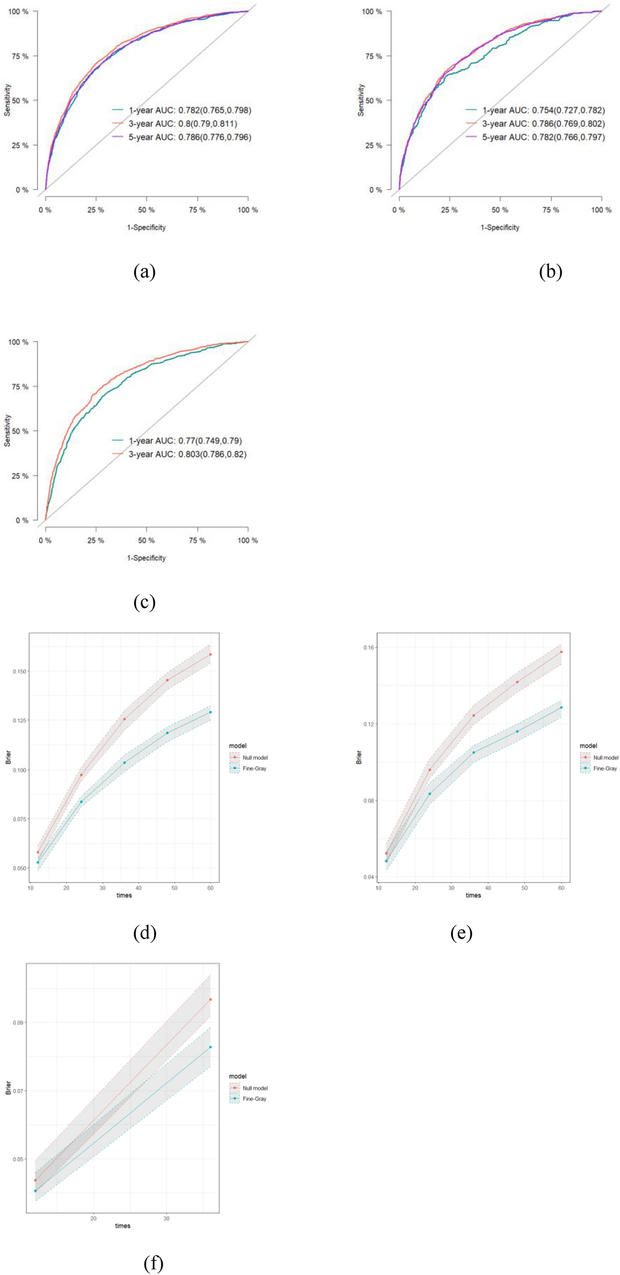
Fig. 4


(a) ROC curve and AUC for 1, 3, and 5 years of the Fine-Gray subdistribution hazard model in the train set. (b) ROC curve and AUC for 1, 3, and 5 years of the Fine-Gray subdistribution hazard model in the internal test set. (c) ROC curve and AUC for 1 and 3 years of the Fine-Gray subdistribution hazard model in the external test set (d) Birer score curve of the Fine-Gray subdistribution hazard model in the train set. (e) Birer score curve of the Fine-Gray subdistribution hazard model in the internal test set. (f) Birer score curve of the Fine-Gray subdistribution hazard model in the external test set. (g) Decision curve for 1 year of the Fine-Gray subdistribution hazard model. (h) Decision curve for 3 years of the Fine-Gray subdistribution hazard model. (i) Decision curve for 5 years of the Fine-Gray subdistribution hazard model.