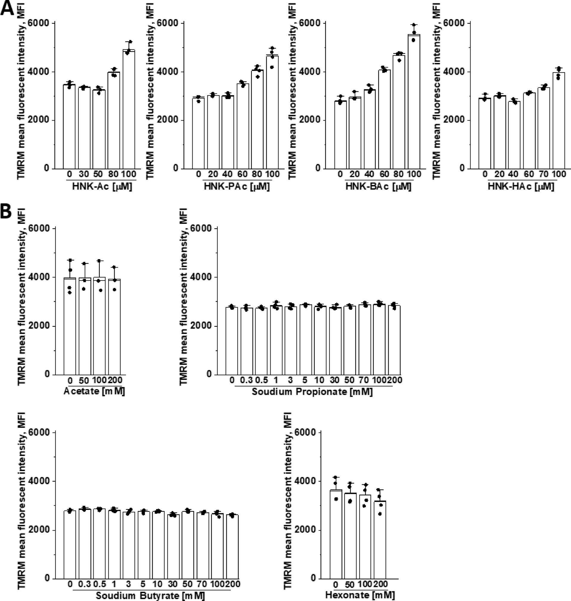
Fig. 7

Effect of HNK-SCFA-esters on E. faecalis membrane potential. E. faecalis was treated with HNK, HNK-Ac, HNK-PAc, HNK-BAc, and HNK-HAc (A) and acetate, propionate, butyrate, and hexanoate (B) as indicated for 1 h. The effects on the membrane potential were measured by TMRM dye, the fluorescence indicator to determine the percentage change in TMRM fluorescence intensity between the control and treatments groups. The lower levels of TMRM fluorescence resulting from treatment reflect the depolarization of mitochondrial membrane potential. **, P < 0.01 vs. control group at each collection time point. Data shown are the mean ± SD, n = 4.