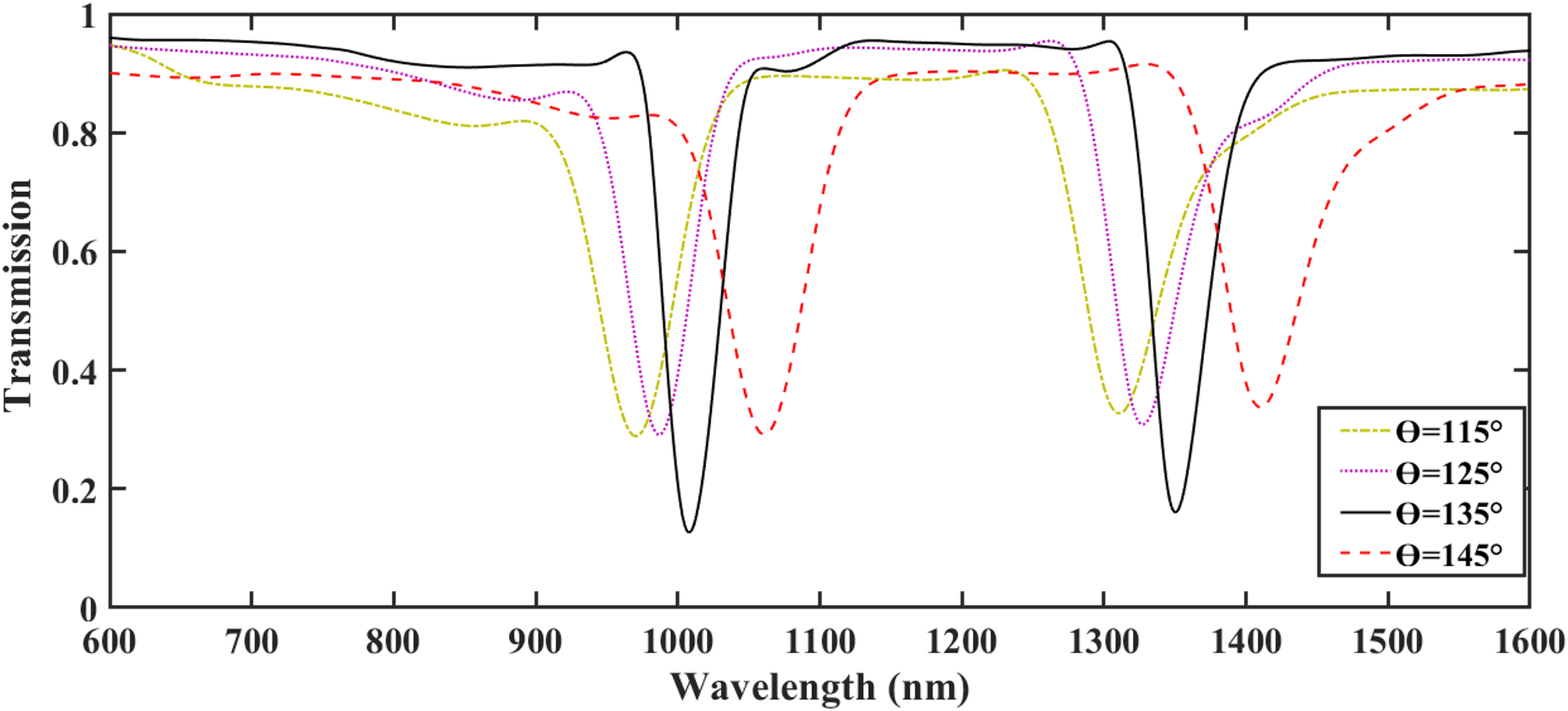
Fig. 3

Simulation results of the transmission rate for different angles (θ) with W1 = 60 nm, L1 = 160 nm, L2/L3 = 1.2, and d = 12.5 nm.

Simulation results of the transmission rate for different angles (θ) with W1 = 60 nm, L1 = 160 nm, L2/L3 = 1.2, and d = 12.5 nm.