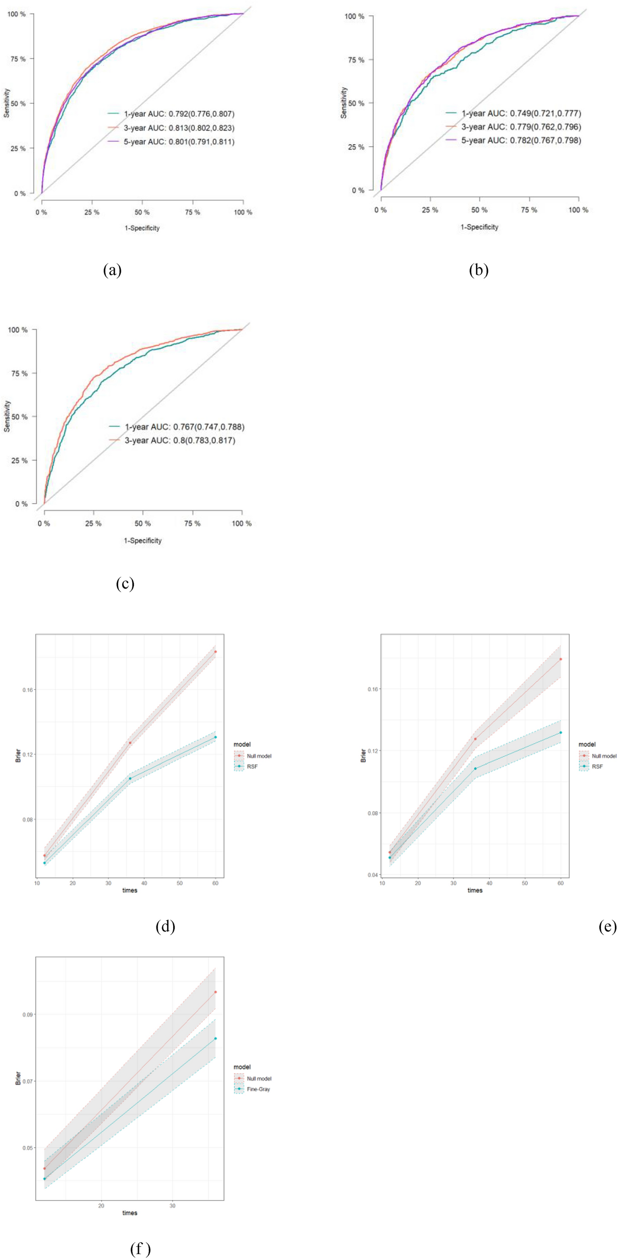
Fig. 7


(a) ROC curve and AUC for 1, 3, and 5 years of the RSF model in the train set. (b) ROC curve and AUC for 1, 3, and 5 years of the RSF model in the internal test set. (c) ROC curve and AUC for 1 and 3 years of the RSF model in the external test set. (d) Birer score curve of the RSF model in the train set. (e) Birer score curve of the RSF model in the internal test set. (f) Birer score curve of the RSF model in the external test set. (g) Decision curve for median survival time (1 year) of the RSF model in the train set. (h) Decision curve for median survival time (3 years) of the RSF model in the train set. (i) Decision curve for median survival time (5 years) of the RSF model in the train set. (j) Brier score curves of the RSF model.