Abstract
To address the critical challenges in characterizing the dynamic responses and identifying the instability precursors of sandstone under repetitive impacts, this study establishes a comprehensive experimental framework. Multi-gradient cyclic impact testing (50–160 cm drop heights) was implemented to simultaneously monitor the dynamic mechanical responses and acoustic emission (AE) signals. Through an integrated analysis of the impact mechanical parameters, power-law statistics of the AE absolute energy, damage stage classification, and b-value/S-value correlation, we reveal the intrinsic relationship between the impact rate, damage progression, and instability precursors. The experimental results demonstrate the following: (1) exponential relationships exist between the impact height and both the peak impact force and time-to-peak in sandstone; (2) under moderate strain rates, the absolute energy probability density of acoustic emissions follows a power-law distribution, with the power-law index correlating with the impact height under equivalent impact cycles; (3) damage evolution manifests through three characteristic stages, showing a negative linear correlation between the bmin values and impact rate; and (4) damage instability exhibits coupled precursors featuring a synchronous b-value surge and S-value collapse. The developed b–S dual-parameter criterion enables precise identification of damage acceleration thresholds. These findings provide new laboratory evidence for dynamic disaster monitoring in rock engineering applications.
Similar content being viewed by others
Introduction
In rock engineering practice, cyclic impact loading induced by tunneling and blasting operations (including vehicular dynamics, mechanical vibrations, and ground stress)1,2,3 progressively threatens rock mass stability through irreversible cumulative damage accumulation in the surrounding rock. As representative engineering rock masses, the dynamic failure mechanisms of sandstone and instability precursor identification are critical for early warning systems in engineering safety.
The current research has systematically revealed the mechanical responses of sandstone under various stress paths. Under static loading conditions, Cheng et al.4,5 identified the heterogeneous fracture characteristics in layered sandstone using uniaxial compression tests. Cyclic loading induces markedly different failure behaviors. Song et al.6 discovered a “stable propagation-accelerated coalescence” dual-phase evolution pattern in fracture networks via cyclic loading–unloading experiments, whereas Zhao et al.7 demonstrated effective radial deformation suppression under high confining pressures. In dynamic impact studies, Luo et al.8 established strain-rate threshold dependent failure mode transitions using split Hopkinson pressure bar (SHPB) tests, and Yang et al.9 revealed tensile-to-shear failure mechanism transitions under coupled confining-axial stresses through triaxial impact experiments. However, these achievements predominantly focus on single-impact events or quasi-static conditions, leaving theoretical gaps in understanding cumulative damage evolution under cyclic impacts, particularly regarding damage threshold identification within moderate strain-rate regimes (10⁰–102 s−1).
Acoustic emission (AE) monitoring has become indispensable for instability precursor detection owing to its non-destructive advantages10,11. Research has demonstrated significant temporal variations in AE parameters (event count, moment magnitude, ring-down count, and cumulative energy) during repetitive impacts12,13,14[11,14], with b-value evolution exhibiting a strong correlation with damage stages; its reduction amplitude is co-regulated by the confining pressure and strain rate15,16,17. Notably, the findings of Chmel et al.18 and Liu et al.19 reveal significant negative correlations between the impact rate and b-values, providing new perspectives for dynamic damage assessment. Nevertheless, conventional single-parameter analyses are inadequate for resolving multidimensional damage characteristics under complex stress paths, necessitating the development of multi-parameter monitoring frameworks to enhance warning reliability.
Address two critical research limitations: unclear damage mechanisms under moderate strain rates and the absence of multi-parameter correlation systems. This study employed a systematic drop-weight cyclic impact testing methodology combined with a coordinated analysis of AE parameters (b-value, S-value, and absolute energy). We established a mechano-acoustic coupling framework to elucidate the damage accumulation mechanisms in cyclically impacted sandstone and developed an instability warning model through multi-parameter fusion. The results provide a theoretical foundation and methodological support for early stability warning systems in deep rock engineering.
Sandstone drop weight impact AE rupture test
Sample preparation
The experimental investigation utilized sandstone specimens from the same rock mass that were machined into standard rectangular specimens with dimensions of 50 mm × 50 mm × 100 mm. Following the ISRM Suggested methods for rock mechanics test recommendations, the surface of the sample was polished, and the ends of the rectangular specimens were smoothed using a grinding machine to reduce the unevenness to less than 0.02 mm to ensure that the flatness, parallelism, and perpendicularity of the rock surfaces were in accordance with test standards.
Experimental equipment
The impact test system incorporated a JSL-3000 drop weight impact test with a PCI-2 AE monitoring platform. The programmable mass range was 25–240 kg, the velocity spectrum was 0.1–5.5 m/s and the controlled drop height was 0–4 m. The positioning accuracy of the hammer head is high, the error is within 0.02 mm, and the measurement accuracy of the impact speed is very accurate at ± 0.25%, which can make the impact point of the falling hammer and the transverse center of the test specimen deviate to within 1 mm. The PCI-2 AE monitoring platform used a PCI-2 fully digital acoustic emission detector and NANO-30 acoustic emission sensor composition, and an acoustic emission system sampling rate of 1 MHz, combined with the actual noise environment. The acoustic emission acquisition signal threshold was set to 40 dB, and the preamplifier was set at 40 Hz.
Experimental procedure
The piezoelectric transducers were fixed parallel to the two ends of the standard specimen of 50 mm × 50 mm × 100 mm, connected to the acquisition system, and a servo-hydraulic impactor (50 kg striker mass) was used to deliver sequential impact loading on the specimen, as shown in Fig. 1. The vertical height of the hammer and the standard specimen were adjusted to 50 cm, 80 cm, 100 cm, 120 cm, 140 cm, and 160 cm, for each height case of the specimen for the cycle of impact test. Testing was continued until macroscopic fracture initiation, at which point the loading was terminated.
Experimental setup and method20.
Experimental results
The test results are shown in Fig. 2 and Table 1. As shown in Fig. 2, at impact heights of 50 cm and 80 cm, the number of impacts is higher, resulting in significant damage characterized by large fissures propagating from top to bottom, mixed tensile and shear fissures, and more fragments. As the number of impacts decreased, the fissures were mainly tensile, the accumulation and dissipation of energy were reduced, and there was a corresponding decrease in the quantity of fragments.
Damage of sandstone samples impacted by drop hammer at different heights.
Mechanical properties of sandstone under hammer impact at different heights
During the hammer impact tests, the striker was elevated to predetermined heights to store the gravitational potential energy. As it falls, the potential energy is converted into kinetic energy. Energy equivalence was maintained across the test configurations. Consequently, terminal impact events were selected for dynamic force analysis across energy gradients. As shown in Fig. 3, the force–time curves of the sandstone specimens impacted by the hammer at different heights exhibited certain regularities and stages. The force–time curve can be divided into three stages based on prior researchers’ work21,22: rising, stable, and descent. The primary criterion for phase division is the variation in the interaction force between the sandstone specimen and hammer head during repeated inertial contact. The second stage, referred to as the stable stage, is characterized by a force trough between the primary and secondary peaks. This stage spans the duration of the force valley, in which the rate of force change is minimal. This corresponds to the phase of minimal interaction force during repeated contact between the specimen and hammer head, which is governed primarily by inertial effects. During this phase, the interaction force remains nearly constant, representing the most stable stage of the process. The upward phase before the trough was maintained and it was the first phase and the downward phase after the trough was maintained and it was the third phase.
Impact force time curve of sandstone specimens subjected to hammer impact: (a) 50 cm height; (b) 80 cm height; (c) 100 cm height; (d) 120 cm height; (e) 140 cm height; (f)160 cm height.
Stage I (Rising Stage): The load induced by the hammer impact exhibited a linear increase with contact time with contact time, accompanied by a serrated fluctuation during the load phase. These fluctuations were primarily attributed to variations in the interaction force between the sandstone specimen and the hammer during their brief contact. Under the influence of inertial effects, the impact force decreased rapidly, causing the sandstone specimen to remain temporarily stationary as the hammer continued its downward motion. During this interval, the hammer is separated from the sandstone specimens. Subsequently, the obstruction of the sample platform caused the sandstone specimen to re-establish contact with the hammer, resulting in the reverse acceleration of the hammer and a subsequent increase in the impact force. This cycle is repeated, facilitating the continuous accumulation of strain energy within the sandstone specimen.
Stage II (Stable Stage): The minimum wave trough near the peak force corresponds to the phase in which the interaction force between the specimen and hammer reaches its lowest value during repeated inertial contacts. Therefore, the duration of the wave trough between the peak impact force and the secondary peak was analyzed as the stable phase. In most cases, the peak force occurred before the secondary peak; however, in some specimens, the peak force occurred later because of the superposition of the stress waves from the base rebound and the compression wave generated by the hammer impact23. After the impact force reached its peak, the fluctuations stabilized, likely owing to a decrease in the relative velocity between the specimen and hammer, which reduced the reverse impact force.
Stage III (Descent Stage): As the impact energy dissipates, the interaction force gradually decreases to equilibrium, the oscillatory amplitude diminishes, and the force–time curve flattens progressively.
Owing to inertial effects, the force–time curve exhibited high-frequency oscillations with a gradual peak and a convex shape characterized by an initial rise followed by a subsequent decline. To further explore the influence of drop height on the mechanical behavior of sandstone, relationships were established between the peak impact force, stable phase duration, arrival time, and impact height.
As shown in Fig. 4, the peak impact force of the sandstone exhibited an exponential relationship with the impact height of the drop hammer. The impact force gradually increased, then increased rapidly, and ultimately followed an exponential growth pattern.
Relationship between height of impact and peak impact force.
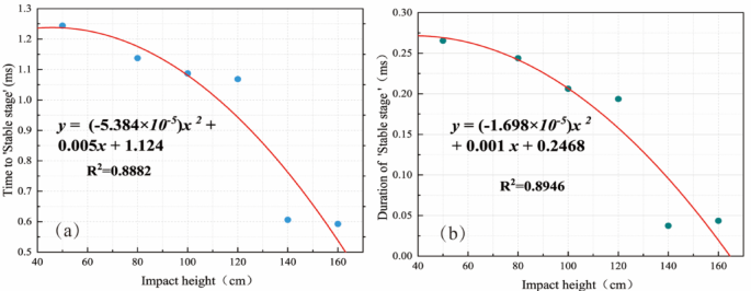
The analysis shown in Fig. 5 demonstrates that the time required for sandstone to reach and sustain a stable stage decreases with increasing impact height. This trend is primarily attributed to the amplified impact force associated with greater impact heights, which results in increased energy transfer at the hammer-sandstone contact interface. Consequently, the time to reach the peak impact force decreases, whereas the reverse acceleration induced by the inertial effects between the sandstone and hammer intensifies, further amplifying and generating larger force fluctuations. Consequently, the impact energy dissipated and absorbed by the sandstone increased, thereby reducing the duration of the stable stage. The highest impact height caused the sandstone to fracture in a single impact, resulting in the shortest duration of the stable stage.
(a) The relationship between impact height and time to stable stage. (b) The relationship between impact height and duration of stable stage.
AE energy analysis of sandstone under drop hammer impact
The energy recorded by an AE system is typically amplified and measured using the gain of the amplifier. The absolute energy, which represents the true energy of the AE impact signals, was calculated using the voltage output of the AE sensor. This measurement is crucial for evaluating the progression of internal fractures within a rock mass and for assessing potential hazards. In this study, the term “acoustic emission energy” specifically refers to absolute energy. Absolute energy is defined as follows:
In Eq. (1), Q represents absolute energy, R is the internal resistance, U is the voltage, t1 is the start time when the acoustic emission waveform first crosses the threshold, and t2 is the end time when the acoustic emission waveform ultimately falls back to the threshold.
Histogram analysis
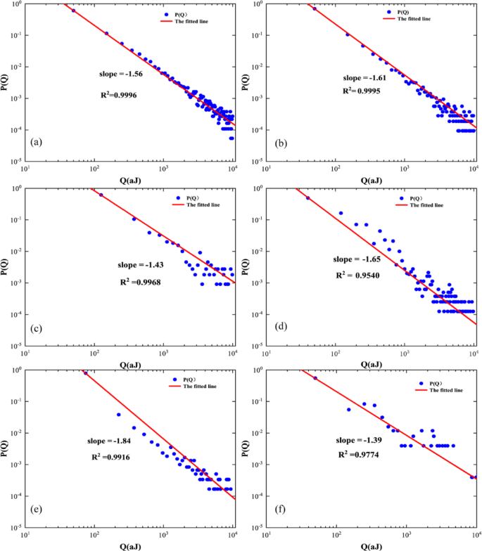
Figure 6 shows a histogram analysis of the energy data generated by hammer impacts at different heights on sandstone, displaying the probability density distribution of the AE energy for the selected specimens. The vertical axis shown in Fig. 6 represents the probability density of the AE energy, and the horizontal axis corresponds to the AE energy values.
Histogram of drop hammer impact at different heights: (a) 50 cm height; (b) 80 cm height; (c) 100 cm height; (d) 120 cm height; (e) 140 cm height; (f) 160cm height.
As shown in Fig. 6, in logarithmic coordinates, a strong linear relationship exists between the AE energy and probability density of the AE energy. The goodness-of-fit (R2) values exceeded 0.95, indicating that the distribution pattern of the AE energy obtained during the impact-induced failure of sandstone specimens followed a power-law distribution as follows:
In Eq. (2), Q represents the AE energy, Qmin is the standardized parameter, rQ denotes the power-law index of AE energy, P signifies the probability density of AE energy, and ζ stands for the Hurwitz function.
When the hammer heights are 50 cm and 80 cm, both resulting in specimen failure after 10 impacts, the power-law index rQ increases from 1.56 to 1.61 as the hammer height transitions from 50 to 80 cm. Subsequently, as the hammer height increased from 80 to 100, 120, and 140 cm, with 10 impacts at each height, the number of impacts required for specimen failure decreased from 10 to 4. Previous research findings indicate that the range of power-law indices rQ for the AE energy related to rock material failure is between 1.33 and 1.9724. In this study, the power-law index range of the AE energy under hammer impacts on sandstone specimens was between 1.39 and 1.84, which is consistent with the range established in prior studies. Specifically, the power-law index rQ is 1.43 at a height of 100 cm, increases to 1.65 at 120 cm, and further rises to 1.84 at 140 cm. Notably, at a height of 160 cm, a single impact resulted in specimen failure with a minimum power-law index of 1.39.
The increase in the power-law index of the AE energy with increasing hammer height under the same number of impacts can be attributed to an increase in the impact load. Although higher impact loads generated more significant AE events, they also promoted the initiation and propagation of numerous microcracks, thereby increasing the frequency of lower-energy AE events. The growth rate and occurrence of high-energy AE events were significantly lower than those of low-energy events under the same conditions, resulting in a higher probability density for low-energy AE events. Consequently, the observed phenomenon in which the power-law index of the AE energy increases with higher impact loads for the same number of impacts is explained.
Maximum likelihood method
Although histograms generally provide an accurate representation of the distribution pattern of AE energy, factors such as the selection of bin numbers and widths can influence the accuracy of calculating the power-law index through histogram analysis. To reduce the impact of subjective factors on the result accuracy, some researchers have recommended adopting the maximum likelihood estimation (MLE) method as a more robust approach to data processing. The maximum likelihood estimation method based on the power-law distribution can be expressed using the following likelihood function25:
Take the logarithm of both sides of Eq. (3) and differentiate, then set \(\partial {\text{ln}}L({r}_{Q})/\partial {r}_{Q}=0\). The maximum likelihood estimate equation can be expressed as follows:
Some scholars proposed a simplified formula to replace Eq. (4) with the maximum likelihood method for discrete variables26:
where Qi , i = 1,2,3,…,n is the observed value of the variable Q and satisfies the Qi ≥ Qmin relation., σSD is the standard deviation, and r′ is the maximum likelihood estimation value of the AE energy power law index rQ.
The analysis of the AE energy data obtained during the failure process of sandstone specimens under hammer impacts at various heights, using the maximum likelihood estimation (MLE) method, yielded the results shown in Fig. 7. As shown in Fig. 7, the power-law index of the AE energy rQ calculated using the histogram method for impacts at each height is represented by a black dashed line, whereas the solid lines of different colors depict the values of r′ obtained using the MLE method, with vertical lines indicating the standard deviations. In the r′ curve obtained through the MLE method, the plateau range is generally considered the optimal value for the entire dataset. However, when the plateau of the r′ curve is not well-defined, the initial shoulder range of the r′ curve can be regarded as the optimal solution for the entire dataset27. As shown in Fig. 7, the rQ values represented by the black dashed line generally coincide with the initial shoulder peak of the r′ curve within the error range. This indicates that the results obtained using the MLE and histogram methods are largely consistent. The initial shoulders of the r′ curves for each hammer impact height typically occurred within the energy range of 102aj to 104aj, with the r′ curve continuously rising beyond 105aj. As the hammer height increases under the same number of impacts, the growth rate of the r′ curve obtained through the MLE method also increases. This can be attributed to the escalating impact load with increasing height, which results in a larger quantity and magnitude of absolute energy from high-energy events, thereby accelerating the growth rate of the r′ curve.
Maximum likelihood estimation of drop hammer impact at different heights (a) 50 cm height; (b) 80 cm height; (c) 100 cm height; (d) 120 cm height; (e) 140 cm height; (f) 160 cm height.
In conclusion, increasing the impact load under the same number of impacts results in a higher power-law index for AE energy while simultaneously accelerating the growth rate of the r′ curve obtained through the maximum likelihood estimation (MLE) method. Furthermore, when estimating the power-law index of the AE energy under hammer impacts, the values derived from the histogram method were generally consistent with the optimal values obtained using the MLE method. Therefore, the findings presented in this study regarding the power-law index of the AE energy for sandstone under hammer impacts demonstrate a high level of reliability.
AE index analysis
In seismology, Gutenberg and Richter proposed a logarithmic relationship between seismic frequency and magnitude in 1941, known as the Gutenberg-Richter law (G-R relationship)28, expressed in Eq. (7) as follows:
From Eq. (2) and Fig. 6, it is evident that the distribution pattern of the AE energy from the hammer impacts in a double logarithmic coordinate system is consistent with the G-R relationship. This indicates that the AE energy data conform well to the Gutenberg-Richter law, suggesting that small-scale rock materials subjected to high-strain-rate impacts and large-scale earthquakes under certain conditions exhibit behaviors consistent with the Gutenberg-Richter law.
The seismicity of small-scale rock materials, as defined by the AE activity, lacks a precise definition analogous to that used for large-scale earthquakes. Many researchers have used the ratio of the AE amplitude to a constant as a measure of seismicity. However, absolute energy represents the true response of the AE energy and is commonly measured in attojoules (aj). This measure allows a more intuitive comparison with physical energy values. Additionally, the absolute energy of the AE spans a wide range of magnitudes, from 1 × 101 to 1 × 109, which provides a broader and more precise representation of the AE activity than the AE amplitude. This approach improves the accuracy of the seismicity measurements. In this study, the logarithm of the AE energy was adopted as a seismicity measure instead of the conventional method of dividing the amplitude by a constant, as shown in Eq. (8)29:
The S-value is a physical quantity derived from the frequency of AE events, average energy level, and maximum energy level. This reflects the concentration of the AE energy within the rock mass and the scale of the energy involved. The AE b-value alone may not accurately predict the AE activity under impact loading conditions. In this study, two different AE indices were utilized to further enhance the accuracy of predicting sandstone failure and instability under impact loading. Specifically, the AE b-value was combined with the AE activity S-value to improve the reliability of the sandstone instability and damage prediction. The formula for calculating the S-value is as followss30:
In Eq. (9), N is the cumulative count of AE activity in the corresponding statistical interval, M is the magnitude of AE, a is a constant, b is the physical quantity that characterizes the level of AE activity, MA is the magnitude of the largest AE event in the corresponding statistical interval. In this study, the least-squares method was used to estimate the b-value of the AE.
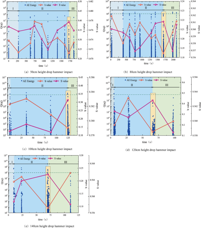
The drop hammer impact falls within the scope of dynamic impact studies under moderate strain rate conditions, with the characteristic response time of the entire process ranging from 10−2 s–10−3s31. In this study, the minimum b-value and maximum S-value for each impact were selected as characteristic impact parameters. Furthermore, the variations in the b-value and S-value during the final impact were analyzed to investigate the AE response characteristics during the failure of the sandstone specimens, as shown in Figs. 8 and 9.
The b-value and S-value of different drop hammer height.
The b-value and S-values of the last impact of the hammer at different heights.
AE energy
As shown in Figs. 8 and 9, the dashed line represents the absolute energy threshold for acoustic emissions at varying hammer drop heights. For each impact at different heights, the maximum acoustic emission energy event consistently exceeded or approached the absolute energy threshold. This distinction enabled the differentiation of acoustic emission energy values generated during impacts on the sandstone specimens at various rates. Notably, the hammer dropped from a height of 160 cm, causing immediate fracturing of the specimen. Therefore, this scenario was analyzed as the final impact, as shown in Fig. 9.
Compared with static loading, impact loading increases the strain rates and significantly reduces the loading duration, resulting in the rapid formation of large cracks during rock failure. As shown in Fig. 10, with an increase in the drop hammer impact height, the maximum absolute AE energy values exhibited exponential growth.
Relationship between drop hammer impact height and AE energy curve.
In experiments where the specimens underwent 10 impacts at drop heights of 50 and 80 cm, the maximum AE energy values exceeded the 1 × 107aj energy threshold but did not reach the1 × 108aj threshold. In the trials conducted at drop heights of 100, 120, and 140 cm, the specimens were subjected to four impacts. The maximum AE energy values gradually approached the 1 × 109aj threshold but remained within the range of 1 × 108aj to 1 × 109aj. In the impact test at 160 cm, the maximum AE energy exceeded the 1 × 109aj threshold, resulting in the destruction of the sandstone specimen after only one impact. Higher impact rates led to fewer impact cycles, increased maximum AE energy values, and an expansion of the energy threshold boundary. The energy threshold for rock failure due to successive impacts increased from 1 × 107aj after 10 impacts to 1 × 109aj after a single impact, demonstrating a two-orders-of-magnitude increase in the AE energy threshold. Higher impact rates caused the specimens to bypass the gradual development and expansion of small fractures, instead rapidly forming large visible cracks. This ultimately results in specimen failure and generates AE events with significantly higher energies.
In summary, increasing the impact rate of the drop hammer reduces the number of cyclic impacts required for the sandstone specimens to reach instability and failure. Additionally, it increases the maximum energy values of the AE events, resulting in an increase in the AE energy threshold. Employing an elevated AE energy threshold as a precursor indicator of instability offers valuable insights for predicting the instability and failure of rock materials under cyclic impact loading conditions in laboratory-scale experiments.
AE feature value identification
During the sustained loading of rock materials, the dynamic variation in the b-value characterizes the process of internal fracture instability within the rock. A decrease in the b-value indicates an increase in larger-scale fractures, accompanied by a higher proportion of high-energy AE events. Conversely, an increase in the b-value signified the predominance of small-scale fractures with a higher proportion of low-energy AE events. The AE energy reflects the intensity of acoustic activity within the rock. When the hammer impact load was applied rapidly, the AE sensor captured strong signals from the intense impacts. The high-energy events shown in Fig. 8 may not solely represent signals of large fracture development within the specimen, but could also result from stress waves generated during the impacts propagating through the rock32. Throughout the cyclic impact process, a sudden decrease in the b-value does not necessarily indicate imminent instability or failure of the rock. In this study, the portion of the AE energy exceeding the energy threshold was mitigated to enhance the accuracy of the AE characteristic values. Figure 8 shows the evolution of the sandstone specimens during each cyclic hammer impact, which can be categorized into three distinct phases: initial, low-speed, and acceleration stages. Because of the relatively minor fluctuations in the S-value, this study primarily utilized variations in the b-value to delineate the phases of the cyclic impact process.
-
(1)
Initial Stage: At lower impact rates, the first impact causes the closure of minor internal fractures, accompanied by small stress waves and a relatively high b-value. Subsequent impacts began to generate larger fractures, resulting in a decrease in the b-value to a lower threshold. When the impact rate increased and the number of impacts decreased, the energy stored from the first impact allowed the specimen to bypass the minor fracture closure stage, directly leading to the development of larger fractures, as reflected by the smaller b-value.
-
(2)
Low-Speed Stage: This phase begins at the turning point where a sudden increase in the b-value occurs. At lower impact rates with more frequent impacts, b increased and fluctuated within a higher range before gradually decreasing to its lowest point. At higher impact rates with fewer impacts, each individual impact accumulates and dissipates more energy, potentially bypassing the formation of minor fractures and directly generating larger fractures. This resulted in a steady decline in the b-value without notable fluctuations.
-
(3)
Acceleration Phase: The AE characteristics indicating instability, marked by a yellow background shown in Fig. 8, represent the onset of the third phase. The emergence of this phase may signify that the accumulated energy in the specimen reached a critical threshold for crack initiation. The prior accumulation of minor fractures facilitated the nucleation of larger fractures, concentrating the stress at the tips of these larger cracks. This results in an increase in the formation of small-scale microcracks and AE events. As the b-value decreased to its minimum, the level of AE activity peaked. Continued impacts led to the gradual coalescence of internal fractures, ultimately forming a macroscopic fracture surface and causing complete instability of the rock mass.
A small number of specimens destabilized immediately upon entering the acceleration stage. This may occur when the impact rate and number of impacts are both low, allowing the first few impacts to primarily generate small cracks. Damage accumulates until the final impact, which causes small cracks to coalesce directly into a large, visible crack, resulting in immediate destabilization of the specimen. When the hammer was dropped from a height of 160 cm, the sandstone specimen failed after a single impact, bypassing both initial and low-speed stages. This impact simultaneously connects and penetrates both the large and small fractures, forming a macroscopic fracture surface. As shown in Fig. 9, the changes in the AE characteristic values during the final impact at each height reveal that the b-value initially drops to its lowest point before rising again, fluctuating within a defined range with an overall upward trend. The final impact induced significant internal changes, resulting in the formation of macroscopic fracture surfaces. Meanwhile, some minor fractures continued to evolve in areas of stress concentration near other fractures, causing the b-value to increase amid persistent fluctuations. The S-value exhibits relatively small variations but demonstrates substantial volatility, generally decreasing after reaching the maximum value at the outset.
As shown in Fig. 11, the minimum b-value was 0.2294 at the lowest impact rate (drop height of 50 cm), whereas the minimum b-value was 0.0808 at the highest impact rate (drop height of 160 cm). As the impact rate increased, the b-value decreased continuously, exhibiting a linear negative correlation with the impact rate.
Relationship between drop hammer impact height and minimum b-value curve.
The AE S-value is a characteristic parameter that reflects the concentration of AE energy and activity within a rock mass. In experiments involving the continuous loading of rock-like materials, they can also act as precursor indicators of rock instability, enabling the monitoring and prediction of rock failure. During the impact with the drop hammer, cracks within the sandstone rapidly developed and propagated, resulting in a surge of fracture signals, an increase in the number of AE events, and a rapid rise in AE activity. As the drop hammer rebounded and subsequent lower-rate impacts occurred, the number of AE events decreased, accompanied by a decline in AE activity. Under the same number of impact cycles, the S-values exhibited relatively close numerical values, but remained distinguishable. For the drop hammer experiments with 10 impact cycles, the maximum values were SM50 = 0.4777 < SM80 = 0.56112, and for experiments with four impact cycles, the maximum values are SM100 = 0.3829 < SM120 = 0.5628 < SM140 = 0.5654. In scenarios with different impact rates but the same number of impact cycles, as the height and impact velocity increased, both the average and maximum S-values increased. This indicates that at higher impact velocities, more and larger cracks developed and propagated within the rock mass, leading to an increase in the number of AE events and heightened AE activity.
In summary, throughout the cyclic impact process, the overall trends of the acoustic emission characteristic values, b-value and S-value, exhibited opposing behaviors. A sudden increase in the b-value coincided with a sharp decrease in the S-value, indicating that the specimen approached instability and failure. This relationship can serve as a precursor characteristic for predicting the impending instability and damage.
Evolutionary patterns of sandstone damage under cyclic impact
During the process of cyclic impact, studies have shown that the dynamic peak strain and dynamic residual strain of rock follow a pattern of “rapid increase, gradual development, and rapid rise”33. This development, which resembles an S-shaped curve, is further described using a logistic model equation to depict the cumulative damage evolution of the rock as the number of cyclic impacts increases34,35.
The expression of the Logistic model equation is as follows:
By applying the inverse function transformation to Eq. (10), it can be represented as follows:
Here, α、β、κ, and η are undetermined parameters. By substituting x with the relative impact count n/N and y with the cumulative damage D in Eq. (11), we obtain:
In Eq. (12), the parameter α controls the magnitude of the center value in the damage evolution curve model, with a range of (0,1); the parameter β signifies the influence of confining pressure on the cumulative damage of the rock, ranging from (0,1); κ represents the axial static load value; and η represents the cumulative damage rate factor in the process of damage evolution, ranging from (0,1). In this study, specific analysis was conducted with the values of α = 0.5, β = 0.072, κ = 1, and η = 0.9989, as shown in Fig. 12.
Relationship between relative impact times and cumulative damage curve.
As shown in Fig. 12, the red dots represent the relative impact counts corresponding to the minimum b-value and maximum S-value at different impact heights. A damage acceleration point exists between the low- and high-speed stages, which closely aligns with the instability prediction points determined through the b-value and S-value analyses in this study. For the 50 cm impact height, the instability prediction point occurred after the damage acceleration point. As the impact height increased, the relative number of cyclic impacts associated with the instability prediction point progressively decreased. The failure process of the sandstone specimens represents a dynamic equilibrium between energy accumulation and dissipation. As the drop hammer impact height increased, the energy accumulated in the specimens increased. When the accumulated energy exceeded the local bearing capacity, significant cracks formed, triggering high-energy AE events, heightened AE activity, and notable changes in the corresponding AE characteristic parameters. This was marked by the simultaneous occurrence of a minimum b-value and a maximum S-value. The subsequent decrease in bearing capacity led to the direct extension of locally unstable cracks into visible large fissures, ultimately resulting in the complete failure of the specimen.
At an impact height of 100 cm, the instability prediction point appeared only after the final impact, leading to immediate destabilization and failure. This phenomenon can be attributed to the increased impact height, which enhances energy accumulation with each impact. Consequently, the total accumulated energy surpassed the energy threshold of the instability prediction point after the fourth impact, causing the specimen to fail.
Conclusion
In this study, AE experiments were conducted on sandstone subjected to cyclic impact loading with a falling hammer to investigate variations in the impact force overtime and AE characteristic parameters under different cyclic impacts. The main findings of this study are summarized as follows:
-
(1)
The sandstone subjected to cyclic drop hammer impact loading exhibited pronounced sawtooth-shaped nonlinear evolution characteristics, which can be divided into three distinct phases: rising, stable, and falling. Higher impact heights generated greater inertia-induced reverse impact forces between the sandstone and hammer, resulting in intensified sawtooth fluctuations. This phenomenon prolongs the duration required to reach the stable stage, while simultaneously reducing the maintenance time within the stable phase, as increased impact energy absorption and dissipation occur.
-
(2)
The AE energy distribution in sandstone under cyclic drop hammer impacts followed a power-law distribution. Both the histogram and maximum likelihood methods yielded identical AE power-law exponents. Under identical impact counts but varying rates, the growth rate of high-energy events was lower than that of low-energy events, with the latter demonstrating a greater numerical prevalence. The AE power-law exponent increased proportionally with the impact rate, exhibiting a positive correlation.
-
(3)
The energy values of the high-energy events generated by the drop hammer impact demonstrated exponential growth with increasing drop height. Maximum energy values range between 107 and 108 aj for 50 cm impacts and 108–109 aj for impacts at 80–140 cm heights. When the maximum AE energy exceeds the 10⁹ aj threshold, a single impact induces complete sandstone failure.
-
(4)
The b-value and S-value exhibited significant fluctuations during cyclic impacts. The b-value shows an initial surge, followed by a declining trend with persistent oscillations, whereas the S-value demonstrates an opposite ascending trend with fluctuating progression. The simultaneous occurrence of a b-value surge and S-value plunge during the second phase represents a critical turning point for imminent rock instability and establishes this juncture as a reliable instability prediction marker.
Data availability
All data and models generated or used during the study appear in the submitted article. Because some data of this paper will be used in the next research plan of the research group, the data sets generated and/or analyzed in this study are not public, but reasonable requirements can be obtained from the corresponding authors.
References
Zheng, Z. et al. True triaxial test and DEM simulation of rock mechanical behaviors, meso-cracking mechanism and precursor subject to underground excavation disturbance. Eng. Geol. 337, 107567 (2024).
Xie, H. et al. Dynamic response of rock mass subjected to blasting disturbance during tunnel shaft excavation: a field study. Geomech. Geophys. Geo-Energy Geo-Resour. 8, 52 (2022).
Pan, C., Xia, B., Zuo, Y., Yu, B. & Ou, C. Mechanism and control technology of strong ground pressure behaviour induced by high-position hard roofs in extra-thick coal seam mining. Int. J. Min. Sci. Technol. 32, 499–511 (2022).
Cheng, Y. et al. Investigating the aging damage evolution characteristics of layered hard sandstone using digital image correlation. Constr. Build. Mater. 353, 128838 (2022).
Cheng, Y., Song, Z., Xu, Z., Yang, T. & Tian, X. Failure mechanism and infrared radiation characteristic of hard siltstone induced by stratification effect. J. Mt. Sci. 21, 1058–1074 (2024).
Song, Z., Cheng, Y., Yang, T., Yang, P. & Pan, H. Experimental study on fatigue damage evolution mechanism of hard layered sandstone under cyclic loading. Chin. J. Geotech. Eng. 46, 490–499 (2024).
Zhao, Y., Bi, J., Wang, C. & Liu, P. Effect of unloading rate on the mechanical behavior and fracture characteristics of sandstones under complex triaxial stress conditions. Rock Mech. Rock Eng. 54, 4851–4866 (2021).
Luo, Y. et al. Analysis of energy dissipation and crack evolution law of sandstone under impact load. Int. J. Rock Mech. Min. Sci. 132, 104359 (2020).
Yang, J. et al. Dynamic mechanical properties and fracture characteristics of red sandstone under multiaxial confining pressure and impact loading. Eng. Fract. Mech. 308, 110377 (2024).
Yang, J., Mu, Z.-L. & Yang, S.-Q. Experimental study of acoustic emission multi-parameter information characterizing rock crack development. Eng. Fract. Mech. 232, 107045 (2020).
Dong, L., Zhang, Y., Sun, D., Cheng, Y. & Tang, Z. Stage characteristics of acoustic emission and identification of unstable crack state for granite fractures. Chin. J. Rock Mech. Eng. 41, 120–131 (2022).
Miao, S. et al. Laboratory shear behavior of tensile- and shear-induced fractures in sandstone: Insights from acoustic emission. Rock Mech. Rock Eng. https://doi.org/10.1007/s00603-024-03780-2 (2024).
Du, K., Luo, X., Liu, M., Liu, X. & Zhou, J. Understanding the evolution mechanism and classification criteria of tensile -shear cracks in rock failure process from acoustic emission (AE) characteristics. Eng. Fract. Mech. 296, 109864 (2024).
Jiang, X.-Y. et al. Experimental and numerical study on the damage evolution and acoustic emission multi-parameter responses of single flaw sandstone under uniaxial compression. Theor. Appl. Fract. Mech. 133, 104535 (2024).
Yuan, W., Cheng, Y., Min, M. & Wang, X. Study on acoustic emission characteristics during shear deformation of rock structural planes based on particle flow code. Comput. Part. Mech. 11, 105–118 (2024).
Cheng, Y. et al. Micro-cracking morphology and dynamic fracturing mechanism of natural brittle sandstone containing layer structure under compression. Constr. Build. Mater. 425, 136051 (2024).
Yan, L. et al. Constitutive relationship and instability mechanism of acoustic emission damage in cemented fill materials. Structures 69, 107450 (2024).
Chmel, A. & Shcherbakov, I. A comparative acoustic emission study of compression and impact fracture in granite. Int. J. Rock Mech. Min. Sci. 64, 56–59 (2013).
Liu, L., Pan, M., Li, X. & Wang, J. Acoustic emission b-value characteristics of granite under dynamic loading and static loading. Chin. J. Rock Mech. Eng. 36, 3148–3155 (2017).
Microsoft Corporation. Microsoft Office PowerPoint (Version 2021) [Computer software]. https://msca.gzu.edu.cn/soft/detail/17.
Li, Z. et al. Deformation failure and acoustic emission response characteristics of water-containing concrete under impact load. Constr. Build. Mater. 412, 134729 (2024).
Guo, Q. et al. Dynamic response and failure mode of steel-concrete composite panels under low-velocity impact. Int. J. Impact Eng. 162, 104128 (2022).
Liu, L., Huo, J., Liu, Y., Wang, H. & Tang, Q. Experimental study on dynamic mechanical properties of ordinary concrete under drop hammer impact loading. J. Railw. Sci. Eng. 15, 1415–1423 (2018).
Salje, E. K. H. et al. Intermittent flow under constant forcing: Acoustic emission from creep avalanches. Appl. Phys. Lett. 112, 054101 (2018).
Wang, C. et al. Investigation on damage evolution law of anisotropic shale at different hydraulic pressures. Energy 282, 128944 (2023).
Clauset, A., Shalizi, C. R. & Newman, M. E. J. Power-law distributions in empirical data. SIAM Rev. 51, 661–703 (2009).
Li, S. et al. Experimental study on mechanical properties, acoustic emission energies and failure modes of pre-cracked rock materials under uniaxial compression. Pure Appl. Geophys. 176, 4519–4532 (2019).
Frequency of Earthquakes in California. Nature 156, 371–371 (1945).
Li, S. Experimental study on fracture behavior and destabilization precursor determination of fissured rock. Chongqing University (2020). https://doi.org/10.27670/d.cnki.gcqdu.2020.000375.
Gu, J. & Wei, F. On the quantitative seismicity of earthquake activity. Earthquake Research in China. 14–24 (1987).
Ma, B. et al. A comparative study on the low velocity impact behavior of UD, woven, and hybrid UD/woven FRP composite laminates. Compos. Part B Eng. 271, 111133 (2024).
Liu, X., Li, X., Hong, L., Yin, T. & Rao, M. Acoustic emission characteristics of rock under impact loading. J. Cent. South Univ. 22, 3571–3577 (2015).
Jing, J., Li, X. & Zhong, H. Study of dynamic mechanical characteristic of sandstone subjected to three-dimensional coupled static-cyclic impact loadings. Chin. J. Rock Mech. Eng. 32, 1358–1372 (2013).
Jing, J., Li, X., Qiu, C., Tao, W. & Zhuo, X. Evolution model for damage accumulation of rock under cyclic impact load dings and effect of static loads on damage evolution. Chin. J. Rock Mech. Eng. 33, 1662–1671 (2014).
Wen, L. et al. An investigation of the mechanical properties of sandstone under coupled static and dynamic loading. Rock Soil Mech. 41, 3540–3552 (2020).
Acknowledgements
This work was supported by the Youth fund project of the national natural science foundation of China (52204129),the Science and technology supporting project of Guizhou Province(Qiankehe [2023]273), the Guizhou Provincial Fund Project (Grant Nos. (2022) ZD001), the Scientific Research Project of Introducing Talents in Guizhou University (No. 202045), the Open Project Program of Key Laboratory of Mine Disaster Prevention and Control (No. JMDPC202102),the Open Project Program of National Engineering Technology Research Center of Development and Utilization for Phosphorus Resources(NECP202210), the Growth Project of Young Scientific and Technological Talents in Universities of Guizhou Province (KY2022139),the Guizhou Geological Exploration Fund Project (208-9912-JBN-UTS0), the Guizhou Geological Exploration Fund Project (208-0602-JQN-5G9D) and the Guizhou Geological Exploration Fund Project (52000021MGQSE7S7K6PRP).
Author information
Authors and Affiliations
Contributions
Xu Hong : Writing–original draft, Methodology, Data curation. Chao Pan: Funding acquisition, Writing-Review. Yujun Zuo: Supervision. Shujian Li and Juncai Cao: Investigation. Qiang Liu: Writing-Review. Xuefeng Li and Lin Yan: software. Tengfei Han: Visualization.
Corresponding author
Ethics declarations
Competing interests
The authors declare no competing interests.
Additional information
Publisher’s note
Springer Nature remains neutral with regard to jurisdictional claims in published maps and institutional affiliations.
Rights and permissions
Open Access This article is licensed under a Creative Commons Attribution-NonCommercial-NoDerivatives 4.0 International License, which permits any non-commercial use, sharing, distribution and reproduction in any medium or format, as long as you give appropriate credit to the original author(s) and the source, provide a link to the Creative Commons licence, and indicate if you modified the licensed material. You do not have permission under this licence to share adapted material derived from this article or parts of it. The images or other third party material in this article are included in the article’s Creative Commons licence, unless indicated otherwise in a credit line to the material. If material is not included in the article’s Creative Commons licence and your intended use is not permitted by statutory regulation or exceeds the permitted use, you will need to obtain permission directly from the copyright holder. To view a copy of this licence, visit http://creativecommons.org/licenses/by-nc-nd/4.0/.
About this article
Cite this article
Hong, X., Pan, C., Zuo, Y. et al. Multifaceted characteristics of acoustic emission damage and precursor indicators of instability in sandstone under cyclic impact loading. Sci Rep 15, 19859 (2025). https://doi.org/10.1038/s41598-025-04900-w
Received:
Accepted:
Published:
Version of record:
DOI: https://doi.org/10.1038/s41598-025-04900-w














