Fig. 3
From: A hybrid computational framework for fractional cancer diffusion models in uncertain settings

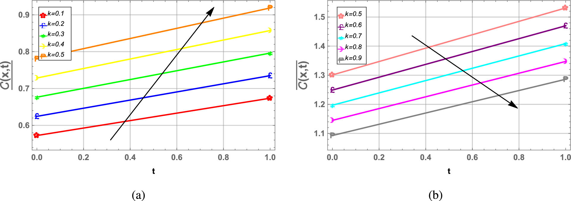
Plots of cell concentration against time while fractional order \(\beta =0.7\) and \(x=2\) - Problem 1.
From: A hybrid computational framework for fractional cancer diffusion models in uncertain settings

Plots of cell concentration against time while fractional order \(\beta =0.7\) and \(x=2\) - Problem 1.