Fig. 6

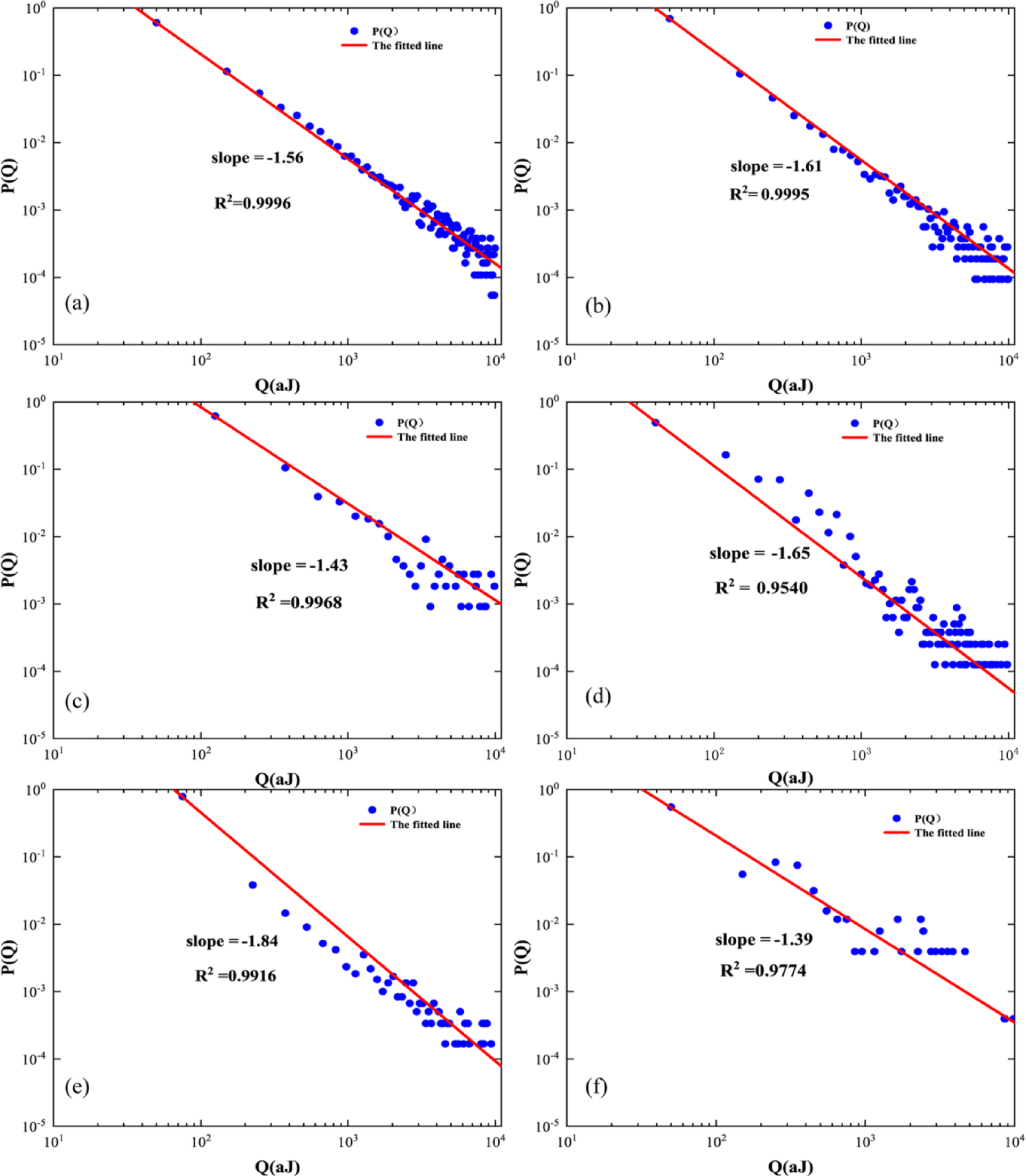
Histogram of drop hammer impact at different heights: (a) 50 cm height; (b) 80 cm height; (c) 100 cm height; (d) 120 cm height; (e) 140 cm height; (f) 160cm height.

Histogram of drop hammer impact at different heights: (a) 50 cm height; (b) 80 cm height; (c) 100 cm height; (d) 120 cm height; (e) 140 cm height; (f) 160cm height.