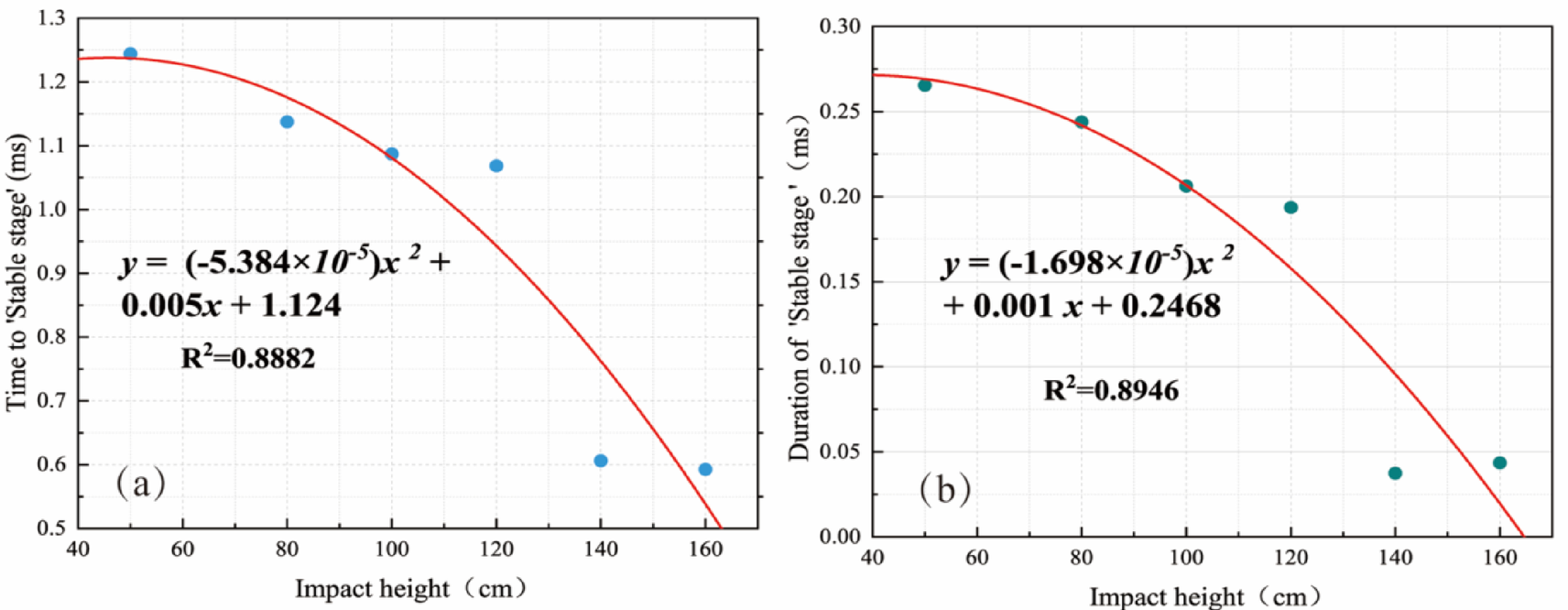
Fig. 5

(a) The relationship between impact height and time to stable stage. (b) The relationship between impact height and duration of stable stage.

(a) The relationship between impact height and time to stable stage. (b) The relationship between impact height and duration of stable stage.