Abstract
The management of health care waste (HCW) is a major environmental and public health challenge, especially in developing nations. A complex multi-criteria decision analysis problem encompassing both qualitative and quantitative aspects is the choice of the best technology for HCW disposal. It is possible to evaluate HCW treatment technologies using ambiguous or inaccurate data. Furthermore, the majority of current HCW decision models are unable to account for these intricate interactions. The (p–q) rung orthopair fuzzy set is integrated in this research to present a novel hybrid multi-criteria decision making (MCDM) model. Due to the greater range of their membership grades, (p–q) rung orthopair fuzzy sets can offer more ambiguous scenarios than Fermatean, Pythagorean, and intuitionistic fuzzy sets. We first develop basic operational criteria to characterize some aggregation operators (AOs) under Sugeno–Weber operations, comprising the Sugeno–Weber weighted averaging operator for (p–q) rung orthopairs ((p–q) ROFSWWA). We investigate these operators’ basic characteristics in further detail. To determine the ranking of alternatives, an enhanced combination compromise solution approach is suggested in this study. We provide a case study on HCW management selection to demonstrate the usefulness of our suggested approach. Comparing our suggested decision-making procedure to current MCDM techniques demonstrates its high efficacy and dependability in evaluating and rating HCW.
Similar content being viewed by others
Introduction
The actual words are overly complex because they contain ambiguity, uncertainty, or incomplete information. The fuzzified methodology, which is a crucial approach to addressing Humanistic framework that occur in real-world challenges, is how decision-makers approach these issues. It was Zadeh who introduced the crucial theory of fuzzy sets (FSs)1. It was then applied by numerous scholars and researchers to address various real-world occurrences in different domains and offer the best remedies or solutions. However, human evaluation of the nature of discontent was not covered by the FSs theory. To overcome this limitation, Atanassov2 was inspired to develop the idea of intuitionistic fuzzy sets (IFSs) and broaden the definition of the FS. In his study, Atanassov2 considered the main features of two new operators for IFSs. However, the current IFS is constrained because the membership degree (MD) and non-membership degree (NMD) sum cannot exceed one. Yager3 introduced a new class of FSs called Pythagorean fuzzy sets (PFSs) to solve this issue. The requirement that the membership and non-membership grade sums of squares be one or less is its relaxing condition. A more straightforward model than PFSs is then offered by Senapati and Yager4 as Fermatean fuzzy sets (PFSs), with the constraint that the membership and non-membership grade cube sums cannot exceed. These IPS presumptions have been used in a variety of applications and problem-solving scenarios, as shown in5. Yager6 expanded the range of membership and non-membership degrees by introducing the notion of q-rung orthopair fuzzy sets, or q RPOFSs, where q is greater than or equal to one. IFSs must also adapt to these developments because ambiguity is a major problem in many industries and is getting more complex every day. In order to handle the input data, some writers have recently proposed giving membership and non-membership levels distinct meanings. This method will improve the data spaces under study and offer illustrations of some actual issues. The Pythagorean and Fermatean fuzzy set categories are represented by (3, 2) fuzzy sets, which were initially introduced by Ibrahim et al.7. The fundamental set of operations for (2, 1)-fuzzy sets was later provided by Al-Shami8, who also provided examples to help clarify the idea. The concept of SR-fuzzy sets was also presented by Al-Shami et al.9, who also offered a number of weighted aggregated operators made from SR-fuzzy sets. An alternative method for enlarging the space of uncertainty was proposed by Gao and Zhang10 and is known as linear orthopair fuzzy sets. Decision-making problems that come up in people’s daily lives have been addressed by the aforementioned IFS kinds. Decision-making employed a range of aggregation techniques motivated by IFSs and their extensions in order to provide a distinctive output from the data gathered from numerous sources. In this crucial field, Xu11 and Xu and Yager12 have made numerous contributions, including studies that offer weighted geometric aggregation operators and weighted averaging aggregation operators in the setting of IFSs. Among the many contributions in this important area are the studies by Xu11 and Xu and Yager12, which provide weighted average aggregation operators and weighted geometric aggregation operators in the context of IFSs.
In recent years, various fuzzy set models, including Fermatean fuzzy sets (FFS), Pythagorean fuzzy sets (PFS), and intuitionistic fuzzy sets (IFS), have been widely applied in decision-making under uncertainty. However, each of these models has inherent limitations that hinder their ability to fully capture the complexities of decision-making scenarios, particularly when dealing with multi-criteria problems involving various degrees of membership, non-membership, and hesitation.
-
1.
Fermatean fuzzy sets (FFS): While FFS provides flexibility in representing uncertainty, it often falls short in scenarios where there is significant asymmetry between the membership and non-membership grades. The traditional approach used in FFS does not offer a mechanism to clearly handle the nuances of such asymmetries, leading to potential oversimplification in some complex decision-making contexts.
-
2.
Pythagorean fuzzy sets (PFS): A major drawback of PFS is the inherent constraint that the sum of the membership and non-membership degrees cannot exceed 1. This condition, while maintaining consistency in simpler cases, becomes restrictive in situations where more flexibility is needed. In certain decision-making environments, this constraint may prevent accurate representation of uncertainty, especially when dealing with overlapping or competing criteria.
-
3.
Intuitionistic fuzzy sets (IFS): While IFS models offer a more comprehensive approach by introducing hesitation degrees, they still face limitations in terms of capturing the full spectrum of uncertainty. Specifically, IFS models assume a complementary relationship between membership and non-membership, which does not always hold true in complex decision-making problems where uncertainty may be more intricate.
To address these limitations, this paper introduces the (p, q)-rung orthopair fuzzy set (ROFS) model, which enhances the flexibility and representation of uncertainty. Unlike existing models, the (p, q)-ROFS allows for distinct, non-complementary membership, non-membership, and hesitation degrees, providing a more nuanced framework for decision-making under uncertainty. This new approach offers greater adaptability in handling situations where the traditional models are insufficient, making it a promising tool for multi-criteria decision-making in complex, uncertain environments.
CoCoSo method
Yazdani was the first to propose the combined compromise solution (CoCoSo)13. In the three aggregation approaches used in the decision-making process, an exponentially weighted product (EWP) model and actual weight in addition (SAW) were combined, which we can regard as a feasible compromise. When choosing logistic providers, the CoCoSo method has proven effective14. There will be several practical considerations during the decision-making process. The CoCoSo technique has been applied in several uncertain circumstances to manage complex preference data. Karasan and Bolturk15 claim that the CoCoSo approach was developed around that time. The CoCoSo approach was tested in a hesitant fuzzy language scenario by Wen et al.16. The SAW17, MEW (multiplicative exponential weighting)18, and WASPAS (weighted aggregated sum product assessment)19 techniques were also used to aggregate processes. The MOORA (ratio analysis as the foundation for multiplicative optimization)20 and VIKOR21 approaches are two more MCDM strategies that decision-makers can utilise to reach a comprehensive compromise solution that aligns with their results.
A review on the Aczel–Alsina aggregation operators
In MCGDM, the AO plays a crucial role in identifying the optimal alternative. Essentially, it is a mathematical tool designed to combine a set of vectors into a single value. The Hamacher operations22, particularly the Hamacher T-norm (TN) and T-conorm (TCN), serve as robust alternatives to the traditional algebraic multiplication and summation. Many researchers have investigated Hamacher AOs and their applications to MCGDM problems23,24. Dombi AOs for PFS were suggested by Akram et al.25. Aydemir et al.26 proposed the use of Dombi AOs and the TOPSIS method for FFS. SW triangular norms are regarded as one of the most important parameter groups of t-norms27. The norms presented serve as dependable and efficient methods for aggregating information, thus addressing the ambiguity inherent in human assessments during the process of group decision-making. They can manage complex interactions with non-linear effects, whereas other aggregation operators may not be as adaptable and flexible. Sarkar et al.28, developed the SW TN and TCN, AOs for t-spherical fuzzy hypersoft numbers. Ashraf et al.29 introduced SW AOs for circular spherical fuzzy numbers. Wang et al.30 introduced novel q-rung orthopair SW-power AOs, highlighting their key features. Additionally, they proposed a MCGDM method using these operators and applied it to assess solar panels. Ashraf et al.31 introduced a series of SW AOs by integrating spherical fuzzy z-numbers with SW triangular norms. In recent years, a variety of difficult engineering problems have been addressed using fuzzy sets and various MCDM techniques32,33,34.
This study’s main goal is to introduce a new class of IFSs called (p, q)-fuzzy sets, which have higher membership and non-membership degree increases than any other class of q-ROFSs. Second, we can assess the input data for membership and non-membership grades with varying degrees of significance using the suggested class, which is useful for a number of practical applications. This problem has no bearing on the other IFS generalizations, which give membership and non-membership grades identical weight (2 in PESs, 3 in FFSs, and q in q-ROFSs). Step three is to create a new type of weighted aggregate operation and examine its description. Lastly, an example of an MCDM technique is presented with the operators proposed here.
Recent years have seen a surge in the application of multi-criteria decision-making (MCDM) techniques to the domain of waste management, addressing complex trade-offs among economic, environmental, technical, and social factors. For example, Katrancı et al.35 proposed fuzzy SIWEC and RAWEC methods specifically for sustainable waste disposal technology selection, demonstrating improved consistency in handling qualitative judgments across multiple criteria. Petchimuthu et al.36 integrated artificial intelligence within a q-rung orthopair fuzzy expo-logarithmic framework to enhance urban resilience and innovation in municipal waste systems. Ali37 introduced “Fairly Aggregation Operators” based on complex p, q-rung orthopair fuzzy sets and applied them to decision-making problems, illustrating the flexibility of advanced fuzzy operators in environmental contexts. Finally, Kumar38 provided a comprehensive and systematic review of MCDM methods over the past 2 decades (2004–2024), highlighting both the breadth of techniques employed and the growing importance of applications in waste and resource management. Despite these advances, a focused review of MCDM frameworks in healthcare waste treatment planning remains absent, leaving practitioners without tailored guidance for interdependent criteria in HCW management.
Research gap
Although fuzzy MCDM techniques have been broadly applied to municipal and industrial waste problems, there is no comprehensive framework that (1) incorporates p–q rung orthopair fuzzy sets to model simultaneous membership, non-membership, and hesitation degrees and (2) tailors the combined compromise solution (CoCoSo) method to the specific requirements of HCW treatment planning. Previous extensions of CoCoSo to intuitionistic or Pythagorean fuzzy settings fall short of exploiting the richer uncertainty representation afforded by p–q ROFS35,36,37,38. This work fills that gap by developing an extended CoCoSo method under a (p–q) rung orthopair fuzzy environment, explicitly validated on a real-world HCW case study in Shanghai.
Motivation
The need for effective decision-making models in complex and uncertain environments has become increasingly important across various domains, including healthcare, environmental management, and technology selection. Traditional decision-making approaches often struggle to handle the inherent vagueness, ambiguity, and conflicting information typically encountered in real-world problems. (p, q)-rung orthopair fuzzy sets (ROFS) offer a promising solution by providing a more flexible framework that captures both the degree of membership and non-membership, as well as the degree of hesitation, making it an ideal tool for modeling uncertainty in multi-criteria decision-making (MCDM) problems. Despite their potential, there is a notable gap in the literature when it comes to integrating these advanced fuzzy sets with existing decision-making methods. The CoCoSo (combined compromise solution) method, which is a popular aggregation-based approach in MCDM, has proven effective in various crisp and fuzzy environments. However, it has not yet been fully adapted to handle the complexities presented by (p, q)-rung orthopair fuzzy environments. This limitation presents a significant research gap, as an extension of the CoCoSo method under such fuzzy frameworks could enhance its applicability to real-world decision-making problems where expert evaluations and assessments are characterized by substantial uncertainty and fuzziness. Therefore, the motivation for this research stems from the need to extend the CoCoSo method to (p, q)-rung orthopair fuzzy sets to improve decision-making processes by offering a more comprehensive, flexible, and accurate solution to uncertainty in multi-criteria decision-making.
The structure of this article is as follows: In “Preliminaries” section covers the basic concepts related to TFFSs. In “Operational laws for (p–q)-ROF numbers based on Sugeno–Weber operator” section introduces the S operations for (p–q)-ROF. In “Numerical example” section demonstrates the problem statement of the proposed method for selection of the best Health-care waste (HCW) management. In “A CoCoSo method for MCDM with (p, q) FS” section, we discuss methodology based on CoCoSo approach for MCGDM problem. In “Comparison" presented comparison with other existing method. Lastly, the conclusion of in “Conclusion “ section synthesizes the findings of the study and outlines avenues for future research as well as prospective contributions to the field.
Preliminaries
In this part, we highlight the primary reasons to study intuitionistic fuzzy sets and provide a quick overview of their main generalizations along with an illustrative example.
Definition 1
(Atanassov2) An IFS defined on universe X is expressed as an object in the form.
where \(\eta_{\,{{\Lambda}\!\!\!\!\!\hbox{=}} } ,\xi_{{{\Lambda}\!\!\!\!\!\hbox{=}} } \in \left[ {0, 1} \right]\) in this context, \(\eta_{\,{{\Lambda}\!\!\!\!\!\hbox{=}} }\) and \(\xi_{{{\Lambda}\!\!\!\!\!\hbox{=}} }\) represent the MD and NMD of \(x \in X\), respectively and the condition \(0 \le \eta_{\,{{\Lambda}\!\!\!\!\!\hbox{=}} } \left( x \right) + \xi_{{{\Lambda}\!\!\!\!\!\hbox{=}} } \left( x \right) \le 1\) holds. For any \(x \in X\) with regard to an IFS, the degree of indeterminacy is determined by \(\pi_{{{\Lambda}\!\!\!\!\!\hbox{=}} } \left( x \right) = 1 - (\eta_{\,{{\Lambda}\!\!\!\!\!\hbox{=}} } \left( x \right) - \xi_{{{\Lambda}\!\!\!\!\!\hbox{=}} } \left( x \right)\).
Is well know that an IFS X becomes a FS if \(\eta_{\,{{\Lambda}\!\!\!\!\!\hbox{=}} } \left( x \right)\) = 1 − \(\left( {\eta_{\,{{\Lambda}\!\!\!\!\!\hbox{=}} } \left( x \right) + \xi_{{{\Lambda}\!\!\!\!\!\hbox{=}} } \left( x \right)} \right)\) for all \(x \in X\).
Definition 2
(Yager3) A PFS defined on universe X is expressed as an object in the form.
where \(\eta_{{\text{\pounds}}} ,\xi_{{\text{\pounds}}} \in \left[ {0, 1} \right]\) in this context, \(\eta_{{\text{\pounds}}}\) and \(\xi_{{\text{\pounds}}}\) represent the MD and NMD of \(x \in X\), respectively and the condition \(0 \le \left( {\eta_{{\text{\pounds}}} \left( x \right)} \right)^{2} + \left( {\xi_{{\text{\pounds}}} \left( x \right)} \right)^{2} \le 1\) holds. For every \(x \in X\) with regard to a PFS, the degree of indeterminacy is determined by \(\pi_{{\text{\pounds}}} \left( x \right) = \sqrt {1 - \left( {\left( {\eta_{{\text{\pounds}}} \left( x \right)} \right)^{2} + \left( {\xi_{{\text{\pounds}}} \left( x \right)} \right)^{2} } \right)} .\)
Definition 3
(Senapati and Yager4) A FFS defined on universe X is expressed as an object in the form.
where \(\eta_{{{\hat{\text{U}}}}} ,\xi_{{{\hat{\text{U}}}}} \in \left[ {0, 1} \right]\) in this context, \(\eta_{{{\hat{\text{U}}}}}\) and \(\xi_{{{\hat{\text{U}}}}}\) represent the MD and NMD of \(x \in X\), respectively and the condition \(0 \le \left( {\eta_{{{\hat{\text{U}}}}} \left( x \right)} \right)^{3} + \left( {\xi_{{{\hat{\text{U}}}}} \left( x \right)} \right)^{3} \le 1\) holds. The degree indeterminacy for each \(x \in X\) with respect to a FFS is given by \(\pi_{{{\hat{\text{U}}}}} \left( x \right) = \sqrt[3] {1 - \left( {\left( {\eta_{{{\hat{\text{U}}}}} \left( x \right)} \right)^{3} + \left( {\xi_{{{\hat{\text{U}}}}} \left( x \right)} \right)^{3} } \right)}\).
To address more instances of ambiguity or uncertainty, Yagar6 introduced the idea of q-rung orthopair fuzzy sets in the following manner.
Definition 4
(Yager6) A q-ROFS defined on universe X is expressed as an object in the form.
where \(\eta_{{\mathcal{Q}}} ,\xi_{{\mathcal{Q}}} \in \left[ {0, 1} \right]\) in this context, \(\eta_{{\mathcal{Q}}}\) and \(\xi_{{\mathcal{Q}}}\) represent the MD and NMD degree of \(x \in X\), respectively and the condition \(0 \le \left( {\eta_{{\mathcal{Q}}} \left( x \right)} \right)^{q} + \left( {\xi_{{\mathcal{Q}}} \left( x \right)} \right)^{q} \le 1\) holds. Regarding a q-ROFS, the indeterminacy degree of each \(x \in X\) is provided by \(\pi_{{\mathcal{Q}}} \left( x \right) = \sqrt[p]{{1 - \left( {\left( {\eta_{{\mathcal{Q}}} \left( x \right)} \right)^{3} + \left( {\xi_{{\mathcal{Q}}} \left( x \right)} \right)^{3} } \right)}}\).
Definition 5
(Shahzadi et al.39) Assume that p and q are positive real numbers. Accordingly, for each p, q > 1, Briefly stated, the (p–q)-ROF set is (p–q)-ROFS \({\mathcalligra{w}}\) over the universal set X.
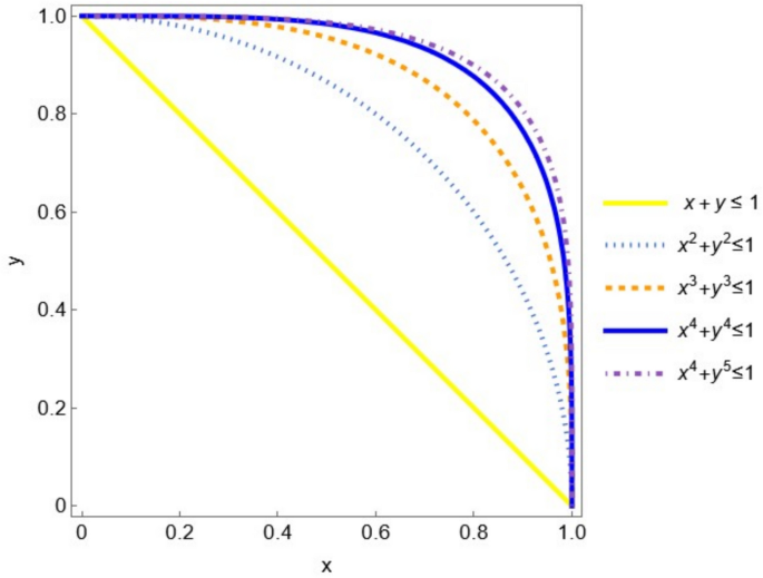
where \(\eta_{{\mathcalligra{w}}} ,\xi_{{\mathcalligra{w}}} \in \left[ {0, 1} \right]\) in this context, \(\eta_{{\mathcalligra{w}}}\) and \(\xi_{{\mathcalligra{w}}}\) represent the MD and NMD degree of \(x \in X\), respectively and the condition \(0 \le \left( {\eta_{{\mathcalligra{w}}} \left( x \right)} \right)^{p} + \left( {\xi_{{\mathcalligra{w}}} } \right)^{q} \le 1\) holds. Regarding a q-ROFS, the indeterminacy degree of each \(x \in X\) is provided by \(\pi_{{\mathcalligra{w}}} \left( x \right) = \left( {1 - \left( {\left( {\eta_{{\mathcalligra{w}}} \left( x \right)} \right)^{p} + \left( {\xi_{{\mathcalligra{w}}} \left( x \right)} \right)^{q} } \right)} \right)^{\frac{1}{pq}}\). Figure 1 displays a couple of grade spaces for (p–q)-ROF membership and (p–q)-fuzzy non-membership. It is easily seen that on increasing the values of p, q, the decision makers get more freedom to study the uncertainty.
Some grade spaces of (p–q)-ROFS.
Remark 1
(p–q)-ROFS coincides with
-
1.
IFS if p = q = 1.
-
2.
PFS if p = q = 2.
-
3.
FFS if p = q = 3.
-
4.
q-ROFS if p = q = q.
-
5.
(2,3)-FS if p = 2 and q = 3.
-
6.
We contrast (p–q)-ROFS with the earlier generalization of IFSs in the following.
Definition 6
(Ali36) Let \({\mathcalligra{w}} = \left( {\eta_{{\mathcalligra{w}}} \left( x \right),\xi_{{\mathcalligra{w}}} \left( x \right)} \right)\) be a (p–q)-ROFN. The score function of \({\mathcalligra{w}}\) can be determined as follows:
Definition 7
(Hussain and Ullah27) Equations (8) and (9) define the SW TN and TCN for real numbers ξ and Ω.
Operational laws for (p–q)-ROF numbers based on Sugeno–Weber operator
Definition 8
Let \({\mathcalligra{w}}_{1} = \left( { \eta_{{{\mathcalligra{w}}_{1} }} , \xi_{{{\mathcalligra{w}}_{1} }} } \right)\) and \({\mathcalligra{w}}_{2} = \left( { \eta_{{{\mathcalligra{w}}_{2} }} , \xi_{{{\mathcalligra{w}}_{2} }} } \right)\) be two (p–q)-ROF numbers, where \(\lambda \in \left[ {0, 1} \right]\) and \(\theta \ge 1\) be a real number. Then, Sugeno–Weber t-norm and t-conorm operations of (p–q)-Fuzzy numbers are described as:
-
1.
\({\mathcalligra{w}}_{1} \oplus_{A} {\mathcalligra{w}}_{2} = \left( {\sqrt[p]{{\frac{{\eta_{{\mathcalligra{w}}}^{p} + \eta_{{\mathcalligra{w}}}^{p} - 1 + \theta \eta_{{\mathcalligra{w}}}^{p} \eta_{{\mathcalligra{w}}}^{p} }}{1 + \theta }}}, \sqrt[q]{{\xi_{{\mathcalligra{w}}}^{q} + \xi_{{\mathcalligra{w}}}^{q} - \frac{{\theta \xi_{{\mathcalligra{w}}}^{q} \xi_{{{\mathcalligra{w}}_{2} }}^{q} }}{1 + \theta }}}} \right)\);
-
2.
\({\mathcalligra{w}}_{1} \otimes_{A} {\mathcalligra{w}}_{2} = \left( {\sqrt[p]{{\eta_{{{\mathcalligra{w}}_{1} }}^{p} + \eta_{{{\mathcalligra{w}}_{2} }}^{p} - \frac{{\theta \eta_{{{\mathcalligra{w}}_{1} }}^{p} \eta_{{{\mathcalligra{w}}_{2} }}^{p} }}{1 + \theta }}},\sqrt[p]{{\frac{{\xi_{{{\mathcalligra{w}}_{1} }}^{q} + \xi_{{{\mathcalligra{w}}_{2} }}^{q} - 1 + \theta \xi_{{{\mathcalligra{w}}_{1} }}^{q} \xi_{{{\mathcalligra{w}}_{2} }}^{q} }}{1 + \theta }}}} \right)\);
-
3.
\(\lambda \left( {{\mathcalligra{w}}_{1} } \right) = \left( {\sqrt[p]{{\frac{1 + \theta }{\theta }\left( {1 - \left( {1 - \frac{{\theta \eta_{{{\mathcalligra{w}}_{1} }}^{p} }}{1 + \theta }} \right)^{\lambda } } \right)}}, \sqrt[q]{{\frac{1}{\theta }\left( {\left( {1 + \theta } \right)\left( {\frac{{\theta \xi_{{{\mathcalligra{w}}_{1} }}^{q} + 1}}{1 + \theta }} \right)^{\lambda } - 1} \right)}}} \right)\);
-
4.
\(\left( {{\mathcalligra{w}}_{1} } \right)^{\lambda } = \left( {\sqrt[p]{{\frac{1}{\theta }\left( {\left( {1 + \theta } \right)\left( {\frac{{\theta \eta_{{{\mathcalligra{w}}_{1} }}^{p} + 1}}{1 + \theta }} \right)^{\lambda } - 1} \right)}},\sqrt[q]{{\frac{1 + \theta }{\theta }\left( {1 - \left( {1 - \frac{{\theta \xi_{{{\mathcalligra{w}}_{1} }}^{q} }}{1 + \theta }} \right)^{\lambda } } \right)}}} \right)\).
(p, q)-Fuzzy Sugeno–Weber weighted average ((p–q)-FAAWA) operator
Definition 9
Let \({\mathcalligra{w}}_{j} = \left( { \eta_{{{\mathcalligra{w}}_{j} }} , \xi_{{{\mathcalligra{w}}_{j} }} } \right)\left( {j = 1,2, \ldots ,n} \right)\) be set of (p, q)-FNs. Then, the (p–q)-ROF Sugeno–Weber weighted averaging (p–q)-ROFSWWA) operator is a function \(\left( {p{-}q} \right)ROFSWWA:{\mathcalligra{w}}^{n} \to {\mathcalligra{w}},\) such that:
where \({\mathbb{S}} = \left( {{\mathbb{S}}_{1} , {\mathbb{S}}_{2} , \ldots , {\mathbb{S}}_{n} } \right)^{T} , \;{\mathbb{S}}_{j} > 0,\) and \(\sum\nolimits_{j = 1}^{n} {{\mathbb{S}}_{j} }\) = 1.
Theorem 1
If \({\mathcalligra{w}}_{j} = \left( { \eta_{{{\mathcalligra{w}}_{j} }} , \xi_{{{\mathcalligra{w}}_{j} }} } \right)\;\left( {j = 1,2, \ldots ,n} \right)\) is a collection of (p–q)-FNs, the aggregated value of them using the (p–q)-ROFSWWA operation is also an (p–q)-ROFN.
where \({\mathbb{S}} = \left( {{\mathbb{S}}_{1} , {\mathbb{S}}_{2} , \ldots , {\mathbb{S}}_{n} } \right)^{T}\) represent the weight vector of \({\mathcalligra{w}}_{j} \left( {j = 1,2, \ldots ,n} \right)\) such that \({\mathbb{S}}_{j} > 0,\) and \(\sum\nolimits_{j = 1}^{n} {{\mathbb{S}}_{j} } = 1\).
Proof
Apply mathematical induction to prove it.
For \(n = 2\)
Consequently, for n = 1, Eq. (8) is true.
Assume that for n = k, Eq. (8) is true.
Now, for \(n = k + 1\)
Hence Eq. (8) is true for \(n = k + 1\).
Below is a list of some of the traits that this operator imports the (p–q)-ROFAAWA.
Property 1
Assuming that every (p–q)-ROFN is the same, i.e., \({\mathcalligra{w}}_{j} = \left( { {\mathcalligra{u}}_{{{\mathcalligra{w}}_{e} }} , {\mathcalligra{n}}_{{{\mathcalligra{w}}_{e} }} } \right)\left( {j = 1,2, \ldots ,n} \right){ } = \left( { {\mathcalligra{u}}_{{\mathcalligra{w}}} , {\mathcalligra{n}}_{{\mathcalligra{w}}} } \right)\) for all \(t,\) \({\mathcalligra{w}}_{j} = {\mathcalligra{w}}\) then;
where \({\mathbb{S}} = \left( {\mathbb{S}}_{1} , {\mathbb{S}}_{2} , \ldots , {\mathbb{S}}_{n} \right)^{T}\) represent the weight vector of \({\mathcalligra{w}}_{j} \left( {j = 1,2, \ldots ,n} \right)\) such that \({\mathbb{S}}_{j} > 0,\) and \(\sum\nolimits_{j = 1}^{n} {{\mathbb{S}}_{j} } = 1\).
Proof
Equation (9) assumes that \({\mathcalligra{w}}_{j} = {\mathcalligra{w}}\) for every \(j\).
Property 2
(Boundedness) If \({\mathcalligra{w}}_{j} = \left( {\eta_{{{\mathcalligra{w}}_{j} }} , \xi_{{{\mathcalligra{w}}_{j} }} } \right)\left( {j = 1,2, \ldots ,n} \right)\) be set of (p–q)-ROFNs. Let \({\mathcalligra{w}}^{ - } = min\left( {\mathcalligra{w}}_{1} ,{\mathcalligra{w}}_{2} , \right.\) \(\left. \ldots ,{\mathcalligra{w}}_{n} \right)\) and \({\mathcalligra{w}}^{ + } = max\left( {{\mathcalligra{w}}_{1} ,{\mathcalligra{w}}_{2} , \ldots ,{\mathcalligra{w}}_{n} } \right)\). Then
Property 3
(Monotonicity) Let \({\mathcalligra{w}}_{j}^{\prime\prime} = \left( { \eta_{{{\mathcalligra{w}}_{j} }}^{\prime\prime} ,\xi_{{{\mathcalligra{w}}_{j} }}^{\prime\prime} } \right)\) and \({\mathcalligra{w}}_{j} = \left( {\eta_{{{\mathcalligra{w}}_{j} }} , \xi_{{{\mathcalligra{w}}_{j} }} } \right)\) be two set of (p–q)-ROFNs with \(\left( {j = 1,2, \ldots ,n} \right)\) such that, \(\eta_{{{\mathcalligra{w}}_{j} }} \le \eta_{{{\mathcalligra{w}}_{j} }}^{\prime\prime}\) and \(\xi_{{{\mathcalligra{w}}_{j} }} \ge \xi_{{{\mathcalligra{w}}_{j} }}^{\prime\prime}\) then,
Numerical example
In this section, a real-world case study from Shanghai, China, is presented to illustrate the practical application of the proposed hybrid decision-making model for the selection of Healthcare Waste (HCW) treatment technologies, particularly in situations where the evaluation criteria are interdependent. Shanghai, one of the largest metropolitan areas in the world, comprises 16 districts and one county with a population exceeding 23 million. Due to increased urbanization and recent waste management regulations specifically the Shanghai Municipal Solid Waste Management Regulations (2019) the amount of HCW collected and processed in the city has significantly increased. Current incineration facilities, limited in capacity and facing stricter emissions standards, are no longer sufficient to handle the growing volume of medical waste. Consequently, alternative HCW treatment technologies are required to ensure environmental compliance and public health safety.
To investigate this issue, we conducted expert interviews with representatives from the Shanghai Environmental Protection Bureau and personnel from Shanghai Health Waste Co. Ltd., the city’s primary HCW collection contractor. These engagements, alongside a comprehensive literature review and adherence to national waste treatment standards, helped us identify the operational limitations of existing systems and the criteria required for technology evaluation. Four candidate technologies were shortlisted following a preliminary screening: landfill (\(\tilde{\upchi }_{1}\)), microwave disinfection (\(\tilde{\upchi }_{2}\)), steam sterilization (\(\tilde{\upchi }_{3}\)), and incineration (\(\tilde{\upchi }_{4}\)). These options represent both conventional and modern HCW treatment approaches currently in use or under consideration in Shanghai.
The evaluation of HCW treatment technologies in this study is based on a set of critical criteria that reflect economic, environmental, technical, and health-related concerns. These include:
Net cost per ton: This criterion refers to the total cost incurred for treating one ton of healthcare waste, incorporating both capital expenditures (CAPEX) such as equipment and installation costs, and operational expenditures (OPEX) including labor, energy, maintenance, and consumables. Lower net costs indicate more economically feasible treatment options.
Waste residuals: This criterion evaluates the proportion of untreated or secondary waste remaining after the treatment process. A high residual volume indicates inefficiency in the treatment process and increases the burden on final disposal facilities. Technologies with minimal waste residuals are preferred for their environmental sustainability.
Release with health effects: This criterion assesses the potential environmental emissions (such as dioxins, furans, or other toxic pollutants) and their associated health risks, especially to operators and nearby communities. This includes air pollutants, leachate, and bioaerosols. Technologies with low or no harmful emissions are prioritized to ensure public and occupational health safety.
Reliability: Reliability refers to the operational stability and consistency of the treatment system. It includes indicators such as uptime percentage, failure frequency, and maintenance requirements. A highly reliable system minimizes service interruptions and ensures consistent waste processing capacity, which is essential in high-demand urban settings like Shanghai.
Treatment effectiveness: This criterion measures the capability of a technology to completely neutralize or destroy pathogens and hazardous components in healthcare waste. It includes metrics such as pathogen log reduction, sterilization efficiency, and temperature/pressure consistency in thermal processes. High treatment effectiveness ensures safe waste management and compliance with health regulations.
Five criteria and four assessment aspects make up the problem’s hierarchical structure, which is represented in Fig. 2.
HCW treatment technology hierarchical structure model.
This case study provides a realistic and complex scenario that validates the strength of the proposed (p, q)-rung orthopair fuzzy set model combined with the Sugeno–Weber aggregation operator, particularly in capturing nuanced relationships between interrelated decision criteria under uncertainty.
A CoCoSo method for MCDM with (p, q) FS
The use of (p–q) rung orthopair fuzzy sets in the CoCoSo method enhances the model’s ability to handle uncertainty and imprecision in decision-making. These fuzzy sets represent both membership and non-membership degrees, allowing for more accurate modeling of hesitant and conflicting preferences. They enable the CoCoSo method to better address the interdependencies among criteria, which is often a challenge in complex decision-making problems. By incorporating uncertainty, the method can provide more reliable and flexible evaluations. This approach ensures that the aggregation process is not dominated by a single criterion, improving the robustness of the decision-making model. It allows for more precise and balanced decision outcomes, particularly in cases with incomplete or ambiguous data.
In this section, we utilize the proposed CoCoSo method and (p–q)-ROFAAWA operator to develop a novel MCDM model in the TFFNs context. Assume there are \(\overline{m}\) alternatives \(\left\{ {\tilde{\upchi }_{1} ,\tilde{\upchi }_{2} , \ldots ,\tilde{\upchi }_{{\overline{m}}} } \right\}\), \(\overline{n}\) be set of criteria \(\{ {\overset{\lower0.5em\hbox{$\smash{\scriptscriptstyle\smile}$}}{{\uppsi }}_{1} ,\overset{\lower0.5em\hbox{$\smash{\scriptscriptstyle\smile}$}}{{\uppsi }}_{2} ,{ } \ldots ,\overset{\lower0.5em\hbox{$\smash{\scriptscriptstyle\smile}$}}{{\uppsi }}_{{\overline{n}}} } \}\), let \({\mathcal{W}} = \left( {{\mathcal{W}}_{1} ,\user2{ }{\mathcal{W}}_{2} ,\user2{ } \ldots ,{\mathcal{W}}_{{\overline{n}}} } \right)^{T}\) represent the vectors for criteria weights that satisfy the following conditions. Let \({\mathcal{W}}_{j} { } \in \left[ {0,1} \right]\), and \(\sum\nolimits_{j = 1}^{{\overline{n}}} {{\mathcal{W}}_{j} } = 1\). Each decision-maker evaluates the provided alternatives across various attributes and expresses their preference values as (p–q)-ROFNs. Suppose \(H = \left( {{\mathcalligra{w}}_{ij} } \right)_{{\overline{m} \times \overline{n}}}\) is the decision matrix, in which \({\mathcalligra{w}}_{ij} = \left( { \eta_{{{\mathcalligra{w}}_{ij} }} , \xi_{{{\mathcalligra{w}}_{ij} }} } \right)\) represents a (p–q)-ROFNs. This (p–q)-ROFNs quantifies the evaluation assigned to the pth alternative concerning the qth criterion, as provided by the decision maker (DM). The following are the decision-making phases in the suggested MCGDM model:
Step 1 Construct the matrix of decisions. \(H = \left( {{\mathcalligra{w}}_{ij} } \right)_{{\overline{m} \times \overline{n}}}\)
Step 2 Calculate the score values of the decision matrix using Eq. (6)
Step 3 Determine the criteria weight40 \(\varpi_{j}\) for a scoring function’s matrix \({\mathbb{D}}\) using
Step 4 Calculate the objective weight for \({\mathbb{Q}}_{j}\) using
Step 5 Assess each alternative \(S_{i}\) weight’s comparability sequences as
Step 6 For every option, determine the power weight \(P_{i}\) comparability sequence.
Step 7 For each aggregation methods given in Eqs. (19–21)
Step 8 Using Determine \(T_{i}\), the score value, using
Step 1 The matrix of decisions \(H = \left( {{\mathcalligra{w}}_{ij} } \right)_{5 \times 4}\) is provided in Table 1.
Step 2 Table 2 provides the values of the decision matrix score function, which are derived using Eq. (6).
Step 3 Use Eqs. (15) and (16), which gives \({\mathbb{Q}}_{j}\) for a matrix R of a score function given in Table 3.
Step 4 As shown in Table 4, find the entire weighted comparability sequence \(S_{i} .\)
Step 5 Calculate how many power-weighted similar sequences (\(P_{i}\)) there are in total in Table 4.
Step 6 Obtained the three aggregation strategies \(T_{ia}\), \(T_{ib}\), and \(T_{ic}\) are given in Table 5.
Comparison
To validate the robustness of the proposed (p–q)-ROF-CoCoSo method, additional well-established MCDM techniques namely GRA41, EDAS42, TOPSIS43, FFYWA44, and VIKOR45 were applied to the same decision-making problem. The outcomes of these comparative methods are summarized in Table 6. The results demonstrate that the ranking order of alternatives remains consistent across all applied techniques, with \(\tilde{\upchi }_{5}\) unanimously identified as the best alternative. This consistency across diverse methodologies confirms the stability, effectiveness, and reliability of the proposed (p–q)-ROF-CoCoSo approach. Furthermore, Fig. 3 illustrates the graphical representation of the rankings, further supporting that \(\tilde{\upchi }_{5}\) retains the highest position regardless of the method employed. Minor variations in the ranking orders of the remaining alternatives can be attributed to the differences in the underlying evaluation criteria, normalization techniques, and aggregation mechanisms used by each method. Despite these methodological differences, the dominance of \(\tilde{\upchi }_{5}\) across all approaches emphasizes the robustness of the results. All comparative techniques incorporated their respective aggregation operators (AOs) as part of their decision-making frameworks. However, it is important to note that most traditional methods assume independence among criteria, limiting their applicability in real-world situations where interdependencies often exist. In contrast, the proposed (p–q)-ROF-CoCoSo method integrates outranking-based strategies that do not require assumptions regarding the independence or dependence of criteria. This characteristic enables a more flexible and context-sensitive evaluation of alternatives (Table 7).
Graphical views of existing and proposed methods.
Consequently, the proposed method not only aligns with the outcomes of other reputable techniques but also demonstrates enhanced adaptability in dealing with complex decision environments. The comparison affirms that the (p–q)-ROF-CoCoSo method provides a more rational and comprehensive decision-making model, making it a valuable tool in multi-criteria analysis.
The graphical comparison of methods discussed in Table 6 are shown in Fig. 3.
Advantages of the proposed work
-
1.
Enhanced uncertainty modeling: The integration of (p, q)-rung orthopair fuzzy sets allows for a more flexible and powerful representation of uncertainty, surpassing traditional fuzzy, intuitionistic fuzzy, and Pythagorean fuzzy sets in capturing expert hesitation.
-
2.
Improved decision accuracy: By incorporating the (p, q)-ROFS structure into the CoCoSo method, the model better handles imprecise and vague evaluations, leading to more reliable and accurate decision outcomes.
-
3.
Aggregation versatility: The extended CoCoSo method combines multiple aggregation strategies (weighted sum, product, and compromise) under the fuzzy framework, which improves robustness and balances between optimistic and pessimistic decision attitudes.
-
4.
Applicability to real-world problems: The model is well-suited for complex, multi-criteria environments such as healthcare waste management, where criteria are interdependent and assessments are uncertain.
-
5.
Supports complex hierarchical structures: The method can be adapted to hierarchical or multi-level criteria systems, offering flexibility in structuring large decision problems.
Limitations of the proposed work
-
1.
Parameter sensitivity: The choice of (p, q) parameters can significantly influence the results, and improper selection may lead to misleading conclusions. There is often no standardized approach for choosing optimal (p, q) values.
-
2.
Computational complexity: The combination of (p, q)-ROFS with CoCoSo increases computational overhead, especially for large-scale problems with many alternatives and criteria.
-
3.
Subjectivity in Weight Assignment: Despite improvements in modeling uncertainty, assigning weights to criteria often still relies on expert judgment, which introduces subjectivity.
-
4.
Lack of universally valid benchmarks: There is limited comparative benchmarking against other hybrid fuzzy MCDM models in literature, which may raise concerns about the model’s relative performance and generalizability.
-
5.
Interpretability for non-experts: The mathematical formulation of (p, q)-ROFS and its integration with CoCoSo may be difficult to interpret for decision-makers unfamiliar with advanced fuzzy set theory.
Conclusion
This paper introduces a novel MCDM framework that utilizes aggregation operations within the (p–q)-rung orthopair fuzzy (ROF) environment. The aggregation operators are based on Sugeno–Weber t-norm and t-conorm, offering a parametric approach to adjust the aggregation process according to the preferences of decision-makers. By employing these advanced aggregation operations, the method allows for enhanced flexibility in handling complex decision-making scenarios, particularly those involving uncertainty and imprecision. The paper explores the underlying characteristics of these operators and proposes a practical MCDM approach using (p–q)-ROF numbers, which represent a more sophisticated way of modeling uncertainty in decision-making problems. The paper also examines the application of the CoCoSo method for managing multi-attribute group decision-making (MAGDM) problems under the (p–q)-ROF framework. In particular, the study highlights the use of intuitionistic fuzzy sets (IFSs) to represent uncertain information, especially in contexts like financial risk assessments for high-tech enterprises. The (p–q)-ROF-CoCoSo approach is introduced as an effective method for managing MAGDM in (p–q)-ROFS environments, offering a robust solution to handling complex and interdependent criteria. To validate the proposed method, a real-world case study on the selection of healthcare waste (HCW) treatment alternatives is presented. The method’s effectiveness is demonstrated by comparing it with existing MCDM techniques.
The CoCoSo method is shown to be versatile and can be applied to various fuzzy information theories, such as circular Fermatean fuzzy sets, triangular Fermatean fuzzy sets, and circular q-Rung Orthopair fuzzy sets, making it suitable for a broad range of applications.
Data availability
The datasets used and/or analysed during the current study available from the corresponding author on reasonable request.
References
Zadeh, L. A. Fuzzy sets. Information and Control 8(3), 338–353, (1965).
Atanassov, K. Intuitionistic fuzzy sets. Int. J. Bioautom. 20, 1 (2016).
Yager, R. R. Pythagorean membership grades in multicriteria decision making. IEEE Trans. Fuzzy Syst. 22(4), 958–965 (2013).
Senapati, T. & Yager, R. R. Fermatean fuzzy weighted averaging/geometric operators and its application in multi-criteria decision-making methods. Eng. Appl. Artif. Intell. 85, 112–121 (2019).
Kirişci, M., Demir, I. & Şimşek, N. Fermatean fuzzy ELECTRE multi-criteria group decision-making and most suitable biomedical material selection. Artif. Intell. Med. 127, 102278 (2022).
Yager, R. R. Generalized orthopair fuzzy sets. IEEE Trans. Fuzzy Syst. 25(5), 1222–1230 (2016).
Ibrahim, H. Z., Al-Shami, T. M. & Elbarbary, O. G. (3, 2)-Fuzzy sets and their applications to topology and optimal choices. Comput. Intell. Neurosci. 2021(1), 1272266 (2021).
Al-shami, T. M. (2, 1)-Fuzzy sets: Properties, weighted aggregated operators and their applications to multi-criteria decision-making methods. Complex Intell. Syst. 9(2), 1687–1705 (2023).
Al-Shami, T. M., Ibrahim, H. Z., Azzam, A. A. & El-Maghrabi, A. I. SR-fuzzy sets and their applications to weighted aggregated operators in decision-making. J. Funct. Spaces 2022, 3653225 (2022).
Gao, S. & Zhang, X. Linear orthopair fuzzy sets. Int. J. Fuzzy Syst. 24(4), 1814–1838 (2022).
Xu, Z. Intuitionistic fuzzy aggregation operators. IEEE Trans. Fuzzy Syst. 15(6), 1179–1187 (2007).
Xu, Z. & Yager, R. R. Some geometric aggregation operators based on intuitionistic fuzzy sets. Int. J. Gen. Syst 35(4), 417–433 (2006).
Yazdani, M., Zarate, P., Kazimieras Zavadskas, E. & Turskis, Z. A combined compromise solution (CoCoSo) method for multi-criteria decision-making problems. Manag. Decis. 57(9), 2501–2519 (2019).
Ecer, F., Pamucar, D., Zolfani, S. H. & Eshkalag, M. K. Sustainability assessment of OPEC countries: Application of a multiple attribute decision making tool. J. Clean. Prod. 241, 118324 (2019).
Karasan, A., & Bolturk, E. Solid waste disposal site selection by using neutrosophic combined compromise solution method. In Infinite Study (2019).
Wen, Z., Liao, H., Mardani, A., & Al-Barakati, A. A hesitant fuzzy linguistic combined compromise solution method for multiple criteria decision making. In Proceedings of the Thirteenth International Conference on Management Science and Engineering Management, vol. 113, pp. 813–821 (Springer, 2020).
Afshari, A., Mojahed, M. & Yusuff, R. M. Simple additive weighting approach to personnel selection problem. Int. J. Innov. Manag. Technol. 1(5), 511 (2010).
Multi-attribute decision making: a simulation comparison of select methods.
Zavadskas, E. K., Turskis, Z., Antucheviciene, J. & Zakarevicius, A. Optimization of weighted aggregated sum product assessment. Elektron. Elektrotech. 122(6), 3–6 (2012).
Brauers, W. K. & Zavadskas, E. K. The MOORA method and its application to privatization in a transition economy. Control Cybern. 35(2), 445–469 (2006).
Opricovic, S. Multicriteria Optimization of Civil Engineering Systems (Faculty of Civil Engineering, 1998).
Hamacher, H., Trappl, R., Klir, G. H., & Riccardi, L. Uber Logische Verknunpfungenn Unssharfer Aussagen und deren Zugenhorige Bewertungsfunktione. In Progress in Cybernatics and Systems Research, vol. 3, 276–288 (1978)
Liu, P. Some Hamacher aggregation operators based on the interval-valued intuitionistic fuzzy numbers and their application to group decision making. IEEE Trans. Fuzzy Syst. 22(1), 83–97 (2013).
Tan, C., Yi, W. & Chen, X. Hesitant fuzzy Hamacher aggregation operators for multicriteria decision making. Appl. Soft Comput. 26, 325–349 (2015).
Akram, M., Dudek, W. A. & Dar, J. M. Pythagorean Dombi fuzzy aggregation operators with application in multicriteria decision-making. Int. J. Intell. Syst. 34(11), 3000–3019 (2019).
Aydemir, S. B. & Yilmaz Gunduz, S. Fermatean fuzzy TOPSIS method with Dombi aggregation operators and its application in multi-criteria decision making. J. Intell. Fuzzy Syst. 39(1), 851–869 (2020).
Hussain, A. & Ullah, K. An intelligent decision support system for spherical fuzzy Sugeno–Weber aggregation operators and real-life applications. Spectr. Mech. Eng. Oper. Res. 1(1), 177–188 (2024).
Sarkar, A. et al. Sugeno–Weber triangular norm-based aggregation operators under T-spherical fuzzy hypersoft context. Inf. Sci. 645, 119305 (2023).
Ashraf, S., Iqbal, W., Ahmad, S. & Khan, F. Circular spherical fuzzy Sugeno Weber aggregation operators: A novel uncertain approach for adaption a programming language for social media platform. IEEE Access 11, 124920–124941 (2023).
Wang, Y., Hussain, A., Yin, S., Ullah, K. & Božanić, D. Decision-making for solar panel selection using Sugeno–Weber triangular norm-based on q-rung orthopair fuzzy information. Front. Energy Res. 11, 1293623 (2024).
Ashraf, S., Akram, M., Jana, C., Jin, L. & Pamucar, D. Multi-criteria assessment of climate change due to green house effect based on Sugeno Weber model under spherical fuzzy Z-numbers. Inf. Sci. 666, 120428 (2024).
Sarkar, A. et al. A hybrid approach based on dual hesitant q-rung orthopair fuzzy Frank power partitioned Heronian mean aggregation operators for estimating sustainable urban transport solutions. Eng. Appl. Artif. Intell. 124, 106505 (2023).
Hussain, A., Ullah, K., Mubasher, M., Senapati, T. & Moslem, S. Interval-valued Pythagorean fuzzy information aggregation based on Aczel–Alsina operations and their application in multiple attribute decision making. IEEE Access 11, 34575–34594 (2023).
Jabeen, K., Khan, Q., Ullah, K., Senapati, T. & Moslem, S. An approach to MADM based on Aczel–Alsina power Bonferroni aggregation operators for q-rung orthopair fuzzy sets. IEEE Access 11, 105248–105261 (2023).
Katrancı, A., Kundakcı, N. & Arman, K. Fuzzy SIWEC and Fuzzy RAWEC methods for sustainable waste disposal technology selection. Spectr. Oper. Res. 3(1), 87–102 (2026).
Petchimuthu, S. & Palpandi, B. Sustainable urban innovation and resilience: Artificial intelligence and q-rung orthopair fuzzy expologarithmic framework. Spectr. Decis. Mak. Appl. 2(1), 242–267 (2025).
Ali, Z. Fairly aggregation operators based on complex p, q-rung orthopair fuzzy sets and their application in decision-making problems. Spectr. Oper. Res. 2(1), 113–131 (2025).
Kumar, R. & Pamucar, D. A comprehensive and systematic review of multi-criteria decision-making (MCDM) methods to solve decision-making problems: Two decades from 2004 to 2024. Spectr. Decis. Mak. Appl. 2(1), 178–197 (2025).
Shahzadi, G., Luqman, A., Shahzadi, S. & Deveci, M. A new (p; q)-rung orthopair fuzzy SIR method with a multi-criteria decision-making approach. Granul. Comput. 9(2), 30 (2024).
Qiyas, M. et al. Decision support system based on CoCoSo method with the picture fuzzy information. J. Math. 2022(1), 1476233 (2022).
Zhang, S. F. & Liu, S. Y. A GRA-based intuitionistic fuzzy multi-criteria group decision making method for personnel selection. Expert Syst. Appl. 38(9), 11401–11405 (2011).
Kahraman, C. et al. Intuitionistic fuzzy EDAS method: An application to solid waste disposal site selection. J. Environ. Eng. Landsc. Manag. 25(1), 1–12 (2017).
Liang, D. & Xu, Z. The new extension of TOPSIS method for multiple criteria decision making with hesitant Pythagorean fuzzy sets. Appl. Soft Comput. 60, 167–179 (2017).
Garg, H., Shahzadi, G. & Akram, M. Decision-making analysis based on Fermatean fuzzy Yager aggregation operators with application in COVID-19 testing facility. Math. Probl. Eng. 2020(1), 7279027 (2020).
Attaullah, S. A., Rehman, N., Khan, A., Naeem, M. & Park, C. Improved VIKOR methodology based on q-rung orthopair hesitant fuzzy rough aggregation information: Application in multi expert decision making. AIMS Math. 7(5), 9524–9548 (2022).
Acknowledgements
The authors are gratefully acknowledge the financial and technical support of Deanship of Scientific Research (DSR) at King Abdulaziz University, Jeddah, Saudi Arabia under grant no. (KEP-4-611-42).
Author information
Authors and Affiliations
Contributions
All authors contributed equally.
Corresponding author
Ethics declarations
Competing interests
The authors declare no competing interests.
Additional information
Publisher’s note
Springer Nature remains neutral with regard to jurisdictional claims in published maps and institutional affiliations.
Rights and permissions
Open Access This article is licensed under a Creative Commons Attribution-NonCommercial-NoDerivatives 4.0 International License, which permits any non-commercial use, sharing, distribution and reproduction in any medium or format, as long as you give appropriate credit to the original author(s) and the source, provide a link to the Creative Commons licence, and indicate if you modified the licensed material. You do not have permission under this licence to share adapted material derived from this article or parts of it. The images or other third party material in this article are included in the article’s Creative Commons licence, unless indicated otherwise in a credit line to the material. If material is not included in the article’s Creative Commons licence and your intended use is not permitted by statutory regulation or exceeds the permitted use, you will need to obtain permission directly from the copyright holder. To view a copy of this licence, visit http://creativecommons.org/licenses/by-nc-nd/4.0/.
About this article
Cite this article
Khan, A., Barukab, O., Jun, Y.B. et al. An extended CoCoSo method under (p–q) rung orthopair fuzzy environment for multi-criteria decision-making applications. Sci Rep 15, 24031 (2025). https://doi.org/10.1038/s41598-025-06020-x
Received:
Accepted:
Published:
Version of record:
DOI: https://doi.org/10.1038/s41598-025-06020-x





