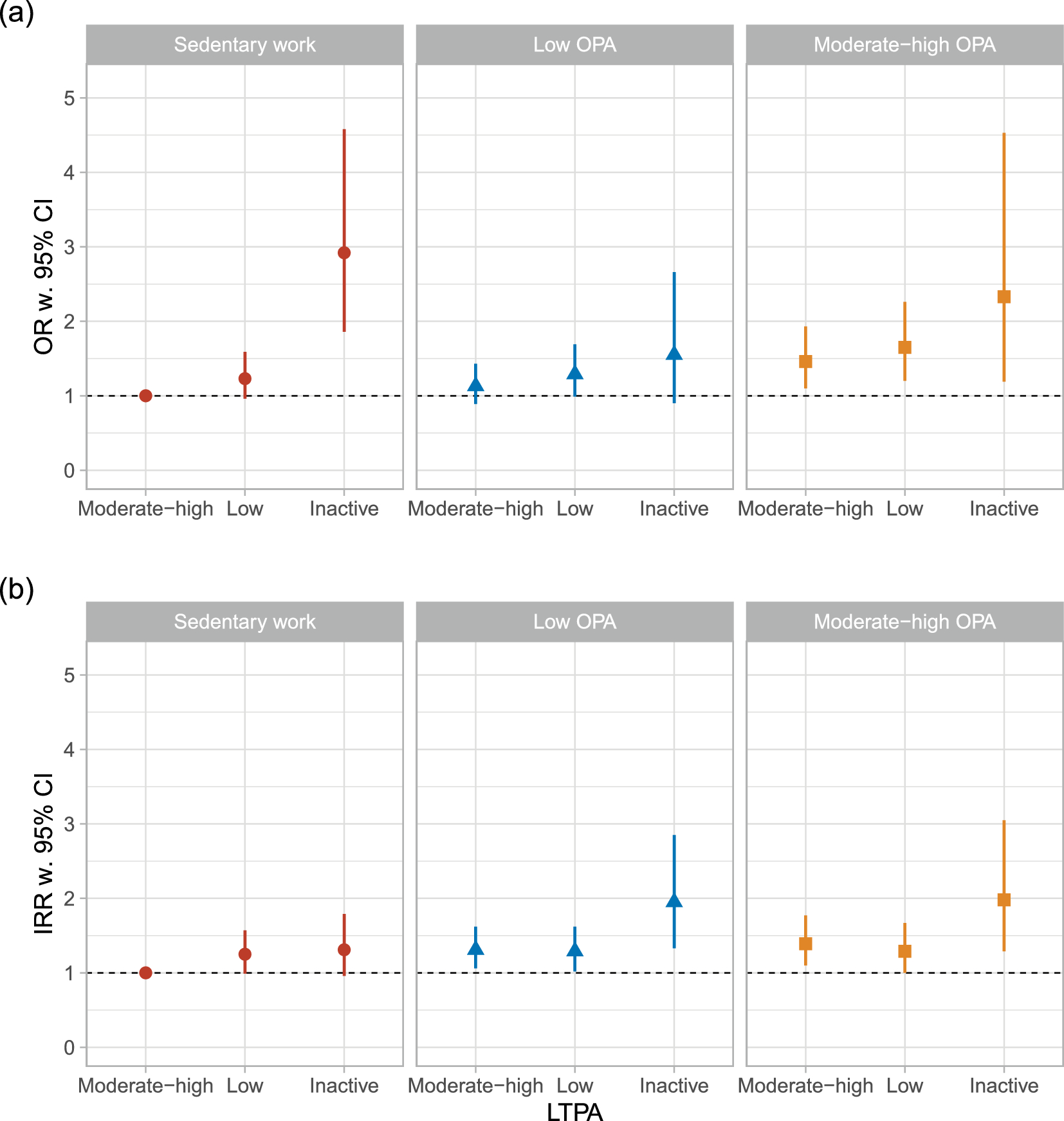
Fig. 3
From: The leisure time and occupational physical activity paradox in persistent musculoskeletal pain

Adjusted odds ratios (OR) of persistent pain (a) and incidence rate ratios (IRR) of number of pain sites (b) for different combinations of physical activity during leisure and work (vs. moderate-high leisure time physical activity [LTPA] and sedentary work). Vertical lines reflect 95% confidence intervals (CI). Model adjusted for age, sex, and level of education. OPA, occupational physical activity.