Fig. 9
From: A hybrid computational framework for fractional cancer diffusion models in uncertain settings

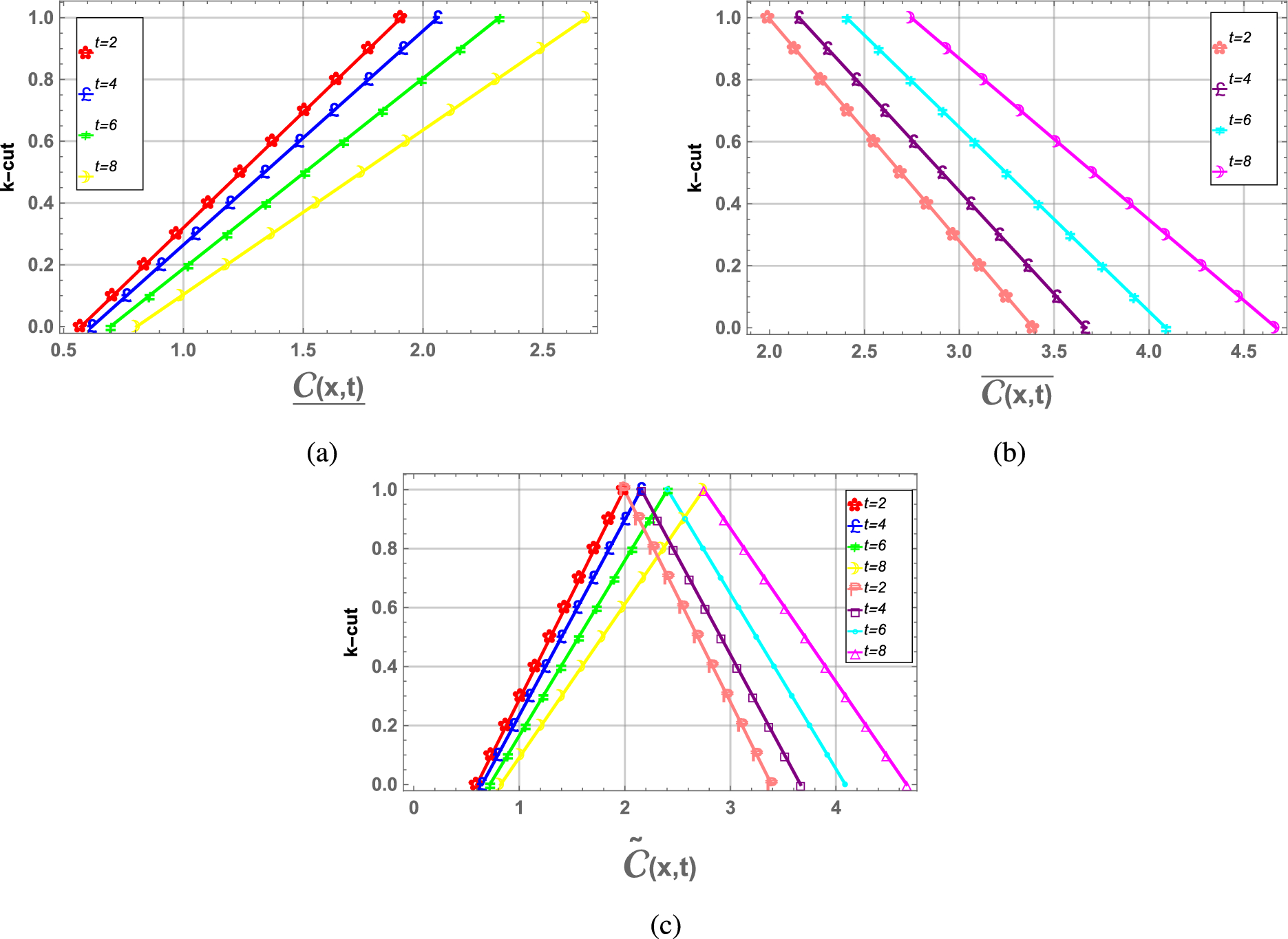
Plots of k-cut of cell concentration at fractional order \(\beta =0.7\) and \(x=2\) - Problem 2.
From: A hybrid computational framework for fractional cancer diffusion models in uncertain settings

Plots of k-cut of cell concentration at fractional order \(\beta =0.7\) and \(x=2\) - Problem 2.