Abstract
Glomalin-related soil protein (GRSP) exhibits strong adsorption and sequestration capacities for heavy metals. However, the contribution rate of GRSP to the sequestration of soil heavy metals under rapid urbanization remains unclear. Therefore, 184 soil samples from the green spaces in a built-up area of Nanchang, China were selected as the research site according to the urbanization intensity levels and the impervious surface area rates. The GRSP, soil heavy metal (V, Ni, Cr, Cu, Pb, Co, As, Cd, and Zn), and GRSP-bound heavy metal contents were determined to analyze the adsorption potential and differences of GRSP for heavy metals. With increasing urbanization intensity, the Pb, Cd, and Cr contents decreased by 28–66%, and GRSP contents declined by 19–24% (P < 0.05). The contribution rates of GRSP-Cd, GRSP-Pb, and GRSP-Cr to Cd, Pb, and Cr sequestration were 1.98-3.35-fold higher in low urbanization areas than that in heavy urbanization areas (P < 0.05). The adsorption potential of GRSP-Cu was the highest (14.71–23.77%). The findings showed that GRSP could enhance the capability of heavy metals adsorbed by urban soil, while urbanization decreased the content and sequestration potential of GRSP-bound heavy metals, thereby contributing to the improvement of the urban soil environment.
Similar content being viewed by others
Introduction
There has been a rapid global shift from natural land to urban land. By the end of 2030, the global urban land area will have tripled compared with that in 2000, increasing by approximately 1.2 million square kilometers1. As the largest developing country, the number of urban residents in China has exceeded 900 million by the end of 2023, with an urbanization percentage of 66.16% (National Bureau of Statistics of China, 2024). Land use patterns have substantially changed with the rapid expansion and dense development of cities, as natural lands are transformed or fragmented to accommodate urban infrastructure. These shifts negatively impact soil quality and function, resulting in soil pollution, depletion of organic matter, decline in biodiversity, and deterioration of soil structure. Such changes not only limit vegetation growth but may also pose health risks to humans2. Urban green space soil quality is often influenced by human interventions, e.g., sewage discharge, waste disposal, and soil compaction, causing severe soil pollution3. Heavy metal pollution in urban soil has become a universal environmental issue, requiring governmental intervention and management4. Thus, corresponding prevention and management strategies can be implemented. Research on soil heavy metals in different urbanization areas has mainly focused on analyzing background value fluctuations using the geo-accumulation index, assessing pollution ecological risks, evaluating human health risks, and investigating spatial distribution and sources through positive matrix factorization models5,6,7,8,9. Chemical and physical remediation methods10, e.g., electrokinetic extraction and chemical stabilization11 are commonly used to remediate and manage heavy metal pollution in the soil. Although these methods possess certain effectiveness, they are often inefficient, costly, and may even result in secondary pollution12. Therefore, a green and sustainable environmental approach is vital in alleviating soil heavy metal pollution in urban regions to support healthy urban green space ecosystems.
Glomalin-related soil protein (GRSP) is a protein secreted by arbuscular mycorrhizal fungi (AMF), which is water-insoluble and relatively stable13. GRSP is found in ecological systems such as farmlands, forests, wetlands, grasslands, and urban areas and is key to soil organic matter13,14,15,16. Moreover, GRSP has a degradation cycle of 6 to 42 years in the soil and up to 1250 years under anaerobic conditions, allowing for accumulation over time17. This protein can help form the stability of the soil particles, improve the structure of soil through vegetation recovery, and enhance the capacity for soil to sequester organic carbon18. Currently, the research on GRSP has mainly emphasized its role in stabilizing soil aggregates and carbon sequestration13,14,]16,17,18.
GRSP contains abundant functional groups, is recalcitrant, and has a long transformation time. GRSP interacts with soil pollutants, promoting the stabilization of contaminants19 and facilitating the adsorption and sequestration of heavy metals20. In mangrove wetland ecosystems, elements like Cu, Pb, Cd, Ni, Mn, Zn, Cr, and Fe bound within GRSP contribute to the immobilization, mobility, and adsorption of heavy metals, effectively reducing their bioavailability21. In aquatic ecosystems, GRSP has a strong adsorption capacity of Zn and Cu22. In the sedimentary cores from the Yangtze River Delta region, GRSP could sequester 2.82–22.60% of Cu23. In grassland ecosystems, GRSP contributes to sequestrating Cd and Pb24. Furthermore, GRSP can bolster the resilience of AMF hyphae and spores against environmental challenges posed by soil pollutants, thus strengthening the ability of AMF to decompose contaminants25. Plants in heavily polluted areas affect AMF development, including their colonization, germination, sporulation, and extraradical hyphal extension, thus affecting GRSP production and its capacity to immobilize heavy metals26. However, research analyzing GRSP’s response to heavy metals in heavily disturbed urban ecosystems is rare. As such, investigating the forces driving GRSP’s sequestration of heavy metals in the context of urbanization is essential for assessing soil heavy metal pollution, guiding management measures, and promoting sustainable urban development.
Nanchang, the administrative center of Jiangxi Province in China, is also a metropolitan city within the Poyang Lake Ecological Economic Zone. By the end of 2023, Nanchang’s urbanization rate had reached 79.58%. Human activities and industrial pollution harm natural ecosystems, causing soil heavy metal enrichment and threatening ecological systems and health concerns in Nanchang. Consequently, addressing heavy metal pollution in urban soil has become an urgent issue for urban sustainability. GRSP has gradually attracted attention for its role in heavy metal adsorption and immobilization, providing a new research direction for the management of heavy metal pollution in urban soil. This study proposes the following three hypotheses: (1) there are differences in the spatial distribution of heavy metals and GRSP contents in the urban green space soil; (2) GRSP can serve as an effective tool for sequestrating and adsorbing soil heavy metals in the urban ecosystems; and (3) urbanization can reduce the contribution rate of GRSP to the adsorption and potential of soil heavy metals. The present study innovatively explores the mechanisms and contribution rate of GRSP to heavy metal sequestration in urban soil, with a focus on the soil from green spaces in the urban areas of Nanchang. It provides fundamental data and theoretical insights for managing urban soil heavy metal pollution and addresses a significant gap in the understanding of GRSP’s role in urban soil heavy metal sequestration.
Materials and methods
Research area
The research area is situated in Nanchang City, Jiangxi Province, China. Nanchang City spans from latitude 28°10′N to 29°11′N and longitude 115°27′E to 116°35′E. It is situated in the central-north part of Jiangxi Province, downstream of both the Ganjiang and Fuhes. Nanchang experiences a relative humidity of 78.5%. The region boasts a humid subtropical monsoon weather pattern, featuring an average rainfall ranging from 1600 to 1700 mm per year and a mean annual temperature of 17℃. Characterized by evergreen broad-leaved vegetation, the humid and hot climate contributes to forming and developing red soil, which constitutes the primary soil type in the area27.
Categorization of urbanization levels
The rise in impervious surface area (ISA) is due to urbanization, which is a key standard for analyzing urban growth and assessing the condition of urban ecosystems. ISA is employed in many domains, containing tracking urbanization growth and estimating demographic numbers28. Threshold segmentation can divide ISA into urban land with different construction intensity levels, allowing for the analysis of urban spatial changes29. Landsat-8, a contemporary satellite released by NASA, offers more convenient data acquisition and higher resolution than other satellites in the Landsat family, bolstering the precision of object detection on the ground30. In our previous publications14,15,16 and this research, the spectral mixture analysis was used to categorize Landsat-8 images, analyze the geographical pattern of ISA, segment the research area into 100 m × 100 m grids, calculate the ISA ratio of each grid to indicate the level of urbanization, and classify the urbanization intensity into three levels. Low urbanization intensity means ISA is below 50%, medium urbanization intensity means ISA is 50–80%, and heavy urbanization intensity means ISA is 80% or above29. The map of the study area can be found in our previous publications14,15,16,]28.
Soil sampling
The soil samples were obtained from a built-up area of Nanchang City (505 km2), including 184 green space plots (400 m2 each). These plots were divided into three categories according to their urbanization intensity: 84 low-, 73 medium-, and 27 heavy-urbanization areas. To avoid the influence of exotic soil from green spaces during urbanization, stratified random sampling was employed in this study. A five-point sampling method was applied, and the ring knife method was employed to obtain soil samples from 0 to 20 cm of the soil surface. The surface litter was cleared before soil sampling. Five soil samples from each plot were packed in self-sealing packages, mixed, and weighed on-site to measure fresh weight. After being aired out for drying, the samples were weighed again. Rocks and plant roots were removed, and a composite soil sample was prepared using the quartering method. The soil was then sorted using a 0.149 mm sieve to measure GRSP and soil heavy metal contents. The study area design was obtained by the method of Wang et al.14.
Determination of GRSP contents
Easily extractable GRSP (EE-GRSP) and total GRSP (T-GRSP) were extracted from the soil using the Wright and Upadhyaya method13. The T-GRSP content was determined as follows: First, a 20 mmol·L−1 sodium citrate solution at a pH of 8.0 was employed as the extraction solution. Second, a 10 mL transparent plastic centrifuge tube was filled with 4 mL of the extraction solution and a 0.500 g soil sample. Two blank samples were used as controls in each batch. Third, a slit was made in the centrifuge tube lid; fourth, the samples were heated to 121℃ in an autoclave for sterilization for 60 min. Fifth, after being centrifuged at 4000 rpm for 6 min, the supernatant was obtained and poured into a 50 mL centrifuge tube. Sixth, 4 mL of a sodium citrate solution was introduced to the centrifuge tube containing the remaining soil precipitate, and then shaken to dissolve the soil. Seventh, after being placed in an autoclave and centrifuged under the same conditions, the above procedures were carried out repeatedly until the supernatant lost its standard reddish-brown color. Finally, the supernatants from each extraction were mixed for testing. The method of determining the EE-GRSP content was as follows: First, a 20 mmol·L−1 sodium citrate solution at a pH of 7.0 was employed as the extraction solution. Second, a 10 mL transparent plastic centrifuge tube was filled with 4 mL of the extraction solution and a 0.500 g soil sample. Two blank samples were included as controls in each batch. Third, a slit was made in the centrifuge tube lid; fourth, the samples were heated to 121℃ in an autoclave for sterilization for 30 min. Finally, after being centrifuged at 4000 rpm for 6 min, the supernatant was obtained for analysis.
The Bradford method was employed to quantitatively measure the GRSP contents. Initially, T-GRSP and EE-GRSP solutions (0.5 mL) were tested, followed by the addition of 5 mL of Coomassie Brilliant Blue G-250. After thorough mixing, the solutions were transferred to glass cuvettes. A spectrophotometer (UV-5500, Metash Corporation, Shanghai, China) was utilized to measure the absorbance at a wavelength of 595 nm. Finally, a standardization plot was utilized with bovine serum albumin for the measurement of the EE-GRSP and T-GRSP contents. The measurement data were obtained by the method of Jin et al.15.
Separation and purification of GRSP
GRSP was separated and purified following the procedure described by Gillespie et al.31. First, a centrifuge tube was filled with 1 g of soil that had been weighed, to which 8 mL of 50 mmol·L−1 of sodium citrate solution at a pH of 8.0 was added. The tube was then heated to 121℃ in an autoclave for sterilization for 60 min for high-temperature extraction. After removing the sample, it was whirled at 4000 rpm in a centrifuge for 15 min, and the supernatant was collected into a centrifuge cup to which sodium citrate solution was added. These operations were repeated until the supernatant became clear and transparent. The supernatant was collected and stored in a refrigerator at 4℃, and 0.1 mol·L−1 dilute HCl solution was introduced to adjust the pH to 2.1. The mixture was subjected to a 60-minute ice bath to precipitate GRSP. After 15 min of centrifugation at 4000 rpm, the supernatant was discarded, and NaOH solution was introduced to completely dissolve the GRSP within the centrifuge cup. The dissolved GRSP solution was transferred to a dialysis bag (8000–14000 Da, American Academy of Sciences), and ultrapure water was added for dialysis for 60 h. The water was altered every 12 h, and the dialysis solution was kept stirring. After dialysis, the solution was placed in a centrifuge container, and impurities were removed by centrifugation at 10,000 rpm for 10 min. The centrifuged solution was freeze-dried and stored in a desiccator for later assessment.
Determination of soil and GRSP-heavy metal elements
Following the method of Zhuang and Gao32, a 0.100 g soil sample was taken, and HF, HNO3, and HClO4 were added in a volume ratio of 5:2:1 in sequence. After microwave digestion, 103Rh was used as an internal standard. The contents of 9 heavy metal elements (V, Ni, Pb, Cu, Cr, Co, As, Cd, and Zn) in the soil were then measured using inductively coupled plasma mass spectrometry (ICP-MS, Agilent 7700x, Agilent Technologies, USA). Each group of samples was set up in triplicate, with a sample element recovery rate of 92.32–107.08%. According to the regional soil environment quality evaluation standard of Jiangxi Province, the background values of soil V, Ni, Cr, Cu, Pb, Co, As, Cd, and Zn were 89.35, 19.00, 48.00, 20.80, 32.10, 9.75, 10.40, 0.10, and 69.00 mg·kg−1, respectively33. The contents of 9 heavy metal elements (V, Ni, Cr, Cu, Pb, Co, Cd, As, and Zn) sequestered by GRSP were determined following the method reported by Wang et al.21. Specifically, 0.03 mg of purified GRSP sample was put into 2 mL of H2O2 and 4 mL of HNO3 solution. After microwave digestion, the measurement was employed using ICP-MS, following the same procedures as for the measurement of soil heavy metals. The contribution rate to the sequestration and the sequestration potential of GRSP for heavy metals were calculated as follows:
\(\:\text{G}\text{R}\text{S}\text{P}\:\text{c}\text{o}\text{n}\text{t}\text{r}\text{i}\text{b}\text{u}\text{t}\text{i}\text{o}\text{n}=\left[\left(\text{G}\text{R}\text{S}\text{P}\times\:{\text{G}\text{R}\text{S}\text{P}}_{\text{n}}\right)/{\text{T}}_{\text{n}}\right]\times\:100\:\text{\%}\) (Formula 2−1)
\(\:\text{G}\text{R}\text{S}\text{P}\:\text{s}\text{e}\text{q}\text{u}\text{e}\text{s}\text{t}\text{r}\text{a}\text{t}\text{i}\text{o}\text{n}\:\text{p}\text{o}\text{t}\text{e}\text{n}\text{t}\text{i}\text{a}\text{l}=\sum\:\left({\text{G}\text{R}\text{S}\text{P}}_{\text{n}}/{\text{T}}_{\text{n}}\right)\times\:100\:\text{\%}\:\:\) (Formula 2–2)
Where GRSP represented the content of GRSP in the soil (mg·g−1), n represented the heavy metal elements, \(\:{\text{G}\text{R}\text{S}\text{P}}_{\text{n}}\) represented the content of each heavy metal element sequestered by GRSP (mg·kg−1), and \(\:{\text{T}}_{\text{n}}\) represented the total content of each heavy metal element (mg·kg−1).
Data processing
The Kolmogorov-Smirnov test was employed to identify data normality, with non-conforming data undergoing logarithmic transformation. Duncan’s multiple comparisons and one-way analysis of variance were employed to identify the differences in the heavy metal contents in the soil, GRSP contents, heavy metal contents in GRSP, contribution rate, and potential of GRSP to sequester heavy metals in different urbanization areas. Principal component analysis (PCA) was employed to identify the principal components of heavy metal elements in the soil sequestered by GRSP, thereby simplifying the data structure while retaining the key information. To ensure the suitability of the data for PCA, three diagnostic tests were conducted using SPSS 26.0, including the computation of the correlation matrix between variables, Bartlett’s test of sphericity, and the Kaiser-Meyer-Olkin (KMO) test. The data were considered appropriate for PCA if any of the following criteria were met: most correlation coefficients between variables were ≥ 0.3, the KMO measure exceeded 0.6, or Bartlett’s test produced a p-value below 0.05. Additional details are provided in the supplementary materials (Tables S1-2). Using ArcGIS 10.0, a spatial interpolation of the soil heavy metal distribution was performed, and spatial distribution maps were generated. Data analysis and visualization were primarily conducted using Origin 2024 and SPSS 26.0.
Results
Spatial distribution and differences of soil heavy metals in different urbanization areas
Spatial distribution differences of soil heavy metal contents in the urban green space
The levels of As and Zn in the urban green space soil in Nanchang were relatively high in the northwest region (Fig. 1). Soil Cd and Pb contents in the soil were relatively high in most areas. Conversely, the Cu, Ni, V, Co, and Cr contents in the soil were lower in the eastern part and higher in the western part. Therefore, the overall spatial mapping of heavy metals in the urban green space soil in Nanchang exhibited relatively lower levels in the eastern part and relatively higher in the western part.
Distribution of soil heavy metal content in urban green space in Nanchang. Note: Map created using ArcGIS 10.0 (https://www.esri.com).
Differences in soil heavy metal contents in different urbanization areas
The Cd, Cr, and Pb contents in the urban green space soil in Nanchang exhibited significant differences based on urbanization intensity (Table 1; P < 0.05). The Cr and Cd contents in heavy urbanization areas (84.38 mg·kg−1 and 0.46 mg·kg−1, respectively) were significantly higher than those in low and medium urbanization areas (1.65- and 1.34-; 1.31- and 1.28-fold, respectively; P < 0.05). The Pb content in medium and heavy urbanization areas was significantly 28% and 37% higher than that in low urbanization areas, respectively (P < 0.05). However, no remarkable differences were found in the contents of other heavy metals, e.g., V, Co, Ni, Cu, Zn, and As in different urbanization areas (P > 0.05), which suggests that the sources and distribution of these metals may be more influenced by natural background and anthropogenic inputs rather than urbanization. In conclusion, urbanization in Nanchang has led to the serious enrichment of heavy metal elements, e.g., Cd, Cr, and Pb.
GRSP content and its differences in sequestrating heavy metals in different urbanization areas
Differences in GRSP contents in different urbanization areas
There were significant differences in the effects of urbanization on the contents of EE-GRSP and T-GRSP in different urbanization areas (Fig. 2). EE-GRSP content was significantly larger (24%) in low urbanization areas (0.62 g·kg−1) than that in heavy urbanization areas (0.50 g·kg−1) (P < 0.05). Furthermore, T-GRSP content was significantly higher in low urbanization areas (2.59 g·kg−1), being 1.17- and 1.19-fold greater than that in medium (2.21 g·kg−1) and heavy urbanization areas (2.17 g·kg−1), respectively (P < 0.05). This indicates that urbanization was not conducive to GRSP accumulation.
Differences in the soil EE-GRSP and T-GRSP contents in different urbanization areas. Note: Different lowercase letters represent notable differences in different urbanization areas (P < 0.05).
Differences in the contents of GRSP sequestrating heavy metals in different urbanization areas
GRSP effectively sequesters heavy metals such as Cu, Cr, V, and Zn in different urbanization areas (Fig. 3). In addition, the heavy metal contents sequestered by GRSP significantly differed. The GRSP-Pb content in low urbanization areas (48.64 mg·kg−1) was significantly (1.33-fold) higher than that in heavy urbanization areas (P < 0.05). The GRSP-Cd content was the highest in low urbanization areas (0.49 mg·kg−1), which was significantly 2.04-fold and 1.69-fold larger than that in medium and heavy urbanization areas, respectively (P < 0.05). Additionally, the GRSP-Ni contents in low and medium urbanization areas (52.78 mg·kg−1, 45.29 mg·kg−1, respectively) were significantly higher (62.7% and 30.4%, respectively) than those in heavy urbanization areas (P < 0.05). No significant differences were found in the contents of heavy metal elements (As, Cr, Cu, Co, Zn, and V) sequestered by GRSP in different urbanization areas (P > 0.05). In summary, with increasing urbanization, the amounts of Cd, Ni, and Pb adsorbed and sequestered by GRSP decreased.
Differences in soil heavy metal contents sequestered by GRSP in different urbanization areas. Note: Different lowercase letters represent notable differences in different urbanization areas (P < 0.05).
PCA of soil heavy metals sequestered by GRSP
PCA identified two principal components that account for 60.6% of the variation in total heavy metals adsorbed on GRSP (Table 2). The two PCA components were selected based on the eigenvalue criterion (eigenvalues ≥ 1, Table S3). The first principal component (PC1) explained 44.0% of the total variance and included GRSP-V, GRSP-Cr, GRSP-Co, GRSP-Zn, GRSP-Ni, and GRSP-As. The second principal component (PC2), accounting for 16.6% of the total variance, mainly included GRSP-Cu and GRSP-Cd.
Correlation between GRSP content and principal component factors of heavy metals in GRSP
Factor 1 is significantly and positively related to both the EE-GRSP and T-GRSP levels (Fig. 4; P < 0.05). This indicates that a higher GRSP content enhanced the adsorption of elements V, Cr, Co, Zn, Ni, and As. Factor 2 also shows a remarkably positive relation with T-GRSP content (P < 0.05; R2 = 0.040), whereas no significant correlation is observed with EE-GRSP content (P > 0.05). This suggests that the sequestration of Cu and Cd (Factor 2), is more strongly associated with T-GRSP than with EE-GRSP. This is likely because T-GRSP, as a more stable and long-lasting component, plays a more significant role in binding and sequestering these metals, while EE-GRSP, being more labile and recently produced, may have a less direct impact on their sequestration.
Correlation between GRSP contents and principal component factors of heavy metals bound to GRSP.
Contribution and adsorption of heavy metals sequestered by GRSP in different urbanization areas
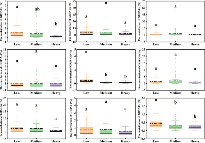
Differences in contribution rates of soil heavy metals sequestered by GRSP
GRSP-Cu, GRSP-Ni, and GRSP-Zn strongly contributed to the heavy metals in different urbanization areas (Fig. 5). The contribution rates of heavy metals sequestered by GRSP to soil heavy metals significantly differed. The contribution rates of GRSP-Pb and GRSP-Cd to soil Pb and Cd in low urbanization areas were significantly 1.53-, 1.98-, 2.94- and 2.36-fold larger than those in medium and heavy urbanization areas, respectively (P < 0.05). The contribution rate of GRSP-Cr to soil Cr in low urbanization intensity (10.36%) was significantly (3.35-fold) larger than that in heavy urbanization areas (P < 0.05). There were no remarkable differences in the contribution rates of other heavy metal elements in GRSP to the soil heavy metals (P > 0.05). Therefore, urbanization significantly reduced the ability of GRSP to sequester metal elements, e.g., Cr, Cd, and Pb.
Differences in the contribution rate of soil GRSP-bound heavy metals to the soil heavy metal contents in different urbanization areas. Note: Different lowercase letters represent notable differences in different urbanization areas (P < 0.05). The black horizontal line means the median, and the black horizontal dash-line means the average. Boxes: 25–75%; whiskers: 10–90%.
Differences in sequestration potential of soil heavy metals by GRSP in different urbanization areas
The potential for GRSP to adsorb heavy metals in low urbanization areas was Cu > Ni > Zn > Co > As > Cr > V > Pb > Cd in the areas with different urbanization intensities (Fig. 6). The potential for GRSP to adsorb Zn was higher in areas with medium and heavy urbanization intensity, whereas the Ni adsorption effect of GRSP was weaker. Remarkable differences were found in the metal adsorption potentials of GRSP. Among the nine heavy metals considered, the potential of GRSP to adsorb Cu was the highest (14.71–23.77%). Overall, the potential of GRSP to sequester heavy metal elements was stronger in low and medium urbanization areas.
Differences in the sequestration potential of soil heavy metals by GRSP in different urbanization areas. Note: Different lowercase letters represent notable differences in different urbanization areas (P < 0.05).
Discussion
Urbanization led to severe accumulation of soil pb, Cr, and Cd
The distribution of metals such as V, Co, Ni, Cu, and Cr in the urban green space soil in Nanchang indicated that there are lower contents in the western part and higher contents in the eastern part (Fig. 1). Many industrial parks hosting smelters, steel mills, chemical plants, and electroplating factories are built in the western part of Nanchang. Most industrial wastewater enters the soil through sewage discharge and atmospheric deposition, which are the main reasons for the high heavy metal levels in this area. In contrast, the eastern part features several large green spaces, such as the Aixihu Forest Wetland Park and Yaohu Country Forest Wetland Park, where higher vegetation coverage and reduced human activities generally correspond to lower accumulations of heavy metals34.
Urbanization often drives industrial development, resulting in environmental pollution35 particularly the severe enrichment of heavy metals20. In heavy urbanization areas in Nanchang, the contents of Pb, Cr, and Cd were significantly higher than those in low urbanization areas, by 65.4%, 31.4%, and 28.1%, respectively. The soil contains two forms of chromium: the highly dangerous hexavalent (Cr (VI)) and harmless trivalent chromium (Cr (III)). Additionally, Cr often originates from the metallurgy, refractory materials, and chemical industries36, whereas Cd generally originates from the steel industry, waste incineration, and zinc production37. Pb originates from industrial emissions, exhaust fumes from gasoline-powered vehicles, and lead-containing paints38. The high Cr content in heavy urbanization areas may be due to the type of paint used on the roads. Lead chromate, a commonly used industrial pigment known for its bright yellow color and lightfastness, is widely used in paints and coatings, particularly for road markings and pavement applications39. Industrial pollution in heavy urbanization areas may cause the enrichment of heavy metals. Similarly, the contents of Pb and Cd in the urban soil of Iran were 41–70% and 43–69% higher than those in non-urban soil, respectively. This accumulation was attributed to nearby activities such as food processing, storage units, hair dye factories, metal electroplating facilities, and plastic production40. Moreover, the deposition of aerosol particles from the combustion of automotive fuels in heavy urbanization areas41 wear and tear of brake pads, and the erosion of leaded wheel weights42 are the primary causes of elevated Pb levels in the soil. Based on the Nanchang Municipal Bureau of Statistics, by the end of 2022, the number of civilian car owners had risen to 1.48 million, reflecting a year-on-year increase of 7.2%, indicating a rise in car usage associated with urbanization. Similarly, in the Huangpu River area in Shanghai, the average Pb content in road soil was found to be 27.9 mg·kg−143. Human behaviors are the primary cause of the enrichment of soil heavy metals. In heavy urbanization areas, dense human activities damage the soil structure and increase soil compaction, which restricts soil aeration and water infiltration44. As a result, the enrichment of heavy metals, e.g., Pb, Cr, and Cd, is further exacerbated.
Urbanization can reduce the ability of GRSP to sequester heavy metals
One function of GRSP is to adsorb and sequester soil heavy metals. However, urbanization has reduced both the content and potential of GRSP to sequester heavy metals, e.g., Pb, Cr, and Cd (Fig. 5). Insufficient GRSP content is one reason for the decreased ability to sequester heavy metals, as research suggests that GRSP is a significant factor in the heavy metals cycle of terrestrial ecosystems20. Therefore, increasing the GRSP content in the soil can enhance its capacity to adsorb heavy metals. Additionally, urbanization leads to an increase in ISA and alterations in the soil enzyme activity. Therefore, ISA indirectly results in decreased GRSP contents14. A lower GRSP content hinders Cd sequestration in the soil (Fig. 4). Moreover, GRSP can effectively sequester Pb, thereby decreasing the amount of free Pb available in the soil45. In conclusion, the content of GRSP and its potential to sequester Pb may be lowered in heavy urbanization areas. However, urban ecosystems are influenced by human activities, and areas with intense human activities affect soil microbes46. The capacity of AMF spores and hyphae to endure soil pollutants is diminished in these areas26. When the GRSP production is lower than the emissions of heavy metals, the number of heavy metals adsorbed and sequestered by GRSP decreases. Thus, this decline may reduce the potential of GRSP to sequester Cd, Pb, and Cr. Given these findings, it is essential to explore the maximum environmental capacity for heavy metals in different urban soil regions during urbanization to develop effective strategies for pollution control and sustainable urban development. Moreover, it will enable the accurate assessment of the maximum capacity of GRSP to sequester heavy metals, thereby enhancing our ability to manage soil contamination and protect urban ecosystems47.
GRSP had a varied adsorption effect on heavy metals in heavy urbanization areas, with Cu showing the greatest adsorption (Fig. 6). It could be inferred that AMF enhanced the adsorption and accumulation of Cu by host plants. GRSP may be a key intermediary substance for AMF adsorption48. Heavy metal ions vary in charge, radius, and chemical properties, and the presence of ions and soil organic content in the soil affects the adsorption capacities of the functional groups in GRSP for heavy metal ions49,50. Urbanization in Nanchang has weakened the adsorption effect of GRSP on Cr (Fig. 5), which may be responsible for the increase in ISA and the decrease in green space areas. The capacity of GRSP to sequester Cr (VI) can reach 0.126 mmol/g, and exposure to ultraviolet (UV) light can enhance the adsorption rate by 4–7%51. This enhancement may occur because UV radiation alters the reactive areas on the interface of GRSP, affecting the functional groups of GRSP to adsorb Cr (VI)52. As urbanization intensity increases, the expansion and increase in building size limit the growth space for plants and affect light conditions. The shading effect of urban buildings reduces UV radiation received on the soil surface, which may further decrease the adsorption effect of GRSP on Cr. Simultaneously, GRSP adsorbs heavy metal ions through functional groups on its surface, including amino, carboxyl, and hydroxyl groups. This adsorption can lower the solubility of heavy metal ions, thereby decreasing their toxicity and migration risk53. GRSP can effectively adsorb more soil heavy metals than other soil components like biochar and minerals54. Therefore, further study is needed to investigate the mechanisms of the diminished adsorption effect of GRSP on heavy metals due to urbanization.
Future perspectives
Rapid urbanization and intense human behaviors have caused the emergence and enrichment of contaminants, causing widespread soil contamination40. The degradation of the soil environment due to urbanization and industrialization is a global environmental and health issue55. Urban soil contaminated with heavy metals poses serious health risks because of their long persistence, high toxicity, and potential to enter the food chain56. Moreover, the ecological and remediation management of heavy metals in urban soil has received considerable attention from governments and scientists. The Chinese government has committed to strengthening ecological and environmental protection, further promoting the control and prevention of the pollution of the atmosphere, water, and soil, and ensuring the continuous improvement of environmental quality (https://www.mee.gov.cn/). Our research team initially investigated the potential and mechanisms to sequester heavy metals in different urbanization areas to address the issues concerning soil heavy metal pollution during urbanization. This work is a theoretical basis for mitigating heavy metal pollution in urban areas.
GRSP adsorbs and sequesters heavy metals in terrestrial ecosystems20. The ability of GRSP to sequester and adsorb heavy metal can be effectively enhanced by either applying GRSP exogenously or selecting host plants with a strong symbiotic relationship with AMF. However, the potential of GRSP to sequester heavy metals is relatively low in heavy urbanization areas. AMF can alleviate heavy metal toxicity by directly remediating soil contaminants through GRSP secretion and by indirectly improving the resistance of host plants57. Moreover, contamination of heavy metals can be mitigated at its source. Measures such as reducing pollution from human and industrial activities, advocating for green travel, implementing green construction practices, and minimizing the pollution produced by building materials contribute to sustainable development. Reducing heavy metal pollution is a complex and multilateral task that requires joint efforts from government bodies, enterprises, and the public. The mechanism through which GRSP sequesters heavy metals mainly involves its role in stabilizing soil aggregates58. GRSP remediates heavy-metal-contaminated soil by altering the nutrient levels within the soil aggregates and influencing microbial activity59. The distribution of binding sites for metal cations within the soil active components varies with the diameter of the soil particles21. Therefore, as modern testing technology advances, the mechanism of GRSP interacting with and reducing soil heavy metal elements can be detected and analyzed at the molecular level. Thus, the mechanism of GRSP migration in adsorbing heavy metals can be understood. Techniques including scanning electron microscopy-energy dispersive spectroscopy, extended X-ray adsorption fine structure, and X-ray adsorption near-edge structure are valuable for exploring GRSP’s heavy metal sequestration mechanisms60.
Conclusions and implications
This research indicated the adsorption potential of GRSP for V, Ni, Cr, Cu, Pb, Co, Zn, Cd, and As in different urbanization areas in Nanchang, China. Heavy metal distribution was generally lower in the eastern part and higher in the western part of Nanchang. Urbanization induced a severe or excessive enrichment of soil Cr, Cd, and Pb; however, GRSP contents showed a decline in accumulation. With rapid urbanization, GRSP has been recognized as a crucial factor in adsorbing soil heavy metals. The ability of GRSP to sequester Pb and Cd was reduced in heavy urbanization areas. In summary, the adsorption potential of GRSP for heavy metals is higher in low and medium urbanization areas than in heavy urbanization areas. The decreased sequestration of heavy metals by GRSP under urbanization may be due to insufficient GRSP content, the tolerance of AMF, and changes in the adsorption mechanism of GRSP. In the future, potted experiments should be implemented to investigate the redistributed mechanism of GRSP on heavy metals in different urbanization areas at the molecular level in depth. The potential of GRSP on heavy metals can be highlighted in heavy urbanization areas, providing a more thorough understanding of the pollution problems caused by urbanization. The primary contribution of this study lies in elucidating the mechanisms by which GRSP sequesters soil heavy metals under urbanization, thereby providing theoretical support for the improvement and management of the urban soil environment. GRSP can enhance the adsorption capacity of the urban soil for heavy metals, effectively reducing the threats posed by heavy metal pollution to the environment and human health. These findings offer scientific evidence for sustainable urban development and pollution control, advancing knowledge in the relevant fields.
Data availability
The datasets generated during the current study are available from the corresponding author on reasonable request.
References
Seto, K. C., Güneralp, B. & Hutyra, L. R. Global forecasts of urban expansion to 2030 and direct impacts on biodiversity and carbon pools. Proc. Natl. Acad. Sci. 109, 16083–16088 (2012).
Guo, C., Kuang, W. & Dou, Y. Efficiency and greenness evaluation of urban land use change in the Yangtze river economic belt, China. Land. Degrad. Dev. 35, 3832–3843 (2024).
Wang, Q. et al. Urbanization-induced glomalin changes and their associations with land-use configuration, forest characteristics, and soil properties in changchun, Northeast China. J. Soils Sediments 19, 2433–2444 (2019).
Shi, T. et al. Digital mapping of heavy metals in urban soils: A review and research challenges. Catena 228, 107183 (2023).
Xiang, M. et al. Heavy metal contamination risk assessment and correlation analysis of heavy metal contents in soil and crops. Environ. Pollut. 278, 116911 (2021).
Yu, G., Chen, F., Zhang, H. & Wang, Z. Pollution and health risk assessment of heavy metals in soils of guizhou, China. Ecosyst. Health Sustain. 7, 1859948 (2021).
Štrbac, S. et al. Spatial distribution and source identification of heavy metals in European mountain Beech forests soils. Chemosphere 309, 136662 (2022).
Zhang, T. et al. Spatial distribution, source identification, and risk assessment of heavy metals in riparian soils of the Tibetan plateau. Environ. Res. 237, 116977 (2023).
Saha, A. et al. A comprehensive study of source apportionment, Spatial distribution, and health risks assessment of heavy metal(loid)s in the surface soils of a semi-arid mining region in matehuala, Mexico. Environ. Res. 260, 119619 (2024).
Khalid, S. et al. A comparison of technologies for remediation of heavy metal contaminated soils. J. Geochem. Explor. 182, 247–268 (2017).
Liu, L., Li, W., Song, W. & Guo, M. Remediation techniques for heavy metal-contaminated soils: principles and applicability. Sci. Total Environ. 633, 206–219 (2018).
Azhar, U. et al. Remediation techniques for elimination of heavy metal pollutants from soil: A review. Environ. Res. 214, 113918 (2022).
Wright, S. F. S. M. & Upadhyaya, A. A survey of soils for aggregate stability and glomalin, a glycoprotein produced by hyphae of arbuscular mycorrhizal fungi. Plant. Soil. 198, 97–107 (1998).
Wang, Q. et al. Spatial change in glomalin-related soil protein and its relationships with soil enzyme activities and microbial community structures during urbanization in nanchang, China. Geoderma 434, 116476 (2023).
Jin, T. et al. Effects of urbanization intensity on glomalin-related soil protein in nanchang, china: influencing factors and implications for greenspace soil improvement. J. Environ. Manage. 318, 115611 (2022).
Cai, C. Y. M. et al. Effects of Glomalin-related soil protein driven by root on forest soil aggregate stability and carbon sequestration during urbanization in Nanchang, China. Plants. 12, 1847 (2023).
Rillig, M. C. et al. Elevated carbon dioxide and irrigation effects on water stable aggregates in a Sorghum field: a possible role for arbuscular mycorrhizal fungi. Glob Change Biol. 7, 333–337 (2001).
Zhang, J. et al. Accumulation of glomalin-related soil protein benefits soil carbon sequestration: tropical coastal forest restoration experiences. Land. Degrad. Dev. 33, 1541–1551 (2022).
Zhou, X., Wang, T., Wang, J., Chen, S. & Ling, W. Research progress and prospect of glomalin-related soil protein in the remediation of slightly contaminated soil. Chemosphere 344, 140394 (2023).
Chen, H. et al. Sequestration of heavy metals in soil aggregates induced by glomalin-related soil protein: A five-year phytoremediation field study. J. Hazard. Mater. 437, 129445 (2022).
Wang, Q. et al. Sequestration of heavy metal by glomalin-related soil protein: implication for water quality improvement in Mangrove wetlands. Water Res. 148, 142–152 (2019).
Cornejo, P. et al. Contribution of inoculation with arbuscular mycorrhizal fungi to the bioremediation of a copper polluted soil using Oenothera picensis. J. Soil. Sci. Plant. Nutr. 17, 14–21 (2016).
Hong, H. et al. Centennial-scale source shift in potentially toxic metal(loid)s in Yangtze river. J. Hazard. Mater. 461, 132526 (2024).
Wu, Z. et al. Decomposition and the contribution of glomalin-related soil protein (GRSP) in heavy metal sequestration: field experiment. Soil. Biol. Biochem. 68, 283–290 (2014).
Wang, F. Occurrence of arbuscular mycorrhizal fungi in mining-impacted sites and their contribution to ecological restoration: mechanisms and applications. Crit. Rev. Environ. Sci. Technol. 47, 1901–1957 (2017).
Galazka, A. et al. Fungal community, metabolic diversity, and Glomalin-related soil proteins (GRSP) content in soil contaminated with crude oil after long-term natural bioremediation. Front. Microbiol. 11, 572314 (2020).
Liu, Y. et al. The long-term effects of reforestation on soil microbial biomass carbon in sub-tropic severe red soil degradation areas. Ecol. Manage. 285, 77–84 (2012).
Zhang, F. et al. Urbanization-induced soil organic carbon loss and microbial-enzymatic drivers: insights from aggregate size classes in Nanchang city, China. Front. Microbiol. 15, 1367725 (2024).
Hutyra, L. R., Yoon, B. & Alberti, M. Terrestrial carbon stocks across a gradient of urbanization: a study of the seattle, WA region. Glob Change Biol. 17, 783–797 (2011).
Zhang, D. et al. Effects of urbanization intensity on forest structural-taxonomic attributes, landscape patterns and their associations in changchun, Northeast china: implications for urban green infrastructure planning. Ecol. Indic. 80, 286–296 (2017).
Gillespie, A. W. et al. Glomalin-related soil protein contains non-mycorrhizal-related heat-stable proteins, lipids and humic materials. Soil. Biol. Biochem. 43, 766–777 (2011).
Zhuang, W. & Gao, X. Acid-volatile sulfide and simultaneously extracted metals in surface sediments of the Southwestern coastal Laizhou bay, Bohai sea: concentrations, Spatial distributions and the indication of heavy metal pollution status. Mar. Pollut Bull. 76, 128–138 (2013).
Xu, G., He, J., Guo, Y., Zhu, H. & Gui, X. Soil environmental quality evaluation standards for Jiangxi Province. China Environ. Monitoring 6–8 (1992).
Han, D., Wang, W., Chen, L. & Wang, E. Forest structural traits influence concentrations of snow deposited particulate matter and metal elements in urban forests in NE china: implications for winter air pollution control in high-latitude regions of the Northern hemisphere. Atmos. Pollut Res. 15, 102060 (2024).
Zheng, F. et al. Variation in pollution status, sources, and risks of soil heavy metals in regions with different levels of urbanization. Sci. Total Environ. 866, 161355 (2023).
Kotaś, J. & Stasicka, Z. Chromium occurrence in the environment and methods of its speciation. Environ. Pollut. 107, 263–283 (2000).
Hutton, M. Sources of cadmium in the environment. Ecotoxicol. Environ. Saf. 7, 9 (1983).
Hefa, C. & Hu, Y. Lead (Pb) isotopic fingerprinting and its applications in lead pollution studies in china; a review. Environ. Pollut. 158, 1134–1146 (2010).
Lee, P. K. et al. Lead chromate detected as a source of atmospheric Pb and cr (VI) pollution. Sci. Rep. 6, 36088 (2016).
Rezapour, S., Siavash Moghaddam, S. & Nouri, A. Khosravi aqdam, K. Urbanization influences the distribution, enrichment, and ecological health risk of heavy metals in croplands. Sci. Rep. 12, 3868 (2022).
Ji, Z. et al. Enrichment differences and source apportionment of nutrients, stable isotopes, and trace metal elements in sediments of complex and fragmented wetland systems. Environ. Pollution. 289, 117852 (2021).
Smichowski, P., Gómez, D., Frazzoli, C. & Caroli, S. Traffic-Related elements in airborne particulate matter. Appl. Spectrosc. Rev. 43, 23–49 (2008).
Bai, Y., Wang, M., Peng, C. & Alatalo, J. M. Impacts of urbanization on the distribution of heavy metals in soils along the Huangpu river, the drinking water source for Shanghai. Environ. Sci. Pollut. Res. Int. 23, 5222–5231 (2016).
Song, Z. et al. Chemical characteristics, distribution patterns, and source apportionment of particulate elements and inorganic ions in snowpack in Harbin. China Chemosphere. 349, 140886 (2024).
Malekzadeh, E., Aliasgharzad, N., Majidi, J., Abdolalizadeh, J. & Aghebati-Maleki, L. Contribution of glomalin to Pb sequestration by arbuscular mycorrhizal fungus in a sand culture system with clover plant. Eur. J. Soil. Biol. 74, 45–51 (2016).
Rodrigues, J. L. et al. Conversion of the Amazon rainforest to agriculture results in biotic homogenization of soil bacterial communities. Proc. Natl. Acad. Sci. U. S. A. 110, 988–993 (2013).
Han, S. et al. Investigating the environmental capacity of soil heavy metals and its determinants in agro-pastoral regions of the qinghai-tibetan plateau. Environ. Geochem. Health. 46, 407 (2024).
Zhou, X. et al. Arbuscular mycorrhizal fungi enhance the copper tolerance of Tagetes patula through the sorption and barrier mechanisms of intraradical hyphae. Metallomics 9, 936–948 (2017).
Yuan, B. et al. Immobilization of lead (II) and zinc (II) onto glomalin-related soil protein (GRSP): adsorption properties and interaction mechanisms. Ecotoxicol. Environ. Saf. 236, 113489 (2022).
Fontes, M. P. F. & Gomes, P. C. Simultaneous competitive adsorption of heavy metals by the mineral matrix of tropical soils. Appl. Geochem. 18, 795–804 (2003).
Yuan, B. et al. Enhanced cr (VI) stabilization by terrestrial-derived soil protein: photoelectrochemical properties and reduction mechanisms. J. Hazard. Mater. 465, 133153 (2024).
Kong, Y., Wang, L., Ge, Y., Su, H. & Li, Z. Lignin Xanthate resin-bentonite clay composite as a highly effective and low-cost adsorbent for the removal of Doxycycline hydrochloride antibiotic and mercury ions in water. J. Hazard. Mater. 368, 33–41 (2019).
Anirudhan, T. S., Jalajamony, S. & Sreekumari, S. S. Adsorption of heavy metal ions from aqueous solutions by amine and carboxylate functionalised bentonites. Appl. Clay Sci. 65–66, 67–71 (2012).
Lin, L. et al. Sequestration of strontium, nickel, and cadmium on glomalin-related soil protein: interfacial behaviors and ecological functions. Sci. Total Environ. 881, 163461 (2023).
Xia, F., Zhao, Z., Niu, X. & Wang, Z. Integrated pollution analysis, pollution area identification and source apportionment of heavy metal contamination in agricultural soil. J. Hazard. Mater. 465, 133215 (2024).
Yuan, X., Xue, N. & Han, Z. A meta-analysis of heavy metals pollution in farmland and urban soils in China over the past 20 years. J. Environ. Sci. 101, 217–226 (2021).
Riaz, M. et al. Arbuscular mycorrhizal fungi-induced mitigation of heavy metal phytotoxicity in metal contaminated soils: A critical review. J. Hazard. Mater. 402, 123919 (2021).
Agnihotri, R. et al. Glycoproteins of arbuscular mycorrhiza for soil carbon sequestration: review of mechanisms and controls. Sci. Total Environ. 806, 150571 (2022).
Khan, M. A. et al. Associative effects of lignin-derived Biochar and arbuscular mycorrhizal fungi applied to soil polluted from Pb-acid batteries effluents on barley grain safety. Sci. Total Environ. 710, 136294 (2020).
Sparks & L D. Advances in coupling of kinetics and molecular scale tools to shed light on soil biogeochemical processes. Plant. Soil. 387, 1–19 (2015).
Acknowledgements
This study was supported by the National Natural Science Foundation of China (32460380, 42007042), Natural Science Foundation of Jiangxi Province (20242BAB25389).
Author information
Authors and Affiliations
Contributions
Jiamei Tu: Data curation, Formal analysis, Visualization, Writing-original draft, review & editing. Foyi Zhang: Methodology, Visualization, Supervision, Writing-original draft, review & editing. Fei Huang: Methodology, Conceptualization, Resources, Writing-original draft, review & editing. Jingwang Ran: Data curation, Formal analysis, Software. Yi Wang: Visualization, Supervision, Software. Siyu Xie: Methodology, Visualization, Supervision. Jiali Zeng: Methodology, Visualization, Supervision. Qiong Wang: Methodology, Writing-original draft, review & editing, Conceptualization, Funding acquisition.
Corresponding author
Ethics declarations
Competing interests
The authors declare no competing interests.
Additional information
Publisher’s note
Springer Nature remains neutral with regard to jurisdictional claims in published maps and institutional affiliations.
Electronic supplementary material
Below is the link to the electronic supplementary material.
Rights and permissions
Open Access This article is licensed under a Creative Commons Attribution-NonCommercial-NoDerivatives 4.0 International License, which permits any non-commercial use, sharing, distribution and reproduction in any medium or format, as long as you give appropriate credit to the original author(s) and the source, provide a link to the Creative Commons licence, and indicate if you modified the licensed material. You do not have permission under this licence to share adapted material derived from this article or parts of it. The images or other third party material in this article are included in the article’s Creative Commons licence, unless indicated otherwise in a credit line to the material. If material is not included in the article’s Creative Commons licence and your intended use is not permitted by statutory regulation or exceeds the permitted use, you will need to obtain permission directly from the copyright holder. To view a copy of this licence, visit http://creativecommons.org/licenses/by-nc-nd/4.0/.
About this article
Cite this article
Tu, J., Zhang, F., Huang, F. et al. Effects of urbanization on soil heavy metal accumulation and improvement using Glomalin-related soil protein. Sci Rep 15, 22000 (2025). https://doi.org/10.1038/s41598-025-05456-5
Received:
Accepted:
Published:
Version of record:
DOI: https://doi.org/10.1038/s41598-025-05456-5








