Abstract
Cancer tumor modeling is crucial for understanding tumor dynamics, treatment strategies, and the effects of therapies on progression. While extensive research exists on fractional cancer models, innovation is limited in incorporating fuzzy-fractional calculus into cancer diffusion models. This paper introduces a fuzzy-fractional diffusion cancer model solved using the He-Laplace algorithm in the Liouville-Caputo sense. A novel hybrid algorithm, combining homotopies, perturbation techniques, and Laplace transforms, is developed to solve this complex model. Our method employs triangular fuzzy numbers to capture uncertainty, enabling analysis of cancer diffusion across lower and upper bounds and extending beyond conventional crisp models, opening up an entirely new domain. This model explores two different scenarios for the killing rate of cancer cells, namely time-dependent killing rate, and space dependent killing rate. Numerical solutions are provided for both lower and upper bounds, with results varying across different fractional orders and residual errors calculated to validate the method’s authenticity and applicability. 2D and 3D visualizations demonstrate the model’s complexity, and solutions are analyzed in a fuzzy environment. Contour diagrams further enhance the accuracy of capturing diffusion models in the fuzzy-fractional context. The results demonstrate the method’s efficiency and accuracy, providing valuable insights into cancer tumor dynamics. It effectively models tumor heterogeneity, improving understanding, prediction, and treatment optimization. Future work could involve applying real-life data to compare the simulation’s accuracy in reflecting real-world tumor dynamics. This study emphasizes the method’s effectiveness for solving complex models in scientific and biological fields.
Similar content being viewed by others
Introduction
The complexities of cancer tumors have sparked significant research in this area, drawing the attention of both medical and biological scientists as well as applied mathematicians1. A multitude of methods have been introduced and implemented in order to distinctly and thoroughly examine the different patterns of tumor growth and therapeutic approaches or medicines2. Some of these approaches are based on statistical models3, utilizing techniques such as the expectation-maximization algorithm4 or experimental methods5. These studies typically focus on tumor growth or decay as a time-dependent process6. One model explored involves a one-dimensional growth equation with varying constant rates of cancer cell proliferation by Adam et al.7. Another approach by Cristini et al.8 uses simulations to study the growth or decay of tumor cells over time. In this paper, we concentrate on a fuzzy-fractional diffusion model that accounts for both spatial and temporal variations in tumor cell concentration and the killing rate. Numerous diffusion-based model were previously suggested, which describe a spherical tumor with a proliferation rate and mostly only time-dependent killing rate by their respective governing equations in9,10,11.
Moyo and Leach12 investigated the one dimensional version of this model with variable killing rate \(\mathbb {K}\) using Lie symmetry method as described below:
where \(\beta\) represents the fractional order and \({\mathcal {C}}(x,t)\) represents the cancer tumor cells concentration at a given time t and position x. A major contribution of their work is the flexibility of the therapy-dependent killing rate \(\mathbb {K}\), which can depend on both position and time, rather than being constrained to a fixed or purely time-dependent value.
Burgess et al.13 proposed a diffusion-based model to examine the interaction between growth rates, diffusion coefficients, therapy-dependent killing rate (\(\mathbb {K}\)), and proliferation rate (\(p\)) in spherical cancer tumors, with the diffusivity coefficient \((\mathbb {D})\) representing its diffusion rate by using the governing equation:
While fractional (non-integer) derivatives14 have been around as long as classical (integer) derivatives15, their importance in real-world applications has only recently been fully appreciated by researchers16. Over the past few decades, fractional derivatives have become recognized for their ability to explain phenomena that classical derivatives cannot model17. The widespread use of fractional derivatives across various disciplines highlights their effectiveness, particularly in modeling biological systems18 where it has been used quite effectively and constructively for a while now. Additionally, fractional-order derivatives have been extensively applied to model a range of physical phenomena. Recent studies, such as those by Liouville-Caputo19, have shed light on several of these applications20. Cooper and Cowan21 discussed how the ability to calculate derivatives of any order allows for the use of the optimal order based on noise levels, achieving the best spatial resolution in geophysical data. Additional fields where fractional derivatives have been applied include meteorology22, Earth system dynamics23, semiconductors24, astrophysics25, groundwater flow26, the Belousov-Zhabotinsky reaction model27, in mathematical biology28 and in computational fluid dynamics29.
In the cancer tumor model, there has been extensive research when it comes to the application of the concept of fractional order derivative in this context. Ozkose et al.30 presented a fractional modeling of tumor–immune system interaction related to lung cancer with real data. Simon et al.31 put forth optimal systems, series solutions and conservation laws for a time fractional cancer tumor model. Korpinar et al.32 gave a residual power series algorithm for fractional cancer tumor models. Further, Kumar et al.33 presented a chaos study of tumor and effector cells in fractional tumor-immune model for cancer treatment. Zimon et al.34 introduced a fractional diffusion equation model for cancer tumor. Li et al.10 put forth a method for predicting the aggressiveness of peripheral zone prostate cancer using a fractional order calculus diffusion model. Further, Qayumm et al.11 put forth a detailed analysis on modeling of cancer tumor dynamics mathematically with integrated and numerous fuzzification approaches in a fractional environment. Further an exploration of time-fractional cancer tumor models with variable cell killing rates via hybrid algorithm was also presented by Qayumm and Ahmad35. However, it is essential to acknowledge that the precise values of different variables in cancer tumor models are uncertain in real-world scenarios. Therefore, adopting a fuzzy-fractional cancer tumor model is vital to achieve more accurate results, which can enhance prediction and treatment strategies for cancer tumors.
In practical scenarios, real-world phenomena often exhibit uncertainty and imprecision in the key variables of their governing models. Such uncertainties are commonly observed in diverse fields like manufacturing, medicine, and engineering. The concept for solving fuzzy fractional differential equations by fuzzy Laplace transforms was thoroughly investigated by Salahshour et al.36. Analysis of fuzzy differential equation with fractional derivative in Liouville-Caputo sense was studied by Ain et al.37. Application of fuzzy ABC fractional differential equations in infectious diseases was presented by Babakordi and Allahviranloo38. Abuasbeh and Shafqat39 introduced a fractional Brownian motion for a system of fuzzy fractional stochastic differential equation. Yu et al.40 signified the role of fuzzy fractional differential equation in the construction of low carbon economy statistical evaluation system. Akram et al.41 presented an analytical solution of the Atangana–Baleanu–Caputo fractional differential equations using Pythagorean fuzzy sets. Similarly, there has been extensive research recently on various real world applications of fuzzy-fractional environment to highlight its significance in understanding numerous phenomenons in an uncertain limelight at lower and upper bounds both, as can be observed in42,43,44,45.
The He-Laplace algorithm merges the homotopy perturbation method46 with the Laplace transform, delivering a highly efficient and accurate numerical solution for complex fractional differential equations, particularly in cases where traditional methods are inadequate. This powerful approach has been successfully applied to a wide range of physical phenomena, such as exploring general nonlinear periodic solitary solutions in vibration equations47, analyzing nonlinear vibration systems and nonlinear wave equations48, solving generalized third-order time-fractional KdV models49, also new solutions of fuzzy-fractional Fisher models via optimal He–Laplace algorithm was presented by Qayumm et al.50 and there has been some study on nonlinear vibrations in shallow water waves by Li and Nadeem51.
While the Laplace–homotopy perturbation framework itself is well established, our work breaks new ground by integrating it into a Liouville–Caputo fuzzy–fractional setting using triangular fuzzy numbers to model uncertainty, by creating a novel “He-Laplace” hybrid algorithm that fuses multiple homotopies with perturbation techniques and Laplace transforms for faster convergence and superior accuracy, and by delivering bounded-behavior insights via lower- and upper-bound solutions, residual-error analysis, 2D/3D visualizations, and contour maps — collectively advancing beyond traditional crisp or simple fractional models and setting a new benchmark for cancer diffusion simulations. Therefore, to sum it up, this study aims to develop and examine a fuzzy-fractional cancer diffusion model incorporating time-dependent and position-dependent killing rates as well as proliferation rates under two distinct scenarios. To account for uncertainties in the tumor model, triangular fuzzy numbers are applied to the initial conditions. The effectiveness and precision of the proposed novel approach will be assessed by computing residual errors.
The manuscript is structured as follows: Preliminaries are presented in “Preliminaries” section, the convergence and error estimation is provided in “Convergence properties and error performance for the He-Laplace method” section, followed by the formulation of fractional and fuzzy-fractional coupled cancer tumor model with chemotherapy impact in “Model formulation of cancer diffusion models” section. Further, the general methodology for He-Laplace procedure is given in “General methodology of He-Laplace computation for the solution of fuzzy-fractional partial differential equation” section and the numerical solution applied in case of fuzzy-fractional cancer model is explained in “Numerical solution of fuzzy-fractional cancer diffusion models” section. Furthermore, the results and discussion is provided in “Results and discussion” section and finally the conclusion is drawn in “Conclusion” section.
Preliminaries
In this section, we present the essential mathematical concepts and notations used throughout the paper. Since our study focuses on modeling cancer diffusion using fuzzy-fractional calculus, we first review the necessary definitions related to fractional derivatives, particularly in the Liouville-Caputo sense, as well as the fundamentals of fuzzy set theory, meanwhile also laying some light on the concept of Laplace and inverse Laplace transform to set some background to our method. These preliminaries provide the theoretical foundation for the development and analysis of the proposed model in subsequent sections.
Definition 1
52: The Liouville-Caputo’s time-fractional derivative53 \(^{C} {\textrm{D}}_t^\beta\), where \(\beta\) is the fractional parameter. In such a case, for any function \({\mathcal {C}}(x,t)\), it can be defined as:
where \(\phi\) is a dummy variable.
Definition 2
52: The Laplace transform54 \(\mathbb {L}\) connected with Liouville-Caputo’s time-fractional derivative \({^{C}} {\textrm{D}}_t^\beta\) can be expressed as:
where \(\beta\) is the fractional order at any time ’t’.
Definition 3
55: For a fuzzy number \(\mathbb {\tilde{f}}\), some important properties for \(\mathbb {\tilde{f}}(\textrm{k}) = [\underline{\mathbb {f}}, \overline{\mathbb {f}}]\) are:
-
\(\mathbb {\underline{f}}(\textrm{k})\) is a bounded monotonic increasing left continuous function for \(\textrm{k} \in [0,1]\).
-
\(\mathbb {\overline{f}}(\textrm{k})\) is a bounded monotonic decreasing left continuous function for \(\textrm{k} \in [0,1]\).
-
\(\mathbb {\underline{{f}}}(\textrm{k}) \le \mathbb {\overline{f}}(\textrm{k})\) for \(\textrm{k} \in [0,1]\).
Definition 4
55: For a real set \(\mathbb {R}\), the fuzzy set \(\mathbb {\tilde{f}}\) is specified by the membership function \(\epsilon _{\mathbb {\tilde{f}}} : \mathbb {R} \rightarrow [0,1]\). Its \(\textrm{k}\)-level set is given as:
Here are some eligibility criteria for a fuzzy set to qualify as a fuzzy number:
-
\(\mathbb {\tilde{f}}\) is normal, which implies that for \(\textrm{k}_0 \in \mathbb {R}\), we have \(\epsilon _{ \mathbb {\tilde{f}}}(\textrm{k}_0) = 1\).
-
\(\mathbb {\mathbb {\tilde{f}}}\) is convex, i.e., \(\epsilon _{\mathbb {\tilde{f}}}(\epsilon \textrm{k}_1 + (1 - \epsilon )\textrm{k}_2) \ge \min \{\epsilon _{\mathbb {\tilde{f}}}(\textrm{k}_1), \epsilon _{ \mathbb {\mathbb {\tilde{f}}}}(\mathrm{\textrm{k}}_2)\}\), for all \(\textrm{k}_1, \textrm{k}_2 \in \mathbb {R}\) and \(\epsilon \in [0,1]\).
-
\(\mathbb {\tilde{f}}\) is semi-continuous.
-
The set \(\overline{\{\textrm{k}\in \mathbb {R} : \epsilon _{ \mathbb {\tilde{f}}}(\textrm{k}) > 0 \}}\) is compact.
A fuzzy set \(\mathbb {\tilde{f}}\) defined over a set \(\mathbb {R}\) is characterized by a membership function \(\epsilon _{\mathbb {\tilde{f}}} : \mathbb {R} \rightarrow [0,1]\), which assigns to each element \(x \in X\) a degree of membership in the set. The membership function values range from 0 (indicating no membership) to 1 (indicating full membership), with values between 0 and 1 representing partial membership.
Definition 5
56: For three numbers \(({\mathfrak {j}}_1, {\mathfrak {j}}_2, {\mathfrak {j}}_3)\) with \({\mathfrak {j}}_1< {\mathfrak {j}}_2 < {\mathfrak {j}}_3\), a fuzzy number \(\mathbb {\tilde{F}}\) is called a triangular fuzzy number (TFN) if it forms a triangle. The membership function of a TFN is given by:
The interval form of \(\mathbb {\tilde{f}}\) can be expressed as:
where \(\underline{\mathbb {f}}\) represents the lower bound and \(\overline{\mathbb {f}}\) represents the upper bound for \(\textrm{k} \in [0, 1]\). Here, \(\textrm{k}\) is also termed as the \(\textrm{k}\)-cut.
A triangular fuzzy number (TFN) is used to model uncertainty by defining a range of possible values, with a specific peak or central value \({\mathfrak {j}}_2\) that represents the most likely outcome. The two bounds, \({\mathfrak {j}}_1\) and \({\mathfrak {j}}_3\), capture the minimum and maximum possible values, and the fuzzy membership function describes how confidence in different values decreases as they move away from the center. This is particularly useful when data is imprecise or when there’s a need to express variability in estimates, or in case of cancer diffusion models where there is uncertainty involved.
Definition 6
57 : The basic formula for the Laplace transform \(\mathbb {L}\) of a function \({\mathcal {C}}(x,t)\), defined for \(t \ge 0\), is given by:
where:
-
\(F(s)\) is the Laplace transform of \({\mathcal {C}}(x,t)\),
-
\(s\) is a complex variable, (typically \(s = \gamma + j\omega\))
-
\(e^{-st}\) is the exponential decay factor,
-
\({\mathcal {C}}(x,t)\) is the function being transformed.
Definition 7
57: The inverse Laplace transform \(\mathbb {L}^{-1}\) of a function \(F(s)\) is defined as:
where \(\gamma\) is a real number chosen so that the path of integration is in the region of convergence of \(F(s)\).
Convergence properties and error performance for the He-Laplace method
Before stating the theorem, we define \(\tilde{{\mathcal {C}}}(x,t)\) as the exact fuzzy solution of the proposed fuzzy-fractional diffusion model, and \(\tilde{{\mathcal {C}}}_m(x,t)\) as its approximate solution obtained using the proposed numerical method. Both functions are considered within a suitable Banach space framework.
Theorem 1
For any two functions \(\mathcal {\tilde{C}}_m(x,t)\) and \(\mathcal {\tilde{C}}(x,t)\) defined in a Banach space, the approximate solution of the fuzzy-fractional model converges to its exact solution, provided that the constant \({\mathcal {K}}\) lies within the interval (0, 1).
Proof
Let us consider the sequence of partial sums \(\{{\mathcal {C}}_m\}\) and show that \({\mathcal {C}}_m\) constitutes a Cauchy sequence in the Banach space. To do this, we will analyze:
where, for the partial sums \({\mathcal {C}}_m\) and \({\mathcal {C}}_o\) with \(m \ge o\) and \(m, o \in \mathbb {N}\), applying the triangle inequality results in:
After substituting (10) in (11) we get:
As we know that, \(0< {\mathcal {K}} < 1\), thus it gives \(1- {\mathcal {K}}^{m-o} < 1\). Consequently,
Since, \(\mathcal {\tilde{Q}}_0\) is already bounded therefore,
Equation (14) demonstrates that \({\mathcal {C}}_m\) is a Cauchy sequence within a Banach space.
This property is crucial because it confirms the convergence of the He-Laplace algorithm. Specifically, the Cauchy criterion asserts that for any chosen level of accuracy, there exists an index beyond which all terms in the sequence stay arbitrarily close to one another. As a result, this conclusion not only strengthens the mathematical validity of the algorithm but also ensures that it will deliver stable and consistent outcomes as \(x\) tends to infinity. \(\square\)
Theorem 2
The He-Laplace algorithm yields a solution for a general fuzzy-fractional differential model, which is associated with a maximum absolute truncation error, expressed as:
Proof
Extracting the relation (12) and considering we get:
As we know that, \(0< {\mathcal {K}} < 1\), this implies that: \(1- {\mathcal {K}}^{m-q} < 1\). Therefore, we have:
which proves the required notion. \(\square\)
Model formulation of cancer diffusion models
In this section, we will be explaining the modeling of our cancer tumor diffusion model. We will be considering the cancer diffusion equation discussed in a previous work11 as also mentioned in our introduction section as our main cancer diffusion model, which we will be modifying to our understanding and implementation according to temporal and spatial analysis requirements.
Case 1: Temporal analysis
The cancer diffusion model with both killing rate and proliferation rate dependent on time is depicted as follows:
with the following initial condition:
where \(\lambda\) is some constant and the diffusivity coefficient \(\mathbb {D}\) represents its diffusion rate with \({\mathcal {C}}(x,t)\) denoting the concentration of cancer tumor cells in the body. Here, the therapy dependent killing rate \(\mathbb {K}\) is taken as \(t^2\) whereas the proliferation rate p in spherical cancer tumors was taken as t through random considerations by studying numerous diffusion models in literature. By application of fuzzification into our initial condition we arrive at the following modified model:
with the following initial condition:
where \(\tilde{Q_1}\) is the fuzzy parameter incorporated into the initial condition.
Case 2: Spatial analysis
The cancer diffusion model with killing rate and proliferation rate dependent on position is depicted as follows:
with the following initial condition:
where a and b are some random constants and the diffusivity coefficient \(\mathbb {D}\) represents its diffusion rate. In this context, the therapy-dependent killing rate, \(\mathbb {K}\), is assumed to be \(\frac{2}{x^2}\), while the proliferation rate, \(p\), for spherical cancer tumors is taken as \(\frac{2}{x}\), based on random considerations from the study of various diffusion models in the literature. The modified model after fuzzification becomes:
with the following initial condition:
where \(\tilde{Q_2}\) is the fuzzy parameter incorporated into the initial condition.
The main objective of this research is to find numerical solutions of the above two fuzzy-fractional cancer diffusion models by our proposed hybrid methodology and to further implement the concept of triangular fuzzy numbers to provide with a detailed and comprehensively explained tabular as well as graphical analysis of both models in temporal and spatial environment, as will be seen in upcoming sections.
General methodology of He-Laplace computation for the solution of fuzzy-fractional partial differential equation
Finding exact solutions for complex fractional differential equations (FDEs), particularly those modeling cancer tumors, is often impossible; therefore, this study utilizes the He-Laplace algorithm, enhanced with a fuzzy approach, to generate approximate solutions. This method effectively combines the homotopy perturbation method and the Laplace transform, creating a powerful framework for obtaining numerical results when dealing with these intricate FDE systems.
Consider a highly nonlinear, time-fractional fuzzy partial differential equation of the following form:
having the following initial condition:
where \(\mathcal {\tilde{C}}(x,t)\) is the fuzzy function depending on variable t, \(\beta\) is the fractional parameter involved, \({\mathcal {N}}\) and \({\mathcal {L}}\) represent the non-linear and linear parts of the equation respectively. The fractional derivative is taken to be in the Liouville-Caputo form and \(u_{1}(x,t)\) is considered to be any random constant involved. The fuzzy function \(\mathcal {\tilde{C}}(x,t)\) must satisfy the definitions of fuzziness as mentioned in detail in preliminaries. By application of definition in Eq. (7), we arrive at:
where \(\mathcal {{\underline{C}}}(x,t; k)\) is the lower bound and \(\mathcal {{\overline{C}}}(x,t; k)\) is the upper bound of the triangular fuzzy function \(\mathcal {{\tilde{C}}}(x,t)\). By utilizing the definitions from Eq. (28) back into (26), we arrive at:
Routine 1
Application of Laplace transform \(\mathbb {L}\) on the above equation gives us:
Routine 2
The fractional differential characteristic of the Laplace transform applied to the equation mentioned above results in:
Routine 3
Next, by constructing the homotopy for the given fuzzy fractional equation, we obtain:
Routine 4
Further after expanding the fuzzy function \(\mathcal {\tilde{C}}(x,t; k)\) in power series form for \(\textrm{d} \in [0, 1]\), we obtain:
Routine 5
Now substituting Eq. (33) back into Eq. (32) and further comparing coefficients of \(\textrm{d}\), we obtain:
At \(\textrm{d}^{1}\):
Generally at \(\textrm{d}^{k}\), we have:
Routine 6
By utilizing the inverse Laplace-transform (as outlined in previous sections) and then integrating the results obtained, we reach the desired approximate solution. The approximate solution for the Eq. (26), along with the initial condition (27), is expressed as:
Equation (36) provides the approximate solution of the considered partial differential equation. In the next section, we will be providing a detailed explanation of how triangular fuzzy numbers operate and are henceforth incorporated into our given initial condition, to help find fuzzy-fractional numerical solution of our cancer diffusion model.
Numerical solution of fuzzy-fractional cancer diffusion models
In this section, we will solve two different kinds of fractional cancer diffusion models using the He-Laplace algorithm. We will discuss the both models individually i.e. both the time dependent and position dependent killing and proliferation rates will be discussed with their respective triangular fuzzy numbers implemented to create a better understanding of the underlying mechanism involved.
Case 1: Temporal analysis
The fuzzy-fractional cancer diffusion model with killing and proliferation rates dependent on time is depicted as follows:
with the following initial condition having \(\tilde{Q_1}\) as the fuzzy parameter involved:
The triangular fuzzy number in the model has interal \(\tilde{Q_1}= (0.5, 1, 1.5)\). By utilizing Definitions 6 and 7, we can express them in parametric form follows using definition of \(\textrm{k}\)-cut:
Case 2: Spatial analysis
The fuzzy-fractional cancer diffusion model with killing and proliferation rates dependent on position is depicted as follows:
with the following initial condition having \(\tilde{Q_2}\) as the fuzzy parameter involved:
The triangular fuzzy number in the model has interal \(\tilde{Q_2}= (0.3, 1, 1.7)\). Again by utilizing Definitions 6 and 7, we can express them in parametric form follows using definition of \(\textrm{k}\)-cut:
By utilizing the He-Laplace algorithm, as described in Section 5, on the Eqs. (37) and (40) with their respective initial conditions (38) and (41) i.e. by performing the Laplace transform, constructing homotopies of the equations, expanding them into their Taylor series, and matching the coefficients of like powers - we are able to solve each ordered problem independently. Following this, the inverse Laplace transform is applied to each of the individual problems, and all the results are subsequently combined. This comprehensive approach enables us to find the solutions to the fuzzy-fractional partial differential equations. The solutions obtained will undergo a detailed analysis, which includes an error analysis and graphical validation. These aspects will be explored in greater depth in the following sections to provide further insights into the results and their accuracy.
All simulations were done using Mathematica 13.2 on a personal computer with an Intel Core i7-11800H processor (2.3 GHz), 16 GB of RAM, and Windows 11. We used double-precision calculations for better accuracy. The simulations were run on a single machine, and we manually adjusted settings like convergence and time steps to make sure the results were accurate and stable.
Results and discussion
The He-Laplace method is a sophisticated and computationally intensive approach that excels in providing accurate solutions to complex problems. It involves solving systems using Laplace transforms, which can be computationally demanding, particularly for large-scale systems. The method’s performance is heavily influenced by factors such as step size and initial conditions, making it highly sensitive to these choices. Additionally, the stability of the method can be influenced by time steps and discretization, adding another layer of complexity. For large problems, the method requires expensive matrix operations, and floating-point errors can affect precision. However, its ability to deliver exceptional results for complex nonlinear or adaptive systems justifies the computational cost. While parallel computing can alleviate some of the computational burden, it introduces its own set of challenges. Despite these complexities, the He-Laplace method remains an excellent tool for tackling intricate fractional models with high accuracy.
Keeping this in mind, two separate kinds of problems of cancer diffusion model have been modeled in this paper, which are both numerically solved and comprehensively analyzed in a fuzzy-fractional environment. The He-Laplace algorithm which is highly effective in solving such complex fuzzy-fractional PDEs has been adopted to derive the numerical solutions. Liouville-Caputo-type fractional derivative is taken into consideration along with fractional differential property of Laplace transform to tackle these non-integer order derivatives effectively. Further, we have introduced fuzziness into the highly non-linear, complex partial differential equations by incorporating triangular fuzzy numbers in our respective initial conditions when discussing either temporal or spatial form. Triangular fuzzy numbers are well-suited for cancer diffusion models because they efficiently represent uncertainty and imprecision in parameters such as growth rates and treatment effects. Their simplicity and ease of use allow for better modeling of real-world data, which is often incomplete or ambiguous. Additionally, triangular fuzzy numbers facilitate the integration of expert opinions and variability, enhancing model flexibility and robustness. To validate the effectiveness of our method on the model, we present detailed tabular results showing the solutions and their residuals for various fractional orders, ranging from \(\beta = 0.6\) to \(\beta = 0.9\), as displayed in the tables below. Let us discuss both problems one by one to be able to tackle each case individually and in depth.
Case 1: Temporal analysis
In this portion, we have focused primarily on the temporal analysis i.e. time dependent killing and proliferation rate which has been described earlier in Eq. (37) with its initial conditions in Eq. (38). First off, we have provided numerical validation of our method by finding residual errors of our solutions, which are also presented at different fractional orders varying from \(\beta =0.6\) to \(\beta =0.9\) in Table 1. It can be seen that the tumor cells concentration \(\mathcal {{\tilde{C}}}(x,t)\) alongside the residuals \(\mathfrak {Res}(\tilde{{\mathcal {C}}}(x,t))\) have quite promising results giving proper validation to our proposed methodology and its implementation. As the fractional order \(\beta\) increases and approaches 1, it can be sen that the residual errors are significantly improving at both lower and upper bounds, giving an in-depth study of the solution and the residuals through fuzzy analysis.
Starting off with the graphical analysis, we have firstly included plots of tumor cells concentration \(\mathcal {{\tilde{C}}}(x,t)\) against time t and position x respectively in Fig. 1 at the crisp form as 1a and b , i.e. the central point of analysis without yet the inclusion of fuzzy logic into the equation. The range of x has been taken as \(-2 \le x \le 2\) whereas the range for time t has been considered from \(0 \le t \le 1\) to create basic plots to give an idea of how the tumor cells tend to be behaving at merely the central point. In both these cases, the tumor cells seem to be increasing constantly but with reference to when plotted against space x, the increase is quite linear in form whereas when plotted against time t, it can be seen that that increase is a bit non-linear in nature.
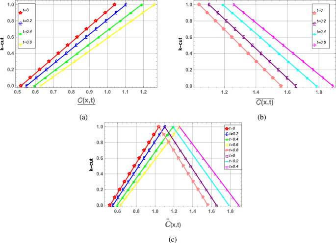
Further moving on, we have expanded our graphical analysis by creating \(\textrm{k}-cut\) plots for the tumor cells concentration \(\mathcal {{{C}}}(x,t)\) at both the lower and upper bounds in Fig. 2 separately as well as combined plot as 2a , b and c respectively. The combined plot of \(\textrm{k}-cut\) shows the formation of properly defined triangles, more clearly depicting the inclusion of triangular fuzzy numbers as our fuzzy parameters. A \(\textrm{k}-cut\) plot tends to be slicing the fuzzy solution at a membership level \(\textrm{k}\), showing all values of \({\mathcal {C}}(x,t)\) whose uncertainty degree meets or exceeds k. By visualizing these intervals, it quantifies how the admissible range of tumor concentration narrows as membership increases.
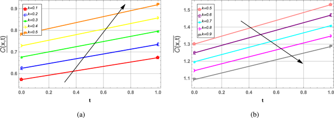
We have also created plot of cell concentration against time while the fractional order \(\beta\) is taken to be 0.7 and the position is considered at \(x=2\) in Fig. 3. The lower bound plot in this case is shown in 3a while the upper bound plot is shown in 3b . In these figures, at the lower bound, the value of \(\textrm{k}-cut\) is taken from \(\textrm{k}=0.1 \rightarrow 0.5\) whereas the upper bound value is considered as \(\textrm{k}=0.5 \rightarrow 0.9\) to give a clearer idea of the behavior of tumor cells in a much wider range. It can be seen that at the lower bound, the tumor cells keep on rising with an increase in the \(\textrm{k}-cut\) value whereas at the upper bound, the tumor cells keep on decreasing with the increase of \(\textrm{k}-cut\) values. Therefore, as we increase the \(\textrm{k}-cut\) value, the range of tumor cell values gets smaller. The lowest value goes up, and the highest value goes down, showing less uncertainty.
Figure 4 depicts the graph of tumor cells plotted against position while the fractional order is taken to be 0.5 and time is considered at \(t=1\). In 4a the lower bound shows an increasing trend of tumor cells with the \(\textrm{k}-cut\) while x varies from \(0.1 \le x \le 1\) whereas 4b shows that the upper bound depicts the opposite trend i.e. decreases. We have also varied the fuzzy parameter \(\tilde{Q_1}\) which we added into the initial condition in Fig. 5 at lower and upper bound as 5a and b respectively. It was observed that at the lower bound, an increasing tumor cells pattern sustains whereas at the upper bound, a decreasing pattern has been observed with rise in \(\tilde{Q_1}\) showing that as time rises, the tumor cells start to decrease in number. Therefore, the overall pattern is indicating that the higher fractional order \(\beta\) and longer time duration t enhances cancer tumor cell reduction.
Furthermore, 3D and contour analysis at both lower and upper bounds have been created which can be visualized in Figs. 6 and 7. The lower bound solutions have been plotted in Figs. 6a and 7a whereas the upper bound solutions can be visualized in Figs. 6b and 7b . These plots are made alongside the fractional order \(\beta\) and time t against the tumor cells \(\mathcal {{{C}}}(x,t)\), which exhibits that the distance between fuzzy tumor cell concentration profiles increases with increasing fractional order \(\beta\) and time t, indicating that the tumor cells concentration lowers at higher fractional order with increasing time of the treatment procedure, showing that the treatment is indeed working and trying to eradicate cancer. To sum it up, since in this case the killing and proliferation rate was considered to be time-dependent, we can say that as the killing and proliferation rate increases (with time), the tumor cells are drastically decreasing in number, resulting in tumor cells reduction and eventual eradication of cancer form the body.
Plots of cell concentration against time t and position x at crisp form - Problem 1.
k-cut plots of cell concentration at fractional order \(\beta =0.7\) and \(x=2\) - Problem 1.
Plots of cell concentration against time while fractional order \(\beta =0.7\) and \(x=2\) - Problem 1.
Plots of cell concentration against position while fractional order \(\beta =0.5\) and \(t=1\) while varying \(0.1 \le x \le 1\) - Problem 1.
Plots of cell concentration against fuzzy parameter \(\tilde{Q_1}\) while fractional order \(\beta =0.8\) and \(x=2\) while varying \(0 \le t \le 0.8\) - Problem 1.
3D Plots of Problem 1 at (a) lower and (b) upper bounds at \(x=1\) and \(k=0.8\) while varying against time t and fractional order \(\beta\).
Contour Plots of Problem 1 at (a) lower and (b) upper bounds at \(x=2\) and \(k=0.88\) while varying against time t and fractional order \(\beta\).
Case 1: Spatial analysis
In this section, our focus has primarily been on spatial analysis, specifically the position-dependent killing and proliferation rates, as previously described in Eq. (40) along with its initial conditions in Eq. (41). To begin, we have numerically validated our method by computing the residual errors of our solutions, which are presented across different fractional orders ranging from \(\beta =0.6\) to \(\beta =0.9\) in Table 2. The results indicate that the tumor cell concentration \(\mathcal {\tilde{C}}(x,t)\), along with the residuals \(\mathfrak {Res}(\tilde{{\mathcal {C}}}(x,t))\), demonstrates strong agreement, reinforcing the validity of our proposed methodology and its implementation. Moreover, as the fractional order \(\beta\) increases and approaches 1, a significant improvement in residual errors is observed at both lower and upper bounds, providing a deeper insight into the solution and residual behavior through fuzzy analysis.
Starting with the graphical analysis, we first present plots of the tumor cell concentration \(\mathcal {{\tilde{C}}}(x,t)\) as a function of time \(t\) and position \(x\) at crisp form in Fig. 8 as 8a and b respectively. These plots are generated in their crisp form, meaning the \(\textrm{k}\)-cut value is set to 1, representing the central point of analysis without incorporating fuzzy logic. The spatial domain is considered within the range \(-2 \le x \le 2\), while the time domain is taken as \(0 \le t \le 1\). These basic plots provide an initial understanding of how the tumor cells behave at the central point before introducing fuzzy logic into the analysis.
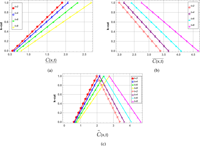
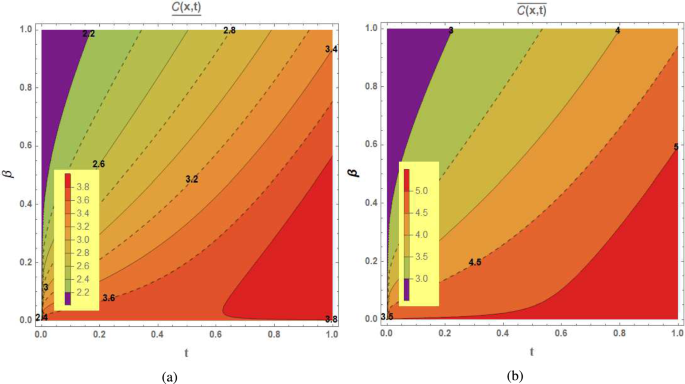
We have deepened our graphical analysis in the spatial domain, by creating \(\textrm{k}\)-cut plots at both the lower and upper bounds in Fig. 9 as 9a and b respectively, while the combined plot at upper and lower bounds is presented in 9c . This figure clearly shows the implementation of triangular fuzzy numbers as the resultant graph forms triangles all over, signifying the behavior observed through fuzzification of the equation. The plots in Fig. 10 shows the lower and upper bound view of tumor cells against time as 10a and b respectively. It can be seen that with the increase in \(\textrm{k}\) as time also rises, at lower bound tumor cells concentration rises but at the upper bound, when \(\textrm{k}\) rises with time, then the tumor cells start to decrease. Furthermore, Fig. 11 shows the plots against position of tumor cells where it can be seen that in Fig. 11a at lower bound, tumor cells increase and again start to decrease at the upper bound as shown in Fig. 11b . Also, Fig. 12 has been formed by varying the fuzzy parameter \(\tilde{Q_2}\) which was introduced into the initial condition for the spatial analysis equation. It can be seen that as time rises and the \(\textrm{k}\)-cut value rises, at the lower bound the tumor cells first increase in number but with increasing time and increasing value of \(\textrm{k}\)-cut at the upper bound, the tumor cells indeed start to decrease, as depicted in Fig. 12a and b respectively. Therefore, the overall trend is again uniform in all cases, which shows that as the fractional order \(\beta\) rises with the increase in time t, the tumor cells seem to be decreasing in number or we can say that the distance between the fuzzy tumor cells increases in number with the rising value of the \(\textrm{k}\)-cut, ultimately resulting in the reduction of tumor cells from the body. To further strengthen our analysis visually, we have also formed 3D and contour plots of our position dependent killing rate of problem 2 at both lower and upper bounds in Figs. 13 and 14 respectively. 13a and 14a shows results at lower bound while13b and 14b at upper bound. Cancer itself is a dilemma in even today’s world, which is why this detailed graphical analysis offers a better understanding of the cancer dynamics by considering the temporal as well as spatial domain in a fuzzy-fractional framework, focusing on all bounds rather than the traditional central point of analysis. To conclude it up, since in this case the killing and proliferation rate was considered to be position-dependent, it is observed that as the killing and proliferation rate decreases, the tumor cell concentration also declines, indicating a more rapid elimination of cells near the tumor’s center.
Plots of cell concentration against time t and position x at crisp form - Problem 2.
Plots of k-cut of cell concentration at fractional order \(\beta =0.7\) and \(x=2\) - Problem 2.
Plots of cell concentration against time while fractional order \(\beta =0.7\) and \(x=2\) - Problem 2.
Plots of cell concentration against position while fractional order \(\beta =0.5\) and \(t=1\) while varying \(1 \le x \le 2\) - Problem 2.
Plots of cell concentration against fuzzy parameter \(\tilde{Q_2}\) while fractional order \(\beta =0.8\) and \(x=2\) while varying \(0 \le t \le 0.8\) - Problem 2.
3D Plots of Problem 2 at (a) lower and (b) upper bounds with \(x=1\), \(k=0.8\),\(a=1.5\),\(b=0.4\) while varying against time t and fractional order \(\beta\).
Contour Plots of Problem 2 at (a) lower and (b) upper bounds with \(x=2\), \(k=0.8\), \(a=1.5\), \(b=0.4\) while varying against time t and fractional order \(\beta\).
Conclusion
The primary objective of this study was to develop a fuzzy modeling framework for the cancer diffusion fuzzy-fractional model. Uncertainty in the model was introduced by incorporating triangular fuzzy parameters into its initial conditions, while fractional derivatives in the Liouville-Caputo sense were utilized to enhance the practicality and flexibility of the cancer tumor diffusion model. To solve and analyze the system, a semi-analytical approach known as the fuzzy He-Laplace algorithm was proposed. Additionally, theoretical proofs for the solution’s convergence and error estimation were established alongside the proposed methodology to ensure the validity of both the model and the algorithm. Two problems were considered: time dependent killing and proliferation rate (temporal analysis) and position dependent killing and proliferation rate (spatial analysis) to which two numerical solutions were obtained. These solutions were presented in tabular form alongside their residual errors at various fractional orders \(\beta\) to account for proper validation and implementation of our proposed methodology employed. Further, detailed 3D and contour plots at both the lower and upper bounds were presented for both the problems under consideration while also presenting a brief crisp form graphs at the central point so as to account for all viewpoint analysis. The \(\textrm{k}-cut\) plots which were created when presented in their combined forms tend to be forming triangular patterns which shows the inclusion of triangular fuzzy numbers as our fuzzy parameters in our hybrid method. Furthermore, comprehensive 2D analysis along time t, position x, the \(\textrm{k}\)-cut values and the fuzzy parameters \(\tilde{Q_1}\) and \(\tilde{Q_2}\) have been provided at lower and upper bounds for both the problems individually, showing that as the fractional order \(\beta\) increases with time t and an increment of the \(\textrm{k}\)-cut value, the tumor cells concentration overall start to decrease i.e. the distance between the fuzzy tumor cells starts to increase meaning that as the space between the tumor cells increases, the tumor cells start to be killed with time i.e. it starts to eradicate cancer from the body. Therefore, since in problem 1 the killing and proliferation rates were dependent on time, as the killing and proliferation rate increases in number, the tumor cells seem to decrease in number whereas in problem 2, since the killing and proliferation rate was dependent on position it can be seen that as the killing and proliferation rate in terms of position decreases, tumor cells also decrease i.e. there will be more rapid elimination of cells closer to the center of tumor. For future prospects, real-world clinical data can be applied to these simulation based results in order to provide more realistic framework. The findings offer crucial insights into tumor dynamics, which can greatly influence cancer treatment strategies and contribute to the advancement of targeted therapies. Furthermore, this study highlights the significance of accounting for uncertain tumor growth in fractional space, as it facilitates a deeper understanding of the complex behavior of cancer cells. These perspectives will aid in refining current cancer treatment protocols and fostering the development of more effective therapies in the future.
Data availability
All data generated or analysed during this study are included in this published article.
References
DeVita Jr, V. T. & Rosenberg, S. A. Two hundred years of cancer research. N. Engl. J. Med. 366(23), 2207–2214 (2012).
Yankeelov, T. E. et al. Clinically relevant modeling of tumor growth and treatment response. Sci. Transl. Med. 5(187), 187ps9-187ps9 (2013).
Stevenson, C. E. Statistical models for cancer screening. Stat. Methods Med. Res. 4(1), 18–32 (1995).
Mahnaz Etehadtavakol and Mahdi Hemmasian Ettefagh. Evaluation of risk factors in developing breast cancer with expectation maximization algorithm in data mining techniques. J. Med. Imaging Health Inform. 6(3), 753–758 (2016).
Van Staveren, W. C. G. et al. Human cancer cell lines: Experimental models for cancer cells in situ? for cancer stem cells?. Biochim. Biophys. Acta Rev. Cancer 1795(2), 92–103 (2009).
Chvetsov, A. V., Palta, J. J. & Nagata, Y. Time-dependent cell disintegration kinetics in lung tumors after irradiation. Phys. Med. Biol. 53(9), 2413 (2008).
Adam, J. A. The dynamics of growth-factor-modified immune response to cancer growth: One dimensional models. Math. Comput. Model. 17(3), 83–106 (1993).
Cristini, V., Lowengrub, J. & Nie, Q. Nonlinear simulation of tumor growth. J. Math. Biol. 46, 191–224 (2003).
Gatenby, R. A. & Gawlinski, E. T. A reaction-diffusion model of cancer invasion. Cancer Res. 56(24), 5745–5753 (1996).
Li, Z. et al. Predicting the aggressiveness of peripheral zone prostate cancer using a fractional order calculus diffusion model. Eur. J. Radiol. 143, 109913 (2021).
Qayyum, M. & Tahir, A. Mathematical Modeling of Cancer Tumor Dynamics with Multiple Fuzzification Approaches in Fractional Environment (Springer, 2023).
Moyo, S. & Leach, P. G. L. Symmetry methods applied to a mathematical model of a tumour of the brain. In Proc. Inst. Math. NAS Ukraine 50, 204–210 (2004).
Burgess, P. K., Kulesa, P. M., Murray, J. D. & Alvord Jr, E. C. The interaction of growth rates and diffusion coefficients in a three-dimensional mathematical model of gliomas. J. Neuropathol. Exp. Neurol. 56(6), 704–713 (1997).
Ortigueira, M. D., Tenreiro, J. A. & Machado. What is a fractional derivative?. J. Comput. Phys. 293, 4–13 (2015).
Yüce, A., Deniz, F. N. & Tan, N. A new integer order approximation table for fractional order derivative operators. IFAC-PapersOnLine 50(1), 9736–9741 (2017).
Bas, E. & Ozarslan, R. Real world applications of fractional models by Atangana-Baleanu fractional derivative. Chaos Solitons Fractals 116, 121–125 (2018).
Luchko, Y. U. R. I. I. & Grenflo, R. An operational method for solving fractional differential equations with the caputo derivatives. Acta Math. Vietnam 24(2), 207–233 (1999).
Qayyum, M., Nayab, S. & Afzal, S. Mathematical Analysis of Cancer-Tumor Models with Variable Depression Effects and Integrated Treatment Strategies (Springer, 2024).
Luchko, Y. & Trujillo, J. Caputo-type modification of the erdélyi-kober fractional derivative. Fract. Calc. Appl. Anal. 10(3), 249–267 (2007).
Zhou, H. W., Yang, S. & Zhang, S. Q. Modeling non-darcian flow and solute transport in porous media with the caputo-fabrizio derivative. Appl. Math. Modell. 68, 603–615 (2019).
Cooper, G. & Cowan, D. The application of fractional calculus to potential field data. Expl. Geophys. 34(2), 51–56 (2003).
Wang, L. et al. Meteorological sequence prediction based on multivariate space-time auto regression model and fractional calculus grey model. Chaos Solitons Fractals 128, 203–209 (2019).
Zhang, Y., Sun, H., Stowell, H. H., Zayernouri, M. & Hansen, S. E. A review of applications of fractional calculus in earth system dynamics. Chaos Solitons Fractals 102, 29–46 (2017).
Uchaikin, V. V. & Sibatov, R.T. Fractional calculus for transport in disordered semiconductors. In Nonlinear Sci. Complex., 43–53 (World Scientific, 2007).
Stanislavsky, A. A. Astrophysical applications of fractional calculus In Proceedings of the Third UN/ESA/NASA Workshop on the International Heliophysical Year 2007 and Basic Space Science: National Astronomical Observatory of Japan, 63–78 (Springer, 2010).
Jafari, H., Mehdinejadiani, B. & Baleanu, D. Fractional calculus for modeling unconfined groundwater. Appl. Eng. Life Soc. Sci. 7, 119–138 (2019).
Baishya, B. & Veeresha, P. Fractional approach for belousov-zhabotinsky reactions model with unified technique. Progr. Fract. Differ. Appl. 10(2), 295–311 (2024).
Veeresha, P., Prakasha, D. G., Baishya, C. & Baskonus, H. M. Analysis of a mathematical model of the aggregation process of cellular slime mold within the frame of fractional calculus. Int. J. Model. Simul. 1–11 (2023).
Veeresha, P., Yavuz, M. & Baishya, C. A computational approach for shallow water forced korteweg-de vries equation on critical flow over a hole with three fractional operators. Int. J. Optim. Control Theor. Appl. (IJOCTA) 11(3), 52–67 (2021).
Özköse, F. et al. A fractional modeling of tumor-immune system interaction related to lung cancer with real data. Eur. Phys. J. Plus 137(1), 40 (2021).
Gimnitz Simon, S., Bira, B. & Zeidan, D. Optimal systems, series solutions and conservation laws for a time fractional cancer tumor model. Chaos Solitons Fractals 169, 113311 (2023).
Korpinar, Z., Inc, M., Hınçal, E. & Baleanu, D. Residual power series algorithm for fractional cancer tumor models. Alex. Eng. J. 59(3), 1405–1412 (2020).
Kumar, S., Kumar, A., Samet, B., Gómez-Aguilar, J. F. & Osman, M. S. A chaos study of tumor and effector cells in fractional tumor-immune model for cancer treatment. Chaos Solitons Fractals 141, 110321 (2020).
Iyiola, O. S. & Zaman, F. D. A fractional diffusion equation model for cancer tumor. AIP Adv. 4(10), (2014).
Qayyum, M. & Ahmad, E. Exploration of time-fractional cancer tumor models with variable cell killing rates via hybrid algorithm. Phys. Scripta 99(11), 115004 (2024).
Salahshour, S., Allahviranloo, T. & Abbasbandy, S. Solving fuzzy fractional differential equations by fuzzy laplace transforms. Commun. Nonlinear Sci. Numer. Simul. 17(3), 1372–1381 (2012).
Ain, Q. T., Nadeem, M., Kumar, D. & Shah, M. A. Analysis of fuzzy differential equation with fractional derivative in caputo sense. Adv. Math. Phys. 2023(1), 4009056 (2020).
Babakordi, F. & Allahviranloo, T. Application of fuzzy abc fractional differential equations in infectious diseases. Comput. Methods Differ. Equ. 12(1), 1–15 (2024).
Abuasbeh, K. & Shafqat, R. Fractional brownian motion for a system of fuzzy fractional stochastic differential equation. J. Math. 2022(1), 3559035 (2022).
Miao, Y., Ding, X., Sun, H., Keshu, Y. & Zhao, D. Role of fuzzy fractional differential equation in the construction of low carbon economy statistical evaluation system. Alex. Eng. J. 59(4), 2765–2775 (2020).
Akram, M., Muhammad, G. & Ahmad, D. Analytical solution of the atangana-baleanu-caputo fractional differential equations using pythagorean fuzzy sets. Granul. Comput. 8(4), 667–687 (2023).
Alamin, A., Rahaman, M. & Mondal, S. P. Geometric approach for solving first order non-homogenous fuzzy difference equation. Spectr. Oper. Res. 2(1), 61–71 (2025).
Priyadharshini, A., Jothimani, K. & Vijayakumar, V. Existence and uniqueness of the solution for the hilfer fuzzy fractional integrodifferential equation via resolvent operators. Qual. Theory Dyn. Syst. 24(1), 1–25 (2025).
Alamin, A., Rahaman, M., Gazi, K. H., Alam, S. & Mondal, P. Solution and analysis of coupled homogeneous linear intuitionistic fuzzy difference equation. Trans. Fuzzy Sets Syst. (2025).
Madamlieva, E. & Konstantinov, M. On the existence and uniqueness of solutions for neutral-type caputo fractional differential equations with iterated delays: Hyers-ulam-mittag-leffler stability. Mathematics 13(3), 484 (2025).
Qayyum, M., Afzal, S. & Ahmad, E. Fractional modeling of non-newtonian casson fluid between two parallel plates. J. Math. 2023(1), 5517617 (2023).
Suleman, M., Dianchen, L., Yue, C., Ul Rahman, J. & Anjum, N. He-laplace method for general nonlinear periodic solitary solution of vibration equations. J. Low Freq. Noise Vib. Active Control 38(3–4), 1297–1304 (2019).
Nadeem, M. & Li, F. He-laplace method for nonlinear vibration systems and nonlinear wave equations. J. Low Freq. Noise Vib. Active Control 38(3–4), 1060–1074 (2019).
Qayyum, M., Ahmad, E., Afzal, S. & Acharya, S. Soliton solutions of generalized third order time-fractional kdv models using extended he-laplace algorithm. Complexity 2022(1), 2174806 (2022).
Qayyum, M., Tahir, A. & Acharya, S. New solutions of fuzzy-fractional fisher models via optimal he-laplace algorithm. Int. J. Intell. Syst. 2023(1), 7084316 (2023).
Li, F. & Nadeem, M. He-laplace method for nonlinear vibration in shallow water waves. J. Low Freq. Noise Vib. Active Control 38(3–4), 1305–1313 (2019).
Kilbas, A. A., Srivastava, H. M. & Trujillo J. J. Theory and Applications of Fractional Differential Equations, Vol. 204 (Elsevier, 2006).
Qayyum, M. & Ahmad, E. Fuzzy-fractional modeling and simulation of electric circuits using extended he-laplace-carson algorithm. Physica Scripta 99(6), 065020 (2024).
Qayyum, M., Ahmad, E. & Ali, M. R. New solutions of time-fractional cancer tumor models using modified he-laplace algorithm. Heliyon 10(14), (2024).
Qayyum, M., Ahmad, E., Tahir, A. & Acharya, S. Modeling and analysis of the fuzzy-fractional chaotic financial system using the extended he-mohand algorithm in a fuzzy-caputo sense. Int. J. Intell. Syst. 2023(1), 3028824 (2023).
Dubois, D. & Prade, H. Fuzzy numbers: an overview. Read. Fuzzy Sets Intell. Syst. 112–148 (1993).
Spiegel, M. R. Laplace Transforms. (McGraw-Hill, 1965).
Funding
This research did not receive any specific grant from funding agencies in the public, commercial, or not-for-profit sectors.
Author information
Authors and Affiliations
Contributions
Mubashir Qayyum: Conceived and designed the experiments; Supervision; Analyzed and interpreted the data; Contributed reagents, materials, analysis tools or data; Wrote the paper. Sidra Nayab: Performed the experiment; Analyzed and interpreted the data; Wrote the paper. Omar Khan: Analyzed and Interpreted the data; Validated results; Review the final draft of paper. Murad Khan Hassani: Analyzed and Interpreted the data; materials, analysis tools or data; Review the final draft of paper. Ali Akgul: Analyzed and Interpreted the data; materials, analysis tools or data; Review the final draft of paper.
Corresponding author
Ethics declarations
Competing interests
The authors declare no competing interests.
Additional information
Publisher’s note
Springer Nature remains neutral with regard to jurisdictional claims in published maps and institutional affiliations.
Rights and permissions
Open Access This article is licensed under a Creative Commons Attribution-NonCommercial-NoDerivatives 4.0 International License, which permits any non-commercial use, sharing, distribution and reproduction in any medium or format, as long as you give appropriate credit to the original author(s) and the source, provide a link to the Creative Commons licence, and indicate if you modified the licensed material. You do not have permission under this licence to share adapted material derived from this article or parts of it. The images or other third party material in this article are included in the article’s Creative Commons licence, unless indicated otherwise in a credit line to the material. If material is not included in the article’s Creative Commons licence and your intended use is not permitted by statutory regulation or exceeds the permitted use, you will need to obtain permission directly from the copyright holder. To view a copy of this licence, visit http://creativecommons.org/licenses/by-nc-nd/4.0/.
About this article
Cite this article
Qayyum, M., Nayab, S., Khan, O. et al. A hybrid computational framework for fractional cancer diffusion models in uncertain settings. Sci Rep 15, 33858 (2025). https://doi.org/10.1038/s41598-025-05581-1
Received:
Accepted:
Published:
Version of record:
DOI: https://doi.org/10.1038/s41598-025-05581-1
















