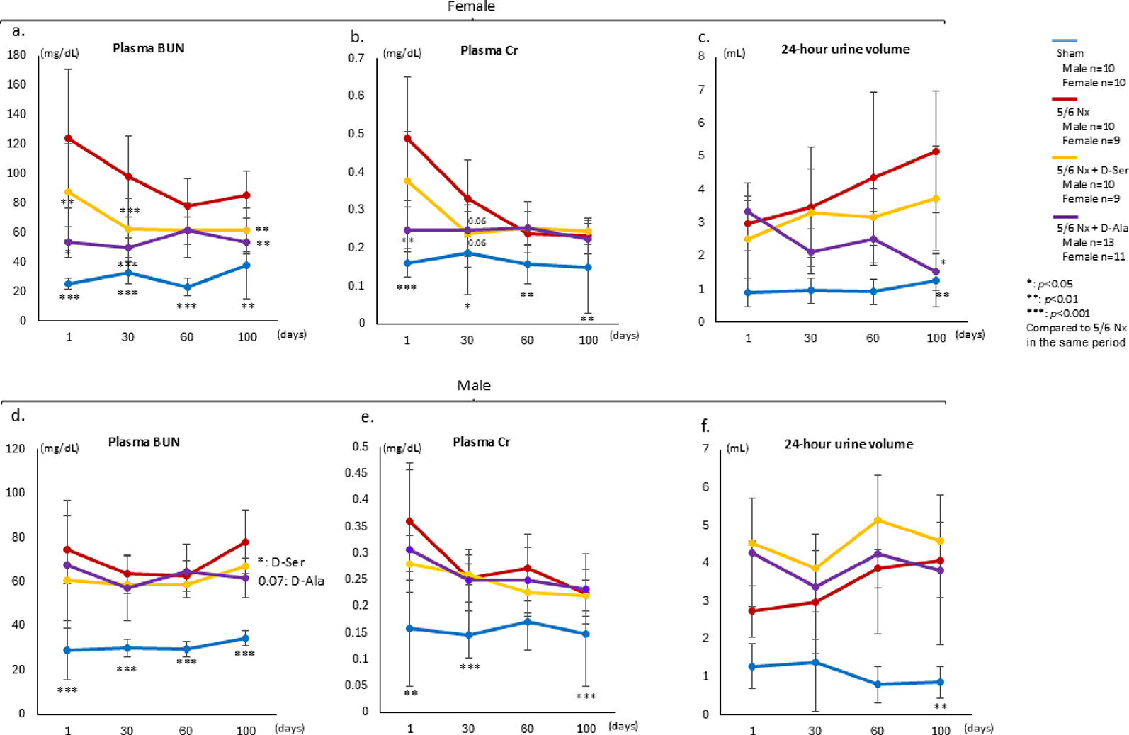
Fig. 2
From: D-serine and D-alanine supplementation protects against chronic kidney disease

Oral administration of 20 mM D-Ser or D-Ala improves renal function in female 5/6-Nx mice. Plasma BUN (a, d), plasma Cr (b, e), and 24-h urine volume (c, f) from the sham and 5/6-Nx mice of both sexes were measured. Oral administration of 20 mM D-Ser or D-Ala improved the plasma BUN and Cr levels in female 5/6-Nx mice (a, b). Oral administration of 20 mM D-Ala improved 24-h urine volume in female 5/6-Nx mice (c). *p < 0.05, **p < 0.01, ***p < 0.001, as analysed using a t-test. BUN blood urea nitrogen, Cr creatinine, D-Ala D-alanine, D-Ser D-serine, Nx nephrectomy.