Fig. 22
From: Subdivision method for rational ANCF circular elements

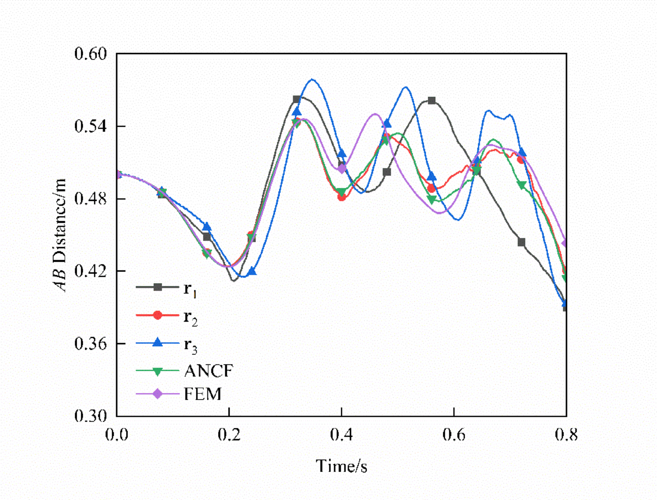
Convergence Comparison of Elements with Different Parameterizations.
From: Subdivision method for rational ANCF circular elements

Convergence Comparison of Elements with Different Parameterizations.