Abstract
Different athletes have different requirements and coping methods for concentration. Research based on visual attention models can help identify individual differences and propose targeted improvement strategies to improve the concentration level of each athlete, thereby enhancing their performance in competition. Currently, visual attention models are difficult to help athletes extract important information. This article conducted a questionnaire survey on the concentration level of athletes and studied a visual attention model. Taking fencing as an example, this article studied the commonly used evaluation indicators for athletes’ concentration level. In addition to objective measurement indicators, it also conducted an attention questionnaire survey in a sports college to collect relevant data on fencers. It applied a visual attention model for data analysis to explore the characteristics and changes in the concentration level of fencers. This article took the average number of matches played by athletes within one year as the direction. It is found that the winning rate of male athletes in the control group was 79.6%, and that of female athletes was 89.1%. The winning rate of male athletes in the intervention group was 90.1%, and that of female athletes was 97.7%. After the effectiveness of this model was confirmed, the attention level of athletes was actually improved. The athlete attention level analysis method based on visual attention model, due to its high accuracy, can help people find different degrees of differences between people, thus providing a basis for formulating targeted training plans.
Similar content being viewed by others
Introduction
Visual attention is an important mechanism for psychological regulation of the brain. Human use of visual attention mechanisms can quickly obtain useful information from a large amount of image information, thereby achieving timely and efficient response to the external environment. The visual attention model is a computer model built on the basis of human visual cognitive patterns. The human eye is not constantly scanning the surrounding environment, but can focus on areas that it deems important. It can determine the location based on color, texture, motion, and other features, and focus its attention on which location. Similarly, visual attention models can also determine which regions are more important and focus the eyes on those regions by analyzing image characteristics.
This article analyzes the concentration level of athletes from the perspective of visual attention models. Taking fencing as an example, it introduces commonly used evaluation indicators for athlete concentration level, results of attention level grading such as reaction time, attention distribution, error rate, etc., as well as corresponding measurement methods and tools. Next, the paper discussed the strategies for improving the concentration level of athletes, mainly focusing on using virtual reality training systems to assist according to their training needs, and provided relevant algorithm formulas to support calculations. The conclusion of the article is based on the evaluation indicators of athlete focus for practice and verification. By comparing the intervention group with the actual number of matches they participated in, it can be calculated that after intervention with attention models and virtual reality technologies, the results of the surveyed athletes were in the two groups. In the case of comparable initial results, the male athletes in the intervention group showed significantly better results than the control group.
Literature review on athlete concentration level based on visual attention models
Concentration is an indicator that evaluates a person’s ability to maintain their attention and state while doing something. In today’s society, the level of focus is directly related to a person’s learning, work, and life. So, the analysis of concentration level and research on improvement strategies is a very meaningful topic.
With the increasingly tense and intense competition, there is a higher demand for athletes’ technical level and self-control ability. In situations where the technical level is close, the outcome often depends on the athlete’s self-regulation ability to external interference and the ability to concentrate on the action process. K Komarudin believed that using neural tracker training is superior to traditional training in improving the attention of archers. Based on this, it is recommended that archery trainers use neural tracker technology during the training process to improve the attention of archers1. Thomas Gus Almonroeder explored how distraction affects athlete lower limb strength during cutting and landing processes. Experiments have shown that when athletes are unable to pay attention to their movements alone, the risk of anterior cruciate ligament injury may be higher2. The purpose of Robert S’s research is to reveal the relationship between attention, working memory, and motor performance through sports expertise. He studied the mediating effect of working memory control and working memory ability on the relationship between attention and performance, and whether this effect varies depending on the professional knowledge of athletes3. Doug Hyun Han believed that attention deficit/hyperactivity disorder was a common brain developmental disorder in the general population, and may be more common among elite athletes in certain sports4. Chaney G. Stewman believed that attention deficit hyperactivity disorder is a common mental illness in the general population, and there is evidence to suggest that it may be more common among athletes5. Mary A Iaccarino believed that attention deficit hyperactivity disorder (ADHD) was associated with impulsive behavior and lack of concentration, which is a potential risk factor for motor related concussion6. The above research indicates that attention ability can be improved through appropriate training. However, comprehensive improvement should be carried out during the training process, which cannot only focus on a certain dimension and lacks effective methods such as combining visual attention models in research methods.
Due to the large amount of information that needs to be processed, in order to effectively achieve this goal and meet real-time requirements in certain applications, computer vision models need to use intelligent methods to determine the research order of the system in the scene map. An effective way to solve this problem is to use visual attention computing models to mimic the behavior and function of human visual perception systems. Li Na proposed a visual attention model that combines semantic object features to study and record eye movement data of ordinary people observing natural scenes by constructing an eye tracking database. After analysis, it was found that semantic object features have a very important impact on attracting people’s attention. Inspired by semantic segmentation, deep learning networks were used to extract semantic object features7. Xu Guoliang designed a basketball tactical recognition model based on player trajectory data in professional basketball league matches. The model uses a visual self attention model as the backbone network and utilizes a multi-head attention module to extract rich global trajectory feature information8. Liu Tianliang was inspired by the human brain visual perception mechanism model and proposed a behavior recognition method that combines temporal and spatial network flows with visual attention within the framework of deep learning. He used the Lucas-Kanade estimation method from coarse to fine to extract the optical flow features of human motion in the video frame by frame9. Wang Wenguan believed that people can quickly select important parts of their field of vision and selectively allocate visual processing resources to visually meaningful areas. In the field of computer vision, the understanding and imitation of this attention mechanism in the human visual system has received widespread attention from the academic community and has shown broad application prospects10. The above research indicates that some researchers have studied the attention features of athletes under visual attention models and achieved some results, but there is a lack of improvement in the level of athlete concentration.
Currently, research on the level of concentration is mostly conducted through methods such as behavioral observation, physiological measurement, and cognitive testing11. Behavioral observation evaluates the attention level of participants by recording their completion of a specific task; Physiological indicators mainly measure the patient’s EEG (electroencephalogram), eye movement, HRV (Heart Rate Variability) and other physiological indicators to reflect the patient’s level of concentration; Cognitive tests evaluate the level of concentration of participants by performing specific cognitive tasks such as continuous tasks, attention network tests, etc. Many scholars have proposed different methods for improving focus. On the one hand, focus can be improved through training and practice. On the other hand, changes in the environment and management strategies can also enhance employee focus.
A series of new technologies that have emerged in recent years have also provided new methods for improving the focus of athletes12. For example, virtual reality technology can simulate various situations, evaluate and train individual attention, and BCI (Brain-Computer Interface) technology can provide real-time feedback on athlete’s EEG signals to improve patient attention. This article provides a preliminary discussion on the analysis and improvement strategies of athlete concentration level. Multiple methods can be used to understand the concentration status of athletes, and targeted strategies can be proposed to improve athlete concentration.
Athlete’s concentration level
Focus selection is a key mechanism in human visual cognition, which involves the human eye selecting and retaining key information from a vast amount of external information, while ignoring unnecessary information, thus ensuring the efficiency and reliability of human visual cognition. Visual computing systems, like humans, face a common challenge. To efficiently process massive amounts of information and achieve real-time performance in some practical applications, it is necessary to simulate human visual perception to achieve this challenge.
Visual attention models
This article elaborates on the basic principles of visual attention models, including attention allocation, attention focus, attention control, and more.
Some studies suggest that visual attention is a brain wave unique to the human eye13. This article is understood as the ability of human eyes to quickly scan the entire picture and find the key points that people are concerned about. On this basis, these key areas can be given special attention, in order to obtain the details of key attention and eliminate other unnecessary information.
The visual attention mechanism is based on the long-term evolution of humans, utilizing limited attention resources to extract massive, significant, and promising methods. Figure 1 shows the commonly used encoder-decoder architecture for visual attention models:
As shown in Fig. 1, the encoder-decoder framework is a common network structure based on visual attention models, which is mainly applied to the generation and classification of sequence data. The main task of the encoding end is to encode the data, and then the decoding end encodes the data to obtain a high-dimensional feature representation. The advantage of the encoder-decoder structure is that it can extract the corresponding data from the input data, thereby generating the corresponding data. However, this architecture also faces issues such as long-term dependencies and information loss. Many scholars have proposed various improvement schemes to address the above issues, including attention mechanisms, improved decoding architectures, etc14.
The study of attention distribution in this article refers to the use of limited cognitive resources to process specific information. People’s attention is not evenly distributed, but rather focused on certain aspects according to the requirements of the task and personal interests, while others are ignored.
In attention models, attention focus is a specific part or information that the model is concerned about. The selection of attention focus is determined by the calculation of attention weights to determine the importance or contribution of investment. Attention focus has its own significance and function in various tasks and applications. In attention models, attention focus is based on task requirements and the importance of input data. It can help the model focus its attention on the most helpful parts or information for the current task or problem, thereby improving the performance and effectiveness of the model. The ability of a person to autonomously choose and regulate attention when completing a specific task. The control of attention is a key factor in determining the success of a fencing project. Training and techniques can improve athletes’ resistance to interference. On this basis, athletes can be trained through various training methods such as concentrated exercises, dispersed exercises, distraction exercises, and interference suppression exercises to achieve the goal of improving their attention control level.
Evaluation indicators of focus level
This article takes fencing as an example to study the commonly used evaluation indicators for athlete’s concentration level, the results of attention level grading such as reaction time, attention distribution, error rate, etc., as well as corresponding measurement methods and tools. The evaluation of athlete’s concentration level is an important means to understand the allocation, concentration, and control ability of athlete’s attention in fencing. The following are commonly used evaluation indicators, measurement methods, and tools.
Reaction time
Figure 2 shows the competition images of two fencers. The athletes were separately processed to observe their movements, and the general reaction time of the fencers was given in combination with the materials:
From Fig. 2, it can be seen that the reaction time takes from the moment the stimulus is generated to the time it takes to respond. By measuring the reaction time of athletes to various stimuli, their attention span and reaction speed are measured. The usual testing method is to use a reaction time measuring instrument or computer program, such as placing a stimulus signal on the screen and recording the time the athlete clicks a button.
Attention distribution
This article analyzes the instantaneous moment of fencing competition in Fig. 3, where the red dot represents the tip of the fencing sword, the red line represents the distance between the athlete’s head, waist, and feet, and the blue line explains the analysis:
From Fig. 3, it can be seen that attention allocation is the average level of concentration allocation for athletes participating in fencing competitions. During fencing competitions and training, an eye tracking device can be used to measure the athlete’s fixation point and fixation time, in order to understand the distribution of the athlete’s attention in various parts of the body.
It is generally believed that error rate refers to the number of mistakes or mistakes made by an athlete in fencing competitions. Accurate and stable evaluation of athletes can be achieved through statistics on the number of incorrect movements and mistakes made.
Attention questionnaire
In addition to objective indicators, we used a structured attention questionnaire to assess athletes’ concentration levels before and after the intervention. The questionnaire consisted of 11 items, each targeting a specific aspect of attentional functioning, such as sustained focus, distraction susceptibility, cognitive control, and response to competitive pressure. Each question offered five response options (A–E), representing ascending levels of attentional capability, scored from 1 to 5 respectively. Higher scores indicated better concentration. The questionnaire was distributed to fencing athletes in a university sports college; 110 were distributed and 100 valid responses were collected (response rate: 95.2%). This survey was administered at two time points: pre-intervention and post-intervention, allowing for analysis of changes in attention levels due to the visual attention model and VR-based training interventions.
This article randomly selects multiple fencers with comparable competition results from a sports college and distributes two questionnaires to analyze the attention status of fencers of different genders and conduct survey statistics. The questionnaire was sent and received immediately, with a total of 110 copies distributed and 107 collected, with a response rate of 97.3%. 100 valid questionnaires were collected with a valid questionnaire rate of 95.2%. 43 valid female questionnaires and 57 valid male questionnaires were collected. Questionnaire surveys on attention status of athletes of different genders 1 and 2 are shown in Tables 1, 2 and 3:
The numbers 1–11 in Table 1 correspond to the 11 questions in the attention questionnaire regarding the impact of athletes themselves or other factors on concentration. Each question can have approximately 5 options, and the selection method can be self-assessment. The person who chooses the first option can receive 1 point, the person who chooses the second option can receive 2 points, and so on.
This article uses typical questions as data analysis for the questionnaire, such as being able to control oneself to execute the training plan during training, eliminate interference, and ensure the smooth training progress. In this question, 18 questionnaires selected option A, 21 questionnaires selected option B, and 25 questionnaires selected option C. 25 questionnaires selected option D, and 11 questionnaires selected option E. It can be seen that only 11% of athletes chose option 5. Meanwhile, it can be observed that the proportion of choosing the fifth option in most of the questions surveyed in the questionnaire is generally low (8%, 16%, 14%, 14%, 11%, 10%, 13%, 12%, 14%, 12%, 16%). Therefore, the fencing athletes in this sports college have certain research ability as the research object of the analysis and improvement strategy of athlete concentration level based on the visual attention model. Table 2 shows the dataset of the attention questionnaire:
Similar to the scoring method in Table 1, the numbers 1–11 in Table 3 correspond to the 11 questions in the attention questionnaire regarding the impact of athletes themselves or other factors on concentration. Each question can have approximately 5 options and the selection method can be self-assessment. The person who chooses the first option can receive 1 point, the person who chooses the second option can receive 2 points, and so on.
From Table 3, it can be seen that using typical questions as the data analysis of the questionnaire, for example, I believe I can effectively deal with any unexpected situations during training and competitions. In this question, 15 questionnaires selected option A, 21 questionnaires selected option B, and 26 questionnaires selected option C. 26 questionnaires selected option D, and 22 questionnaires selected option E. It can be seen that only 12% of athletes chose option 5. Meanwhile, the proportion of choosing the fifth option in most of the questions surveyed in the questionnaire is generally low (29%, 31%, 53%, 42%, 27%, 29%, 13%, 12%, 22%, 13%, 18%). It can be seen that after the second questionnaire survey, the scores of athletes’ concentration level and other related issues have increased compared to the first survey. Table 4 shows the dataset of Part 2 of the attention questionnaire:
Factors influencing concentration level
The following article explores factors that affect concentration levels, including cognitive ability, emotional state, and external interference, and analyze the mechanisms by which these factors affect concentration.
After watching many sports competitions, this article concludes that an essential aspect in all sports is high mental concentration. For example, shooters must remain calm, hurdlers must start quickly, and fencers need to engage in intense combat. So, in a competition, it’s not just a technical and tactical competition, but also a focused competition. Some athletes have developed a psychological fear of losing before participating in the competition, leading to a lack of confidence in the competition, distraction, and excessive concentration of the cerebral cortex, resulting in inhibition. For example, stiff movements, slow reactions, slowed movements, and lack of concentration during a competition can all affect one’s ability to perform at their best.
This article believes that the appearance of impatience is often the beginning of failure. Impatience in competition can lead to blind actions that are eager to achieve results and can also distract one’s attention. This makes it difficult to clearly express tactical intentions in the competition, resulting in athletes’ movements becoming chaotic and rough, losing the ability to observe and judge in order to reduce the hit rate.
Data collection and analysis
The article collected experimental data related to the concentration level of fencers, and applied a visual attention model for data analysis to explore the characteristics and changes in the concentration level of fencers. Figure 4 analyzed the reaction time of fencers under different concentrations:
Figure 4 consists of two graphs, A and B. Figure 4 (A) shows athletes’ reaction time in a high concentration state, and Fig. 4B shows athletes’ reaction time in a low concentration state. The x-axis represents the athlete’s serial number, the y-axis represents time, and the legend shows the attack time and defense time. Figure 4 shows that fencers 1–10 have an attack time between 0.31s and 0.46s and a defense time between 0.32 and 0.51 s in a high concentration state. Athletes 1 and 10 have the slowest reaction time to attack; Athlete 6 has the fastest response time for attacks, and Athlete 7 has the slowest response time for defense; Athlete 4 has the fastest defense response time. In a low concentration state, their attack time is between 0.48 and 0.61 s and their defense time is between 0.54 and 0.64 s. It can be seen that the reaction time of athletes in attack and defense is better in high states than in low states. Then, the action errors of fencers in regular training under the visual attention model are analyzed. Taking straight lunge, straight leg lift, and hurdle step as examples, the error rate of athletes 1–10 is calculated, as shown in Table 5:
From Table 5, it can be seen that the action error rates of athletes 5 and 9 are the minimum and maximum. Therefore, in the analysis and improvement strategy of athlete concentration level based on visual attention model, the parameters of these two athletes can be referred to.
Improvement strategies for athlete’s concentration level
Training and intervention methods
This article studies training and intervention methods for focus, such as cognitive training, psychological regulation techniques, attention training, etc., to improve the level of athlete focus.
Cognitive training
Cognitive psychology is a discipline that studies the laws of human cognitive activities, focusing on explaining human behavior from the perspective of internal psychological processes. At present, it is widely believed that the human brain is essentially an information processing system, and information obtained from external sources needs to be reprocessed and combined in an individual’s cognitive structure in order to produce corresponding behavioral responses15. Due to different cognitive activities, people have different attitudes, concepts, and emotional experiences, resulting in diverse behaviors.
Many studies have shown that the tension and anxiety of athletes in high-level sports competitions are mainly caused by the influence of negative thoughts16. Studying the irrationality of athletes can effectively reduce their negative mentality and improve their bad behavior. Currently, cognitive regulation training is becoming an important means and method in athlete psychological training. The purpose of this cognitive regulation training is to enhance athletes’ ability to evaluate situations and handle problems, allowing them to rely on themselves to solve problems in complex competition situations.
Attention training
When athletes learn new skills, they must effectively control the factors that affect their attention to reduce their impact. By reducing the standard requirements for sports skills, reducing noise in the training ground, and interference from others, athletes can improve their focus and focus on learning new skills. On the contrary, when conducting attention training for high-level athletes, factors that affect their attention should be appropriately added according to the specific situation to enhance their ability to resist interference and achieve better results in the competition.
Technical tools and auxiliary equipment
This article explores the application and effects of using modern technological means, such as virtual reality technology, to assist athletes in improving their concentration level.
Under the influence of virtual reality (VR) systems, significant enhancements have been made in athlete simulation training. In our study, fencers in the intervention group used a VR-based training system that simulated real-time fencing environments using head-mounted displays. The system incorporated dynamic opponent movements, visual distractions, and randomized target attacks to challenge athletes’ concentration and response accuracy.
Each athlete completed three 20-minute VR training sessions per week over 4 weeks. Training tasks included visual cue response drills, movement decision tasks under time pressure, and sustained focus exercises. The system recorded data such as reaction time, movement accuracy, and error rate, which were analyzed over time.
Instructors received performance data after each session to provide tailored feedback and adjust the difficulty level accordingly. This allowed for individualized attention training and continuous monitoring of cognitive engagement.
Among them, T is the time parameter for simulation; \({L_{{\text{e}}v}}\) is the parameter for virtual simulation; n represents the number of simulation targets, and \(R{}_{a}\) represents the initial value of simulation.
Optimize Formula 1 using the differential equation shown in Formula 2:
In the formula, \({L_{ev0}}\) and \({c_0}\) represent the key parameters and proportional constants of the virtual simulation parameters, respectively.
The dynamic changes of system state variables can be analyzed, and relevant parameters in training simulation can be solved based on this to obtain key data in training simulation. On this basis, according to the relevant requirements for virtual training of athletes, the upper limit \({\lambda _{\hbox{max} }}\) of feature values can be selected, and its expression is as follows:
Among them, C and B are comparison matrices. Based on the existing experience of athlete simulation training, a comparison matrix can be simulated to quickly obtain the key data required for virtual reality technology, thereby obtaining more accurate data processing standards.
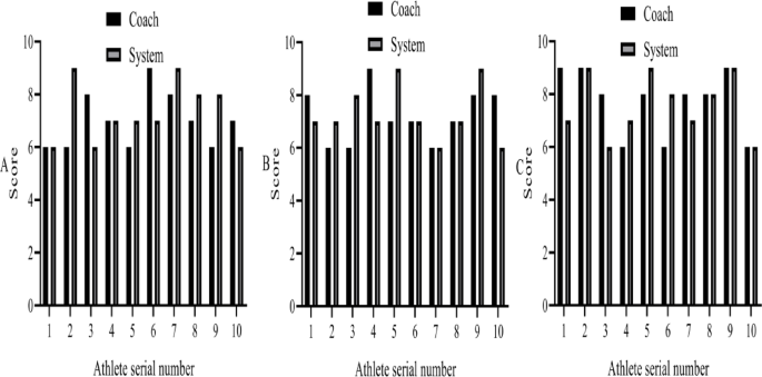
Among them, W is the true value of the vector, a is the compatibility check result, and b is the root analysis result. This article selects the movements of straight lunge, straight leg lift, and hurdle step, and uses coach viewing and virtual reality system viewing to conduct action scoring tests on athletes 1–10. The specific results are shown in Fig. 5:
Figure 5 consists of Figures A, B, and C. Figure 5A shows the test statistics for the two viewing methods of straight lunge, and Fig. 5B shows the test statistics for the two viewing methods of straight leg lifting. Figure 5C shows the test statistics of two viewing methods: crossing the column and step. The x-axis represents the athlete’s serial number, the y-axis represents the score, and the legends are for the coach and system. It can be seen that, excluding the cases where the two scoring methods are the same, the virtual reality system scores athletes relatively higher in the straight line lunge test. The straight leg lift and hurdle step are not discussed, as they exclude situations where the two methods have the same score, and the number of times the two have higher or lower scores is the same.
To strengthen the cultivation of attention in training, it is necessary to first establish a clear training goal to give it a clear direction. Through contemplation and concentration training, athletes can improve their concentration level, eliminate noise and other athlete interference, and develop an effective time management plan to allocate training and competition time reasonably. It can adjust emotions through deep breathing, positive thinking, and other methods.
Practice and verification of athlete focus analysis
To verify the effectiveness of the proposed strategies, we recruited 50 university-level fencers through public invitation. These participants were randomly assigned to an intervention group and a control group, each with 25 athletes. The intervention group consisted of 18 males and 7 females, while the control group had 19 males and 6 females. Although the groups are not perfectly balanced in gender, we ensured comparable baseline characteristics in terms of competition level and average number of matches played in the previous year. Additionally, to address any potential gender-based differences in concentration or performance, results are presented separately by gender where relevant. Table 6 summarizes the group composition and average competition activity are shown in Table 6:
In Table 6, presents the gender composition and competition activity of the intervention and control groups. Each group consisted of 25 university-level fencing athletes, with a slightly imbalanced gender distribution (Intervention: 18 males, 7 females; Control: 19 males, 6 females). While not completely homogeneous, both groups had comparable average match experience in the past year, ensuring reasonable baseline equivalence. Gender-specific results are reported separately where relevant to account for potential performance differences.
Monthly Match Distribution by Gender in Intervention and Control Groups. (A) monthly match counts for male and female athletes in the intervention group. Male athletes peaked in February and September; female athletes peaked in October. (B) participation by male and female athletes in the control group. Male athletes had the most matches in January; female athletes peaked in November.
Figure 6 consists of subfigures A and B, presenting the monthly distribution of matches played by male and female athletes in both the intervention and control groups. In the intervention group, male athletes participated in a total of 54 matches and female athletes in 46 matches from January to December. The highest number of matches for male athletes occurred in February and September, while female athletes saw peak participation in October and November. In the control group, male athletes played 51 matches and female athletes 44 matches over the same period. Male athletes had the most matches in January, while female athletes peaked in November. These trends suggest that fencing competitions are spread throughout the year but are more concentrated during specific months, particularly in the autumn and winter seasons. This pattern likely reflects seasonal preferences, with cooler temperatures being favorable for training and competition, and aligns with typical club and university training cycles.
Based on the analysis of athlete concentration level, data collection and analysis of fencing athletes were conducted. Here, reaction time and error rate were used as examples to analyze the evaluation indicators of the control group and intervention group, as shown in Fig. 7.
Analysis of evaluation indicators for the control group and intervention group. (A) Attack and defense reaction time of athletes in the control group. (B) Attack and defense reaction time of athletes in the intervention group. (C) Movement error rate of athletes in the control group. (D) Movement error rate of athletes in the intervention group.
Figure 7A shows the reaction time of athletes 1–10 in the control group for attack and defense, while Fig. 7B shows the reaction time of athletes 1–10 in the intervention group for attack and defense. Figure 7 C shows the 1–10 error rates of athletes in the control group, while Fig. 7D shows the 1–10 error rates of athletes in the intervention group.
From Figs. 7C and D, it can be seen that in the control group, athletes 1–10 had the highest error rate of 7% compared to athletes 3 and 8, while after intervention, athletes 4 and 5 had the highest error rate of 4%. Next, the win and actual number of matches between the control group and the intervention group can be analyzed, as shown in Fig. 8:
Figure 8 consists of Figures A and B. Figure 8A shows the performance wins of male and female athletes in the control group, while Fig. 8B shows the performance wins of male and female athletes in the intervention group. From the graph, it can be seen that in the control group, male athletes 1–10 won a total of 43 games, while female athletes 1–10 won a total of 41 games. Compared to the actual number of matches participated in, it can be calculated that the winning rate of male athletes is 79.6% and that of female athletes is 89.1%. In the intervention group, male athletes won a total of 46 games with a score of 1–10, while female athletes won a total of 39 games with a score of 1–10. Compared to the actual number of matches participated in, it can be calculated that the winning rate for male athletes is 90.2% and for female athletes is 88.6%.
It can be seen that after intervention with attention modeling and virtual reality technologies, the performance of the surveyed athletes was significantly better in the intervention group than in the control group, with comparable initial results. Therefore, it can also be proven that the analysis and improvement strategy of athlete concentration level based on visual attention model studied in this article is effective under certain circumstances.
Discussion and outlook
The concentration level of an athlete’s focus is an important factor determining their competition performance, and current research has shown that many strategies can improve an athlete’s focus17. Firstly, establishing a clear goal is crucial for improving attention concentration. Athletes must be clear about what they want to achieve and then develop specific plans to achieve that goal, which helps them focus and avoid distractions. Secondly, centralized training can effectively improve the attention of athletes, and research has shown that this method can enhance their concentration and enable them to perform at a better level. Eliminating distractions is also an important strategy for improving attention, as the noise on the sports field and interference from other players can affect their attention. Therefore, it is necessary to establish a good atmosphere and adopt effective methods of distraction to keep athletes focused during the learning process. Time management is also very helpful in improving attention, to ensure that athletes have sufficient rest and recovery time to maintain high concentration.
In the future, there may be more technological methods to study how to improve the attention of athletes, such as virtual reality and biological feedback technology, which can provide more targeted training methods for athletes to better master concentration skills18. Emotions and stress also have a significant impact on the attention of athletes. So it has certain guiding significance on how to handle one’s emotions and stress well, in order to improve the concentration of attention. After analyzing and improving the athlete’s concentration level based on the visual attention model in this article, it can be calculated that the winning rate of male athletes is 90.2% and that of female athletes is 88.6% compared to the actual participation in the competition in the intervention group.
The limitation of this article lies in the presence of certain error terms in the collection of athlete focus data. Setting goals, strengthening attention training, eliminating distractions, and arranging time reasonably are all effective ways to improve attention. In future research, more perspectives, methods, and exploration of the relationship between focus and emotional management, stress management, and other aspects can be explored to improve the attention state of athletes.
Conclusions
Attention is a reflection of people’s psychological activities or consciousness. There is currently limited research on how to study the attention process of respondents, the characteristics and patterns of visual attention in information processing, and how to measure the level of attention of respondents. There are few studies that can provide systematic answers to these questions. Therefore, this article conducted research on the analysis and improvement strategies of athlete’s concentration level based on the visual attention model. Taking fencing as an example, it introduced commonly used evaluation indicators for the level of athlete concentration, and collects relevant data on fencers. Visual attention models are used for data analysis to explore the characteristics and changing patterns of fencer concentration levels, providing reference for such research.
Data availability
The datasets used and analyzed during the current study are available from the corresponding author on reasonable request.
References
Komarudin, K., Sagitarius, S. & Sartono, H. Patriana Nurmansyah awaludin, Gilang Ginanjar hidayatullah. Neurotracker training to improve the archery athlete concentration. Jurnal Pendidikan Jasmani Dan. Olahraga. 5 (2), 155–161 (2020).
Almonroeder, T. G., Kernozek, T., Cobb, S., Slavens, B., Wang, J. & Huddleston, W. Divided attention during cutting influences lower extremity mechanics in female athletes. Sports Biomech. 18(3), 264–276 (2019).
Robert, S., Vaughan & Sylvain Laborde. Attention, working-memory control, working-memory capacity, and sport performance: the moderating role of athletic expertise. Eur. J. Sport Sci. 21 (2), 240–249 (2021).
Han, D. H., McDuff, D., Thompson, D., Hitchcock, M. E. & Reardon, C. L. Attention-deficit/hyperactivity disorder in elite athletes: a narrative review. Br. J. Sports Med. 53 (12), 741–745 (2019).
Chaney, G. S. Catherine Liebman, laura fink, brad sandella. Attention deficit hyperactivity disorder: unique considerations in athletes. Sports Health. 10 (1), 40–46 (2018).
Mary, A. I. Sport concussion and attention deficit hyperactivity disorder in student athletes: A cohort study. Neurology. Clin. Pract. 8 (5), 403–411 (2018).
Li & Na Zhao xinbo. A visual attention model that integrates the characteristics of semantic objects. J. Harbin Inst. Technol. 52 (5), 99–105 (2020).
Xu Guoliang, S., Gang, L. & Xupeng, L. Basketball tactical recognition based on visual self-attention model and trajectory filter. J. Electron. Inf. 45 (7), 1–9 (2023).
Liu Tianliang, Q., Qingwei, W., Junwei, D. & Xiubin, R. B. Human behavior recognition that integrates space-time dual network flow and visual attention. J. Electron. Inf. 40 (10), 2395–2401 (2018).
Wang Wenguan, S. & Jianbing, J. Y. Rev. Visual Atten. Detect. J. Softw. 30.2 : 416–439. (2019).
Liu Tianye. The measurement of athletes’ attention, influencing factors, and research on training methods. Sichuan Sports Sci. 38(4), 58–62 (2019).
Sneha Chaudhari,Varun Mithal,Gungor Polatkan,Rohan Ramanath. An attentive survey of attention models. ACM Trans. Intell. Syst. Technol. (TIST). 12 (5), 1–32 (2021).
Cheng Keyang, S., Shuang, W., Wenshan, S., Wenxi, L. & Peng, Z. Y. Foreground detection combining confidence-weighted fusion and visual attention mechanism. Chin. J. Graphics Graphics. 026, 2462–2472 (2021).
Liu Gang, J. & Guo Bidirectional LSTM with attention mechanism and convolutional layer for text classification. Neurocomputing 337 APR. 14, 325–338 (2019).
Makashova, S. Y. K. A. V. & Kharitonova, M. A. Reduction of recognition of the orienting value of the gaze as a violation of the mechanism of joint attention among preschoolers. Exp. Psychol. 13 (2), 57–71 (2020).
Cheon Sungmin, B. & Jun. The development and characteristics of super psychological skills in elite athletes. Korean J. Sport Psychol. 30(1), 129–148 (2018).
Mohsen Ahlam. The relationship of focus attention to the performance of high jump events in the Fosbury way. Int. J. Psychosoc. Rehabil. 24(9), 5326–4334 (2020).
Balaji, S., Gopannagari, M. & Sharma, S. P Rajgopal. Developing a machine learning algorithm to assess attention levels in ADHD students in a virtual learning setting using audio and video processing. Int. J. Recent. Technol. Eng. 10(1), 285–295 (2021).
Funding
No funding for this research.
Author information
Authors and Affiliations
Contributions
Conceptualization: J.C.; methodology: H.Z.; formal analysis: R.C. & D.L.; investigation: W.M. resources: W.P.; writing—original draft preparation: J.C.; writing—review & editing: Q.L.All authors have read and agreed to the published version of the manuscript.
Corresponding author
Ethics declarations
Competing interests
The authors declare no competing interests.
Ethical approval
This study was conducted in accordance with the ethical standards of the Declaration of Helsinki and was approved by the Institutional Review Board of Shenzhen University (Approval No. SZU-PE-2023-018).
Consent to participate
All participants provided written informed consent prior to data collection. For minor participants (under 18 years), written assent was obtained from the participants along with written consent from their parents guardians.
Additional information
Publisher’s note
Springer Nature remains neutral with regard to jurisdictional claims in published maps and institutional affiliations.
Rights and permissions
Open Access This article is licensed under a Creative Commons Attribution-NonCommercial-NoDerivatives 4.0 International License, which permits any non-commercial use, sharing, distribution and reproduction in any medium or format, as long as you give appropriate credit to the original author(s) and the source, provide a link to the Creative Commons licence, and indicate if you modified the licensed material. You do not have permission under this licence to share adapted material derived from this article or parts of it. The images or other third party material in this article are included in the article’s Creative Commons licence, unless indicated otherwise in a credit line to the material. If material is not included in the article’s Creative Commons licence and your intended use is not permitted by statutory regulation or exceeds the permitted use, you will need to obtain permission directly from the copyright holder. To view a copy of this licence, visit http://creativecommons.org/licenses/by-nc-nd/4.0/.
About this article
Cite this article
Cui, J., Zhou, H., Chen, R. et al. Improvement strategies of athlete’s concentration level based on visual attention model. Sci Rep 15, 20580 (2025). https://doi.org/10.1038/s41598-025-06556-y
Received:
Accepted:
Published:
Version of record:
DOI: https://doi.org/10.1038/s41598-025-06556-y










