Fig. 7
From: A stochastic evolutionary game of boosting urban low-carbon development in China

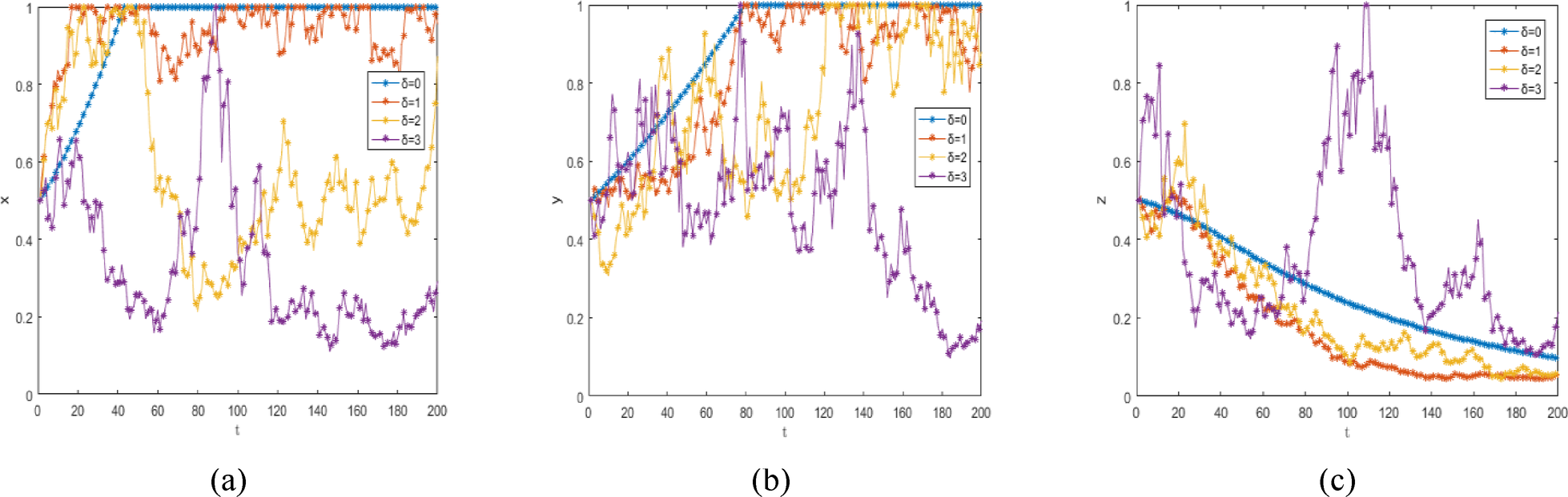
Effect of \(\updelta\) variations on evolutionary results.
From: A stochastic evolutionary game of boosting urban low-carbon development in China

Effect of \(\updelta\) variations on evolutionary results.