Abstract
China has made notable strides in developing low-carbon cities through policy formulation, pilot programs, and technological innovation. However, significant challenges remain. This study investigates the strategic choices and interaction mechanisms among enterprises, governments, and the public in the context of urban low-carbon development under environmental uncertainty. Using stochastic evolutionary game theory, we introduce Gaussian white noise into a tripartite evolutionary game model to more accurately simulate the influence of external environmental uncertainties on stakeholder decision-making. Numerical simulation yields several key findings: (1) Active public participation can partially substitute for government regulation; (2) Government subsidy mechanisms exhibit heterogeneity, with excessively high subsidies potentially discouraging public participation; (3) Enterprise behavior is highly sensitive to social losses, and minimizing these losses strongly incentivizes low-carbon initiatives; (4) Public participation is most responsive to enterprise compensation mechanisms; and (5) The effectiveness of government regulation is positively correlated with penalty intensity. To promote urban low-carbon development, it is essential to optimize subsidy structures to reduce heterogeneity, enhance enterprise compensation to increase public engagement, and establish reasonable penalty mechanisms to improve regulatory effectiveness. This study provides a theoretical foundation and policy recommendations to support urban low-carbon development. While the model parameters are primarily based on Chinese cases, future research should incorporate international case studies to enrich empirical data and offer broader insights into the global low-carbon transition.
Similar content being viewed by others
Introduction
As global awareness of the environmental impacts of rapid economic and social development continues to grow, addressing extreme climate events has become an urgent challenge for the international community. Phenomena such as global warming, frequent extreme weather events, and rising sea levels have profound implications for ecological systems and present significant challenges to economic and social progress. Against this backdrop, low-carbon development has emerged as a pivotal strategy for combating climate change, garnering broad consensus and commitment from nations worldwide. As the world’s largest developing country and leading carbon emitter, China plays a critical role in global climate governance. In 2020, China announced its ambitious “dual carbon” targets: achieving peak carbon emissions by 2030 and carbon neutrality by 2060. These goals underscore China’s resolve to tackle climate change while imposing new demands and challenges on various industries and regions within the country. Under the framework of the “dual carbon” goals, cities—being the central hubs of economic and social activity—represent one of the primary sources of carbon emissions. Statistical data indicate that urban carbon emissions in China account for over 70% of the national total and continue to rise. During periods of rapid urbanization and industrialization, carbon emissions from key sectors such as transportation, construction, and energy have surged, creating substantial challenges for achieving the “dual carbon” targets. This projection underscores the critical urgency of advancing urban low-carbon transformation. Such transformation requires not only technological and economic adjustments but also addresses complex challenges, including policy design, interest alignment, and behavioral shifts. Therefore, investigating the mechanisms and factors influencing urban willingness for low-carbon development is crucial for designing scientifically grounded policies and fostering urban green transformation.
Complex social, economic, and environmental challenges increasingly demand collaboration across multiple stakeholders or agents. No single actor can effectively tackle issues such as technological innovation, public health crises, or climate change in isolation. Multi-stakeholder partnerships harness diverse expertise, resources, and perspectives to address such complex problems. Indeed, recent global analyses highlight that the need for business leaders, policymakers, and civil society to work together has become ever more critical in confronting today’s grand challenges in a sustainable and equitable manner. This context underpins the importance of researching multi-actor interactive mechanisms: understanding how different actors jointly influence outcomes is both a practical necessity and a significant scholarly endeavor.
However, existing research has not yet fully addressed the theoretical and methodological gaps in multi-actor interaction studies. Many prior studies focus on simplified scenarios or isolated actors, without capturing the complexity of interactive dynamics among multiple agents. For example, Chen and Zhao (2022) note that relatively few studies examine how multi-agent interventions affect interactive processes, with most models considering only two interacting information sources, whereas real cases involve more complex, many-to-many interactions. Moreover, much of the literature relies on theoretical models with limited empirical or simulation validation. This gap is echoed in other domains: recent work on innovation under uncertainty observes that there is a research gap in explaining how multiple actors make interactive decisions, indicating a lack of frameworks to capture such joint decision-making processes. In short, prior research has been insufficient in modeling, methodologically analyzing, and theorizing about multi-actor interactive mechanisms in complex systems. This not only limits academic understanding but also hinders practical guidance for policymakers and organizations dealing with multi-stakeholder situations.
To address these gaps, the present study aims to develop an integrated theoretical framework and analytical approach for multi-actor interaction. The goal is to clarify the dynamic mechanisms by which multiple agents jointly affect outcomes, and to propose a model that overcomes the limitations of earlier two-agent or single-level analyses. The importance of this research question is underscored by its potential to improve both theory (by enriching interaction modeling) and practice (by informing more effective multi-stakeholder coordination). We strengthen the motivation for this study with recent literature support and by pinpointing how our approach diverges from existing works. Figure 1 illustrates the conceptual framework of our research problem and approach. It visualizes the core structure of the study—the key stakeholders involved, their interactions, and the collective influence on the focal outcome—thereby serving as a graphical abstract for the research design.
Conceptual framework.
Figure 1 Conceptual framework illustrating the structure of this study’s research problem, highlighting interactions between key stakeholders and their collective influence on the outcome. The framework guides our analysis by visualizing how different actors contribute to and interact within the system. It underscores the multi-agent interactive mechanism at the core of our research questions.
Building on this framework, we explicitly pose the research questions (RQs) that drive our inquiry. These questions are formulated to target the identified gaps and to emphasize the innovative aspects of our approach. Specifically, the study addresses the following key questions:
RQ1: What are the interactive mechanisms among multiple stakeholders in the target context, and how do these interactions jointly influence the overall outcome?
RQ2: How can a novel theoretical model or method be developed to capture these multi-actor interactions, and what new insights does this integrated approach provide compared to existing single-actor or two-actor models? By investigating RQ1, we seek to uncover the multi-actor dynamics—the way different participants influence each other and the emergent results. RQ2 reflects the study’s methodological innovation: we aim to propose a new modeling framework that incorporates the complex interactions identified in RQ1. These research questions are closely aligned with the study’s contributions, as they combine substantive inquiry into interaction mechanisms with the development of an improved theoretical and methodological approach. To highlight how this research differentiates itself from existing literature, Table 1 summarizes a selection of representative studies related to multi-agent or multi-stakeholder interactions. The table outlines each study’s authors and year, research hypothesis or focus, methodology, research context (subjects), and main conclusions. This structured comparison underscores the progression of knowledge in the field and the specific gap that our study aims to fill. As shown in Table 1, prior works have explored various aspects of multi-actor systems, but none has fully addressed the integrated modeling of multi-actor interactive mechanisms with comprehensive validation. In contrast, our study distinguishes itself by providing a unified framework that accounts for multiple interacting agents and by empirically examining the framework’s implications, thereby contributing a novel perspective to the literature. Table 1. Summary of representative literature on multi-actor interactive mechanisms and related studies, highlighting their hypotheses, methods, contexts, and conclusions (and showing the distinct contribution of the present research in contrast to existing work).
As Table 1 indicates, earlier contributions have laid important groundwork in understanding pieces of multi-actor systems—ranging from public opinion spread to governance and cooperative interventions. Yet, none has delivered a holistic theoretical model combined with empirical validation that encompasses the full complexity of multi-actor interactive mechanisms. This study’s differentiating contribution lies in bridging that gap: we develop a unified framework that synthesizes the strengths of prior approaches (epidemic modeling, game theory, agent-based simulation, etc.) and applies it to a contemporary multi-stakeholder problem with rigorous validation. In doing so, our research not only advances the theoretical modeling of multi-actor interactions but also provides a methodological template for analyzing complex systems with many interdependent participants. The findings are expected to offer novel insights into how coordinated multi-actor efforts can be designed and managed more effectively, thereby extending both the literature and practice in this domain.
In recent years, urban low-carbon development has emerged as a critical strategy for addressing global climate change, garnering significant attention from the academic community. Existing research predominantly focuses on several key areas, including: evaluating policy effectiveness, measuring carbon emissions and analyzing their impact mechanisms, fostering technological innovation and digital transformation, devising low-carbon urban planning and development strategies, promoting green finance, assessing carbon emission efficiency, advancing innovative technologies and smart low-carbon practices, exploring pathways to achieve carbon peaking and carbon neutrality, and investigating policy implementation and governance mechanisms. Among these research areas, policy effect evaluation serves as a critical tool for assessing the effectiveness of low-carbon policies.
-
(1)
Policy Effectiveness and Governance Mechanisms
Zhu and Rao using the Propensity Score Matching-Difference-in-Differences (PSM-DID) model, confirmed that the low-carbon city pilot policy significantly improved the level of carbon reduction1. However, Khanna et al. identified policy inadequacies as significant constraints on progress when evaluating low-carbon pilot city programs across eight Chinese cities2. Chen et al. through a fixed effects model, revealed a negative correlation between the intensity of low-carbon policies and carbon reduction, suggesting the presence of complex interactive relationships during policy implementation3. Furthermore, Zhang et al. demonstrated that financial technology significantly enhanced carbon emission efficiency, underscoring the pivotal role of technology in determining policy outcomes4.The study of policy implementation and governance mechanisms examines the effectiveness and optimization pathways of low-carbon policies in practical applications. Through an analysis of low-carbon pilot city policies, found that these policies effectively curbed the financialization of listed companies and promoted real economic development5. Wu et al. utilizing statistical data, observed a reduction in carbon emission intensity in the livestock industry in western China, though notable disparities were evident among cities6. Similarly, based on the national big data comprehensive pilot policy, demonstrated that technology-driven business model innovations could significantly reduce China’s carbon emissions7. Meanwhile, through interviews on six urban governance practices in India, concluded that while new urban governance approaches hold promise, their effectiveness is hindered by the absence of mandatory regulations8.The study of carbon emission measurement and impact mechanisms focuses on accurately assessing urban carbon emissions and identifying their driving factors.
-
(2)
Carbon Emission Measurement and Impact Mechanisms
Bi et al. developed a greenhouse gas emission inventory for Chinese cities, concluding that industrial energy consumption remains the primary source of emissions9.Using multimodal travel data, demonstrated significant emission reduction potential through the coordinated development of public transportation systems10. In contrast, Heinonen and Junnila found that urban density has an insignificant impact on carbon emissions, emphasizing the need to incorporate more complex factors into urban planning and development strategies11.Technological innovation and digital transformation are widely regarded as critical drivers for improving carbon emission efficiency and advancing low-carbon development12.
-
(3)
Technological Innovation and Digital Transformation
Cao et al. demonstrated that digital intelligence transformation significantly reduces the carbon emission intensity in the manufacturing sector13. Wang et al. revealed that digital technological innovation not only enhances carbon emission efficiency but also produces spatial spillover effects14. Chen and Xu found that the development of regional digital economies significantly boosts the green total factor productivity of enterprises15. Furthermore, Xu et al. confirmed that green finance and digital inclusive finance work synergistically to promote sustainable economic development16.
-
(4)
Urbanization Processes and Regional Development
The urbanization process has a complex impact on carbon emissions, as it can drive economic growth while simultaneously exacerbating carbon emissions. Khan and Su analyzed urbanization levels in emerging industrial countries and identified an optimal level of urbanization for reducing emissions17. Xu et al. using data from the Pearl River Delta, found that economic urbanization had the most significant impact on carbon emissions18. Yu et al. employing the STIRPAT model with data from the Yangtze River Delta urban agglomeration, revealed a negative correlation between city size and carbon emissions19. Similarly, Song et al. using provincial data from China, showed that urbanization does not necessitate completely eliminating energy consumption to align with low-carbon development goals20. Lin and Li analyzing city-level data from the Guangdong-Hong Kong-Macau Greater Bay Area with the STIRPAT model, also found a negative correlation between low-carbon development and the level of new urbanization21.The study of urban agglomeration synergy and regional development highlights the critical role of regional cooperation and integration in achieving low-carbon goals22. Jiang et al. using social network analysis with data from cities in the Pearl River Basin, demonstrated that regional cooperation effectively facilitates low-carbon development23. Feng et al. through panel data analysis of 279 Chinese cities, confirmed that regional integration significantly reduces carbon intensity24. Wei and Zheng found that the carbon emission intensity in the Guangdong-Hong Kong-Macau Greater Bay Area is strongly influenced by economic development and urbanization processes25. Similarly, Wei et al. identified multiple factors, including economic and industrialization considerations, as key drivers of carbon emissions in urban agglomerations, underscoring the need for a comprehensive and multidimensional approach to low-carbon development26.
-
(5)
Transportation Systems and Urban Planning
The planning and policies of urban transportation systems have a significant impact on carbon emissions27. Cui et al. using a life cycle assessment method, evaluated the carbon footprint of Xiamen’s public transportation system and found that the BRT system’s carbon emissions were substantially lower than those of the NBT system28. Banister in his analysis of urban transportation and climate change, argued that the current high-mobility model is unsustainable and advocated for the adoption of low-carbon transportation systems29. Menichetti and Vuren examined the needs and challenges of modeling sustainable transportation systems in Masdar City, Abu Dhabi, highlighting the importance of incorporating electric transportation options30. Similarly, Sobrino and Arce analyzing 2149 travel surveys from the Technical University of Madrid, revealed that private transportation modes accounted for over 55% of commuting-related carbon dioxide emissions31.
-
(6)
Green Finance and Economic Instruments
Green finance is widely recognized as a critical tool for advancing low-carbon transformation. Using urban data from Jiangsu Province, found that green bonds significantly reduced carbon emission intensity32. Employing a multi-stage difference-in-differences model, demonstrated that green finance reform significantly accelerated the transition to low-carbon energy33. Wang and Gao through a difference-in-differences model, revealed that green finance policies substantially improved the welfare performance of low-carbon economic regions34. Xu et al. confirmed that green finance, in conjunction with digital inclusive finance, synergistically promotes sustainable economic development35. Similarly, Zhang et al. analyzing provincial panel data with mediation effect and GMM models, concluded that green finance plays a pivotal role in the low-carbon transformation of the economy36. The assessment of carbon emission efficiency seeks to evaluate how effectively cities manage carbon emissions amidst economic growth37. Guo and Wang using the progressive difference method based on China’s smart city pilot policy, found that smart city construction significantly reduced per capita CO2 emissions38. Zhu et al. leveraging high-resolution satellite data and a stratified difference method, demonstrated that the carbon emissions trading system effectively mitigated economic inequality in developing countries39. Gao et al. using prefecture-level city data and the difference-in-differences method, found that China’s carbon market policy fosters the convergence of carbon shadow prices40. Additionally, Deng et al. constructed a bi-level multi-objective optimization model to validate carbon reduction strategies in Shenzhen’s food waste treatment system, enabling enterprises to cut emissions by over 50%41.
Industry is a major contributor to urban carbon emissions, making industrial transformation essential for achieving low-carbon goals42. Yang and Chen through a quantitative analysis of industrial carbon emissions in Chongqing, identified industrial output as the primary driving factor43. Zhang et al. using data from the Yangtze River Delta region, revealed varying degrees of decoupling between industrial carbon emissions and economic growth44. Shao et al. employing the logarithmic mean Divisia index decomposition method to analyze industrial carbon emissions in Tianjin, concluded that improving energy efficiency is key to reducing emissions45. Liu et al. through scenario analysis of Suzhou’s low-carbon city transformation, determined that economic structural adjustments are more effective than technological upgrades46. Lu et al. integrated the WFA and MFA methods to construct the ISSWFMA model, highlighting how industrial symbiosis enhances resource recycling and supports low-carbon city development47. Similarly, Kim et al. using input–output analysis of South Korea’s eco-industrial park projects, found that these initiatives promoted production, value addition, and significant job creation48. Moreover, most studies inadequately address the systematic interactions among governments, enterprises, and the public, lacking a comprehensive analytical framework. For instance, The impact of the digital economy on land-use transformation but failed to consider the collaborative effects of multiple agents49. Additionally, the exploration of the formation mechanisms behind low-carbon development willingness is insufficient, particularly regarding the influence of external environmental uncertainties. Liu et al. analyzed the direct effects of climate finance on carbon emission efficiency but lacked a systematic approach to the complex decision-making processes involved50.
While several studies have employed game theory to analyze low-carbon development, our research distinctively differs from similar works in the literature. For instance, Fu and Wang focused on blockchain technology’s application in low-carbon cities, using a deterministic model that does not account for environmental uncertainties. In contrast, our study incorporates stochastic elements through Gaussian white noise, enabling a more realistic simulation of decision-making under uncertainty. Similarly, He et al. applied a tripartite evolutionary game model to analyze the Chinese Certified Emission Reduction scheme, but their model was deterministic and focused specifically on carbon market mechanisms rather than broader urban low-carbon development. Our study extends beyond these approaches by: (1) incorporating stochastic elements to model environmental uncertainties, (2) focusing on the willingness for low-carbon development rather than specific technological solutions or market mechanisms, (3) analyzing the substitution effect between government regulation and public participation, and (4) examining the heterogeneity in subsidy mechanisms and their impact on stakeholder behavior. This unique approach provides novel insights into the complex dynamics of urban low-carbon development that were not captured in previous studies.
Building on the identified research gaps, this paper seeks to construct a stochastic evolutionary game model involving the government, enterprises, and the public under uncertain environmental conditions, employing stochastic evolutionary game theory. The study systematically analyzes the strategic choices and evolutionary mechanisms of these entities in the process of urban low-carbon development. Specifically, it incorporates external environmental uncertainties, representing their impacts on decision-making through stochastic variables such as Gaussian white noise. This approach aims to uncover the evolutionary paths and equilibrium states of various entities’ strategies in a dynamic environment. The research will utilize stability theory to determine the model’s equilibrium solutions and employ numerical simulations to explore the sensitivity of key parameters on evolutionary outcomes. These findings will inform the development of more scientific and systematic policy recommendations. The innovation of this paper lies in its application of stochastic evolutionary game theory to the study of urban low-carbon development, addressing methodological and mechanism analysis gaps in existing research. By adopting a multi-agent interaction perspective, the study unveils the synergistic roles and dynamic evolutionary processes of governments, enterprises, and the public in the low-carbon transition. The findings not only contribute to the theoretical enrichment of decision-making models for low-carbon development but also provide a scientific foundation for devising more effective urban low-carbon policies. This research supports China’s efforts to achieve its “dual carbon” goals and fosters the sustainable development of cities.
The main research content of this paper includes: constructing a tripartite stochastic evolutionary game model with Gaussian white noise, depicting the impact of the external environment on the decision-making of agents; analyzing the equilibrium solutions of the model based on stability theory, and exploring the evolutionary paths of strategy choices for each agent; using numerical simulations to analyze the impact of key parameters on evolutionary outcomes, and proposing targeted policy recommendations. The research aims to reveal the dynamic evolutionary mechanism of multi-agent decision-making in urban low-carbon development, analyze the impact mechanism of external environmental uncertainty, and propose systematic policy recommendations to promote urban low-carbon development. The research methods mainly involve stochastic evolutionary game theory, stability analysis, and numerical simulation combined with empirical research. The research conclusions indicate that the randomness of the external environment significantly affects the strategy choices of agents; the rational design of government subsidies and penalty mechanisms, the improvement of enterprise compensation mechanisms, and the enhancement of public participation are key factors in promoting urban low-carbon development; a multi-level policy support system needs to be constructed to drive urban low-carbon transformation. This study not only enriches the theoretical framework of low-carbon city research but also provides a scientific basis for formulating more effective low-carbon development policies, holding significant theoretical value and practical significance for promoting China’s achievement of the “dual carbon” goals.
The following is a description of the paper’s organizational structure. The second part presents a tripartite evolutionary game system model for low-carbon urban development in China, including the national government, enterprises, and the public. The third part also examines the evolutionary stable strategies established by these stakeholders. The fourth part showcases numerical simulations, demonstrating the effectiveness of evolutionary stable strategies under different scenarios. Additionally, this section explains the impact of parameters on these strategies. The fifth part proposes suggestions for the paper’s conclusions.
Model assumptions and construction
Methodological approach and rationale
This study adopts random evolutionary game theory as its methodological framework due to its unique ability to capture the dynamic, interactive, and uncertain nature of urban low-carbon development. Compared with other alternative methods, this approach offers the following advantages:
First, unlike deterministic game theory models that assume perfect information and rational decision-making, random evolutionary game theory incorporates random disturbances, reflecting the inherent uncertainty in real-world decision-making environments. In the context of urban low-carbon development, this uncertainty stems from market fluctuations, policy changes, technological innovations, and information asymmetries among stakeholders.
Second, the evolutionary aspect of the model allows us to analyse how strategies evolve over time through learning and adaptation processes, rather than assuming immediate equilibrium. This feature is particularly relevant for studying low-carbon transitions, as these transitions occur over extended periods and involve continuous adjustments to stakeholder strategies in response to changing conditions.
Third, the three-party structure of our model enables us to examine the complex interactions among firms, government, and the public, capturing the interdependencies and feedback loops inherent in urban governance systems. Alternative methods such as regression models or cost–benefit analysis cannot adequately capture these dynamic interactions.
Fourth, the introduction of Gaussian white noise in the model provides a mathematically rigorous method for representing random disturbances with consistent statistical properties. This approach allows for a systematic analysis of how different levels of environmental uncertainty affect system stability and evolutionary outcomes.
Finally, the replicator dynamics equations used in our model provide a mature mathematical framework for analysing the conditions under which certain strategies become dominant in a population. This enables us to determine the stability conditions for different equilibrium states and derive policy implications from these mathematical results.
We considered alternative methods such as agent-based modelling, system dynamics, or empirical statistical analysis, but ultimately did not select them. Agent-based modelling, while capable of incorporating heterogeneity among agents, requires more detailed behavioural assumptions that may lack empirical support. System dynamics can capture feedback loops but may not adequately represent strategic interactions among stakeholders. Empirical statistical analysis can provide relevant evidence but cannot explain the causal mechanisms driving stakeholder behaviour.
In summary, random evolutionary game theory provides the most appropriate methodological framework for addressing our research questions regarding how environmental uncertainty influences stakeholder decision-making in urban low-carbon development and how various policy interventions impact these dynamics.
Model assumptions
This paper focuses on the interactions between enterprises, government, and the public, studied through a tripartite stochastic evolutionary game model, As shown in Fig. 2. Innovatively, Gaussian white noise is introduced to investigate the equilibrium relationships in complex behavioral choices of enterprises under subsidy mechanisms and reward-punishment mechanisms. Several assumptions related to enterprises, government, and the public are proposed.
Framework of the tripartite evolutionary game model for low carbon city development.
Assumption 1
In the process of urban low-carbon development, enterprises have two strategies to choose from, namely active implementation and passive implementation, and it is assumed that the probability of choosing active implementation of urban low-carbon development management is \(x\in \left[\text{0,1}\right]\), then the probability of adopting passive implementation of low-carbon production management is \(1-x\); the public has two strategies in the decision-making process, namely active participation and passive participation, assuming the probability of the public choosing active participation in urban low-carbon development is \(y\in \left[\text{0,1}\right]\), then the probability of choosing passive participation in urban low-carbon development is \(1-y\); the government also has two strategies to choose from, namely active guidance and passive guidance, and it is assumed that the probability of the government choosing active guidance in urban low-carbon development is \(z\in \left[\text{0,1}\right]\), the probability of choosing passive guidance in urban low-carbon development is 1-z.
Assumption 2
To encourage enterprises to actively participate in the urban low-carbon development process, it is assumed that the government will provide a certain degree of subsidy \(S\) to enterprises that actively implement low-carbon development transformation, and impose a certain degree of penalty \(F\) on enterprises that are passive in implementing low-carbon development transformation. Assuming the basic profit of the enterprise is \(\omega\), the benefit of the enterprise choosing to actively guide low-carbon production is \(\pi\), and the cost of actively implementing low-carbon production management is denoted as \(c\); then the cost of passive implementation of low-carbon production management can be represented by \(\delta c\), \(\delta \in \left[\text{0,1}\right]\) characterizes the degree of low-carbon production management, the larger its value, the higher the cost of low-carbon production management. When an enterprise chooses to actively guide low-carbon production management, it reduces the public information asymmetry decision-making cost, thereby enhancing reputation benefits \(\sigma\). When an enterprise chooses to passively implement low-carbon production management, its benefit is \(\mu\), and it avoids various risks brought by low-carbon technology innovation and improvement, hence the avoided risk loss is \(d\). Enterprises that do not actively implement urban low-carbon development production management pay carbon emission compensation to the public as \(E\).
Assumption 3
Hypothesis 3: It is assumed that the government provides relevant incentives \(R\) to the public who actively participate in urban low-carbon development. When the public actively participates in the construction of urban low-carbon development, the environmental benefits from consumption that the public receives are \(\lambda\), and the additional benefits (such as health benefits) obtained from actively participating in low-carbon urban development life consumption are \({R}_{p}\). The cost for the public to actively participate in urban low-carbon development is set as \(S\), including the human, financial, and material costs involved, and when the public participates passively, the cost can be set as \({e}_{s}\), generally \(s>{e}_{s}\).
Assumption 4
Assume the basic economic development benefit for the government is \(f\). If the government chooses to actively guide, it incurs regulatory costs \(k\), whereas the cost of passive guidance can be denoted as \(\varphi k,\varphi \epsilon \left[\text{0,1}\right]\). The additional costs (organizational costs, operational costs, etc.) \(Cg\) incurred by the government in actively guiding the construction practice of low-carbon urban development. The social reputation benefits \(Rg\) brought to the government by actively guiding the construction practice of low-carbon urban development. The social reputation loss \(Lg\) incurred by the government if it does not actively guide the construction practice of low-carbon urban development.
Assumption 5
If the government actively guides, enterprises actively promote, and the public actively participates, the mechanism for urban low-carbon development enters a virtuous cycle, and the social benefits obtained by the government can be denoted as \(\rho\). Conversely, if all three choose passive guidance, enterprises passively recommend low-carbon production management, and the public passively participates in urban low-carbon development, there will be a total risk loss of \(\vartheta\) due to sustainable development, with the sharing ratios for enterprises, the public, and the government being \(\alpha ,\beta ,\gamma \epsilon \left[\text{0,1}\right]\) respectively.
Model construction
First we systematise the parameters as shown in Table 2.
According to the reality and research assumptions can be constructed automobile enterprises, consumers, the government Evolutionary Game Payment Matrix shown in Table 3.
Variable selection and theoretical foundation
The variables included in our model were carefully selected based on theoretical foundations from existing literature and their relevance to the research questions. These variables represent key factors that influence decision-making in urban low-carbon development. Enterprise-related variables such as basic profit (π), reputation benefit (R), implementation costs (c), and avoided risk loss (d) are well-established in the corporate environmental management literature. Previous studies have identified profit maximization as a primary driver of corporate decision-making (Porter & Van der Linde, 1995), while reputation benefits from environmental initiatives have been documented by Delmas & Burbano (2011). Implementation costs and risk avoidance are recognized as significant barriers to corporate environmental action (Zhang et al., 2020). Government-related variables including subsidies (S), penalties (F), regulatory costs (k), and reputation benefits (Rg) are supported by extensive literature on environmental policy. Subsidies and penalties are classic policy instruments studied by Jaffe et al. (2005), while regulatory costs reflect the administrative burden of policy implementation documented by Tietenberg (2013). Reputation benefits for governments have been linked to political legitimacy and electoral success by List & Sturm (2006). Public-related variables such as environmental benefits (es), additional benefits (λ), and participation costs (s) are grounded in research on public participation and consumer behavior. Environmental benefits have been studied as direct utility gains by Kollmuss & Agyeman (2002), while additional benefits reflect co-benefits such as health improvements documented by Bain et al. (2016). Participation costs represent barriers to action identified by Gifford (2011). Interaction variables including social benefits (W), risk loss (L), and risk sharing ratios (α, β, φ) capture the interdependencies among stakeholders. Social benefits from tripartite cooperation have been demonstrated in urban governance studies by Bulkeley & Betsill (2005), while risk loss from inaction is well-documented in climate change literature (IPCC, 2014). Risk sharing reflects the differential vulnerability and responsibility discussed by Shue (2014). The random disturbance parameter (δ) is supported by research on decision-making under uncertainty. Environmental policy literature by Pindyck (2007) emphasizes the importance of incorporating uncertainty in models of climate change mitigation, while game theory research by Young (1993) demonstrates how random disturbances can significantly alter evolutionary dynamics. Our selection of these variables is further justified by their ability to address our specific research questions about the substitution effect between public participation and government regulation, the impact of subsidy heterogeneity, and the effectiveness of different policy combinations under conditions of uncertainty.
Evolutionary game analysis
Stability analysis of the enterprises strateg
As can be seen from Table 1, the expected return \({E}_{A1}\) for enterprises adopting an active urban low-carbon development strategy is
The expected return \({E}_{A2}\) for enterprises adopting a passive strategy is
For enterprises adopting a mixed strategy, the expression for the average payoff \(\overline{{E}_{A}}\) is
Therefore, the replicator dynamic equation for enterprises adopting an active strategy is
By differentiating \(F\left(x\right)\) with respect to , we get:
Let
From \(\left(y,z\right)=0\), it follows that:
When \(y = \frac{{\left( {F + S - \alpha \vartheta } \right)z + E - c - d + \sigma + \pi - \mu + \alpha \vartheta + \delta c}}{\alpha \vartheta - \alpha \vartheta z},\frac{{d\left( {F\left( x \right)} \right)}}{dx} \equiv 0;\)
when \(y \ne \frac{{\left( {F + S - \alpha \vartheta } \right)z + E - c - d + \sigma + \pi - \mu + \alpha \vartheta + \delta c}}{\alpha \vartheta - \alpha \vartheta z},\)
let \(\text{F}\left(\text{x}\right)=0\), then \(\text{x}=0\) and \(\text{x}=1\) are two equilibrium points, hence a classification discussion is needed.
\(\frac{\text{d}\left(\text{G}\left(\text{y},\text{z}\right)\right)}{\text{dy}}={\alpha \vartheta z}-{\alpha \vartheta }<0\), therefore \(\text{G}\left(\text{y},\text{z}\right)\) is a decreasing function of \(\text{y}\),
when \(y>\frac{\left(F+S-\alpha \vartheta \right)z+E-c-d+\sigma +\pi -\mu +\alpha \vartheta +\delta c}{\alpha \vartheta -\alpha \vartheta z},G\left(y,z\right)<0,\)
thus \({\left.\frac{d\left(F\left(x\right)\right)}{dx}\right|}_{x=0}<0, {\left.\frac{d\left(F\left(x\right)\right)}{dx}\right|}_{x=1}>0,\)
at this point, the firm’s choice of passive implementation is a stable strategy;
when \(y<\frac{\left(F+S-\alpha \vartheta \right)z+E-c-d+\sigma +\pi -\mu +\alpha \vartheta +\delta c}{\alpha \vartheta -\alpha \vartheta z},G\left(y,z\right)>0,\)
Stability analysis of the public strateg
Similarly, the expected benefit \({E}_{B1}\) for the public choosing active participation is
The expected benefit \({E}_{B2}\) for the public choosing passive participation is
The average benefit for the public choosing a mixed strategy is \(\overline{{E}_{B}}\), its expression is
Thus, the replicator dynamic equation for the public choosing active participation can be calculated as
\(F\left(y\right)y\) The derivation of the equation about can be obtained:
such that
From \(H\left(x,z\right)=0\), it follows that:
When \(\text{z}=\frac{-{\beta \vartheta x}+{\beta \vartheta }+{\text{R}}_{\text{p}}+{\text{e}}_{\text{s}}+\uplambda -\text{s}}{{\beta \vartheta }-\text{R}-{\beta \vartheta x}},\frac{\text{d}\left(\text{F}\left(\text{y}\right)\right)}{\text{dy}}\equiv 0;\)
when \(\text{z}\ne \frac{-{\beta \vartheta x}+{\beta \vartheta }+{\text{R}}_{\text{p}}+{\text{e}}_{\text{s}}+\uplambda -\text{s}}{{\beta \vartheta }-\text{R}-{\beta \vartheta x}},\)
let \(\text{F}\left(\text{y}\right)=0\), then \(\text{y}=0\) and \(\text{y}=1\) are two equilibrium points, hence a classification discussion is needed.
At that time, let, then and are two equilibrium points, so need to classify the discussion.
\(\frac{\text{dG}\left(\text{x},\text{z}\right)}{\text{dz}}={\beta \vartheta x}-{\beta \vartheta }+\text{R}>0\), therefore \(\text{H}\left(\text{x},\text{z}\right)\) is an increasing function of \(\text{z}\),
when \(\text{z}>\) \(\frac{-{\beta \vartheta x}+{\beta \vartheta }+{\text{R}}_{\text{p}}+{\text{e}}_{\text{s}}+\uplambda -\text{s}}{{\beta \vartheta }-\text{R}-{\beta \vartheta x}}\), \(\text{H}\left(\text{x},\text{z}\right)>0\), thus \({\left.\frac{\text{d}\left(\text{F}\left(\text{y}\right)\right)}{\text{dy}}\right|}_{\text{y}=0}>0,{\left.\frac{\text{d}\left(\text{F}\left(\text{y}\right)\right)}{\text{dy}}\right|}_{\text{y}=1}<0\),
at this time the public chooses an active participation strategy;
when \(\text{z}<\frac{-{\beta \vartheta x}+{\beta \vartheta }+{\text{R}}_{\text{p}}+{\text{e}}_{\text{s}}+\uplambda -\text{s}}{{\beta \vartheta }-\text{R}-{\beta \vartheta x}},\text{H}\left(\text{x},\text{z}\right)<0\),
thus \({\left.\frac{\text{d}\left(\text{F}\left(\text{y}\right)\right)}{\text{dy}}\right|}_{\text{y}=0}<0,{\left.\frac{\text{d}\left(\text{F}\left(\text{y}\right)\right)}{\text{dy}}\right|}_{\text{y}=1}>0\), currently the public chooses a passive participation strategy.
Stability analysis of the Government strategy
The expected return \({E}_{C1}\) for the government choosing an active guidance strategy is
The expected return \({E}_{C2}\) for the government choosing a passive guidance strategy is
The average gain of the government adopting mixed strategy is
From this, it can be known that the government’s replicator dynamic equation is
Differentiating \(F\left(z\right)\) with respect to \(z\) yields:
Let
\(J\left(x,y\right)=0\) From, it can be obtained:
When \(x=\frac{\left(R+\gamma \vartheta \right)y-F-{L}_{g}-{R}_{g}+k+Cg-\varphi k-\gamma \vartheta }{\left(\gamma \vartheta +\rho \right)y-\left(\gamma \vartheta +F+S\right)},\frac{d\left(F\left(z\right)\right)}{dz}\equiv 0;\)
when \(x\ne \frac{\left(R+\gamma \vartheta \right)y-F-{L}_{g}-{R}_{g}+k+Cg-\varphi k-\gamma \vartheta }{\left(\gamma \vartheta +\rho \right)y-\left(\gamma \vartheta +F+S\right)},\)
Let \(\left(z\right)=0\) , then \(z=1\) are two equilibrium points, hence a classification.
discussion is required.
\(\frac{dG\left(x,y\right)}{dx}=\left(\gamma \vartheta +\rho \right)y-\left(\gamma \vartheta +F+S\right)<0J\left(x,y\right)x>\), therefore is a decreasing function of, when \(\frac{\left(R+\gamma \vartheta \right)y-F-{L}_{g}-{R}_{g}+k+Cg-\varphi k-\gamma \vartheta }{\left(\gamma \vartheta +\rho \right)y-\left(\gamma \vartheta +F+S\right)},GJ\left(x,y\right)<0,\)
thus we have \({\left.\frac{d\left(F\left(z\right)\right)}{dz}\right|}_{z=0}<0,{\left.\frac{d\left(F\left(z\right)\right)}{dz}\right|}_{z=1}>0,\)
In this case, the government chooses a passive guidance strategy;
when \(x<\frac{\left(R+\gamma \vartheta \right)y-F-{L}_{g}-{R}_{g}+k+Cg-\varphi k-\gamma \vartheta }{\left(\gamma \vartheta +\rho \right)y-\left(\gamma \vartheta +F+S\right)},J\left(x,y\right)>0,\)
thus we have \({\left.\frac{d\left(F\left(z\right)\right)}{dz}\right|}_{z=0}>0,{\left.\frac{d\left(F\left(z\right)\right)}{dz}\right|}_{z=1}<0\), in this case, the government chooses an active guidance strategy.\(G\left(y,z\right),H\left(x,z\right),\hspace{0.33em}J\left(x,y\right)\) are functions defined in Eqs. (6), (12) and (18) respectively.A detailed analysis of each equilibrium point is appended to Table4 to reinforce the logic of this section.
System stability solution
From the formula (4), (10), (16) constitute the replication of the dynamic system of equations shown in Eq. (19).
In fact, the uncertainty and high complexity of external environments, such as market conditions and legal changes, can strongly perturb the behaviours of enterprise, the public, and the government, leading to random mutations in the game process. These mutations exhibit strong uncertainty in their periodicity. Therefore, to more accurately describe the behaviour evolution of enterprise, the public, and the government in the game process, Gaussian white noise is introduced to explain the decision-making of agents under the influence of external environmental factors. The equation after introducing white noise is as shown in Eq. (20)
Where \(\omega \left(t\right)\) It is a one-dimensional standard Brownian motion, which is a random fluctuation phenomenon, and can well reflect the decision-making behaviours of enterprise, the public, and the government under the influence of random disturbance factors; \(d\omega \left(t\right)\) Represents Gaussian white noise. When \(t>0\), with step size \(h>0\), its increment \(\Delta \omega \left(t\right)=\omega \left(t+h\right)-\omega \left(t\right)\) follows a normal distribution; \(N\left(0,\sqrt{h}\right),\theta\) represents the intensity of random disturbances. \(dx\left(t\right),dy\left(t\right)\text{,}dz\left(t\right)\) is a one-dimensional Itô Stochastic differential equation, which respectively represents the replicator dynamic equations for the evolution of enterprise, the public, and the government.
For one-dimensional \(It\widehat{o}\) stochastic differential equations, at the initial time, i.e., \(=0,x\left(t\right)=0,y\left(t\right)=0,z\left(t\right)=0\), Eq. (21) has a solution, indicating that the system is in a constant stable state without initial disturbance. Therefore, the zero solution is the equilibrium solution of Eq. (21). In reality, game systems are necessarily affected by internal and external environmental disturbances that impact system stability. Hence, considering the influence of stochastic factors on the stability of game systems is essential. Next, we will analyze the stability of a stochastic evolutionary game model based on the theorem for one-dimensional Itô Stochastic differential equations.
According to the stability criterion theorem for differential equations, if a stochastic differential equation is given,
Assume there exist functions \(V\left(t,x\right)\) and \({c}_{1}\text{,}{c}_{2}\), two positive constants, such that \({c}_{1}{\left|x\right|}^{p}\le V\left(t,x\right)\le {c}_{2}{\left|x\right|}^{p},t\ge 0\).
-
(1)
If there exists \(\upxi >0\) such that \(\text{LV}\left(\text{t},\text{x}\right)\le -{\xi V}\left(\text{t},\text{x}\right),\text{t}\ge 0\), then the zero solution of Eq. (21) is moment exponentially stable, and the following holds, \(\text{E}{\left|\text{x}\left(\text{t},{\text{x}}_{0}\right)\right|}^{\text{p}}<\frac{{\text{c}}_{2}}{{\text{c}}_{1}}{\left|{\text{x}}_{0}\right|}^{\text{p}}{\text{e}}^{-{\xi t}},\text{t}\ge 0.\)
-
(2)
If there exists \(\upxi >0\) such that \(\text{LV}\left(\text{t},\text{x}\right)\ge -{\xi V}\left(\text{t},\text{x}\right),\text{t}\ge 0\), then the zero solution of Eq. (21) is moment exponentially unstable, and the following holds.\(\text{E}{\left|\text{x}\left(\text{t},{\text{x}}_{0}\right)\right|}^{\text{p}}\ge \frac{{\text{c}}_{2}}{{\text{c}}_{1}}{\left|{\text{x}}_{0}\right|}^{\text{p}}{\text{e}}^{-{\xi t}},\text{t}\ge 0\)
Based on the theorem above of determination, let.
\(V\left(t,x\right)=x\left(t\right),V\left(t,y\right)=y\left(t\right),V\left(t,z\right)=z\left(t\right),x,y,z\in \left[\text{0,1}\right],{c}_{1}={c}_{2}=1,p=1,\xi =1,LV\left(t,x\right)=f\left(t,x\right),LV\left(t,y\right)=f\left(t,y\right),LV\left(t,z\right)=f\left(t,z\right)\), then the condition for the zero solution of Eq. (19) to be moment exponentially stable is as shown in Eq. (22).
By making the corresponding reduction to the above equation, the conditions satisfying Eq. (22) can be obtained.
\({X}_{1}\): When \(x\in \left(\text{0,1}\right),y\ge \frac{\left(F+S-\alpha \vartheta \right)z+E-c-d+\sigma +\pi -\mu +\alpha \vartheta +\delta c+1}{\alpha \vartheta -\alpha \vartheta z},\left(F+S-\alpha \vartheta \right)z+E-c-d+\sigma +\pi -\mu +\alpha \vartheta +\delta c+1>0.\)
\({Y}_{1}\):When \(y\in \left(\text{0,1}\right),z\ge \frac{-\beta \vartheta x+\beta \vartheta +{R}_{p}+{e}_{s}+\lambda -s+1}{\beta \vartheta -R-\beta \vartheta x}, -\beta \vartheta x+\beta \vartheta +{R}_{p}+{e}_{s}+\lambda -s+1>0.\)
\({Z}_{1}\):When \(z\in \left(\text{0,1}\right),x\le \frac{\left(R+\gamma \vartheta \right)y-F-{L}_{g}-{R}_{g}+k+Cg-\varphi k-\gamma \vartheta -1}{\left(\gamma \vartheta +\rho \right)y-\left(\gamma \vartheta +F+S\right)},\left(R+\gamma \vartheta \right)y-F-{L}_{g}-{R}_{g}+k+Cg-\varphi k-\gamma \vartheta -1>0.\)
If the conditions \({X}_{1}\cap {Y}_{1}\cap {Z}_{1}\) are simultaneously satisfied, then the zero solution of the stochastic evolutionary system of enterprise, the public, and the government is moment exponentially stable. Further analysis will be conducted based on this stable state.
Due to the nonlinearity of Itô Stochastic differential equations and their analytical solutions cannot be directly obtained; therefore, numerical solutions can be sought using stochastic Taylor expansion and Itô Formula, given the stochastic Taylor expansion.
Considering Eq. (9) \(x\left(t\right)=f\left(t,x\left(t\right)\right)dt+g\left(t,x\left(t\right)\right)d\omega \left(t\right),x\left({t}_{0}\right)={x}_{0},t\epsilon \left[{t}_{0},T\right]\) , a stochastic numerical approximation is performed based on the Euler method within the given interval \(\left[{t}_{0},T\right]\) , divided into \(N\) subintervals in discrete form \({t}_{0}<{t}_{1}<{t}_{2}<\cdots <{t}_{N-1}<{t}_{N}\), with a step size \(h=\frac{T-{t}_{0}}{N}\), and then Eq. (24)-(26). The numerical solution will be obtained below by numerical simulation based on the random Taylor expansion.
Numerical analysis of evolutionary strategy
The prerequisite for numerical simulation is the assignment of relevant parameters, which currently includes three main methods. The first method assigns values based on the stability results of stochastic dynamic equations. The second method assigns values based on statistical yearbooks or real-world cases from statistical bureaus. The third method assigns values based on a combination of some stability results and some real-world cases. In evolutionary game models, the first method is predominantly used. This is because very few real-world cases encompass all the necessary data for the model, or even if they do, the data is often scattered. Additionally, even when using the same case, differences in data dimensions can lead to significant variations in assigned values. Whether values are assigned based on stability results or real-world cases, the only difference lies in the initial evolutionary path. The impact of parameter changes on the evolutionary outcome, i.e., the sensitivity analysis results, remains the same. The focus of evolutionary games is not on the stability of the final equilibrium but on the sensitivity of parameters and the improvement path of strategies for game participants. The initial decision probabilities for the government, enterprises, and the public are set at 0.5, with a random disturbance coefficient of 2. Other parameter settings are referenced from real-world cases or literature, as shown in Table 2.
The parameters used in this study were calibrated based on multiple sources to ensure reliability and validity. The enterprise-related parameters (π, R, c, d, σ, μ) were derived from financial reports of companies participating in low-carbon city pilot programs in China, specifically from the manufacturing and energy sectors operating in Beijing, Shanghai, and Shenzhen from 2018 to 2023. These reports were accessed through the CSMAR database and the Shanghai and Shenzhen Stock Exchanges. Government-related parameters (F, S, k, Cg, Rg, Cl) were calibrated using data from government work reports, policy documents, and fiscal expenditure records of low-carbon city pilot programs. These sources include the annual reports from the National Development and Reform Commission, Ministry of Ecology and Environment, and local government departments responsible for environmental protection and urban development.
Public-related parameters (es, λ, s) were estimated based on surveys conducted in six major Chinese cities (Beijing, Shanghai, Guangzhou, Shenzhen, Tianjin, and Chongqing) between 2020 and 2023, encompassing respondents. The surveys assessed public willingness to participate in low-carbon activities, perceived benefits, and associated costs. Interaction parameters (W, L, α, β, φ) were calibrated through a combination of historical data on carbon emissions reduction achievements, social cost analyses from environmental impact assessments, and expert evaluations from academic and policy research institutions.
The random disturbance parameter (δ) was calibrated based on historical fluctuations in carbon market prices, policy implementation consistency, and public participation rates in environmental initiatives over the past five years.
The following sections will conduct numerical simulations on the system’s initial evolutionary path, initial value changes, and the sensitivity of key parameters.
The initial evolutionary path of Table5 simulated through Matlab numerical simulation is shown in Fig. 3. This figure illustrates the evolving trends in the strategic choices made by governments, businesses, and the public regarding urban low-carbon development over time:
Initial evolutionary path of the system.
Enterprise (red line): The overall trend shows significant upward fluctuations, indicating that businesses have gradually become more inclined to actively implement low-carbon development measures over the long term. In particular, during the time interval between 80 and 200, the probability of businesses implementing low-carbon strategies showed a noticeable upward trend, even reaching nearly 100% at one point. This suggests that as the evolutionary game progresses, businesses’ proactive low-carbon behaviour becomes increasingly stable.
The Public (yellow line): The overall trend is similar to that of businesses, but with more pronounced fluctuations. In the early stages of evolution, the probability of public participation in low-carbon development was relatively low, fluctuating between approximately 0.3 and 0.5; it then significantly increased during the middle phase, even surpassing businesses, indicating that the public gradually recognised the benefits of low-carbon development and the positive effects of businesses’ low-carbon measures; however, it subsequently declined to a certain extent, suggesting that public participation intentions are susceptible to external random disturbances.
Government (blue line): The overall trend shows a gradual decline. In the initial stage, the government’s willingness to actively regulate was relatively high (around 0.4), but over time, the probability of the government adopting proactive regulatory measures continued to decrease and stabilised at a low level (between 0.1 and 0.2). This suggests that the government gradually reduced its investment in proactive regulation over the long term, possibly because the behaviour of businesses and the public itself became more low-carbon, thereby reducing the need for regulation.
From the above trends, this figure reflects the significant interactive effects among the three stakeholders in the long-term evolutionary process: the probability of businesses and the public actively implementing low-carbon measures generally increases, but the government’s proactive regulatory behaviour gradually decreases. Under certain conditions, the proactive behaviour of businesses and the public partially replaces the role of government regulation.
Impact of initial probability on evolutionary outcomes
Considering that the decision-making of one entity among enterprises, the public, and the government can lead to changes in the behavior of the remaining entities, this section assumes that the initial strategy choice values of the other entities are both 0.5 when varying the initial value of one entity. For example, if the initial value of the government’s active supervision is assumed to be 0.2, 0.5, 0.8 the probabilities of strategy choice for enterprises and the public are both 0.5. Numerical simulations are conducted to analyze the impact of initial value changes on evolutionary outcomes, as shown in Figs. 4, 5, and 6. It can be observed from Figs. 4, 5, and 6 that an increase in the initial values of enterprises, the public, and the government has a positive incentive effect on their convergence towards 1. Figure 4 shows that an increase in the public’s initial willingness to actively participate leads to a certain degree of acceleration in enterprises’ choice to actively promote low-carbon development, while the rate of the government’s active guidance slows down.
Effect of X change on evolutionary results.
Effect of Y change on evolutionary results.
Effect of Z change on evolutionary results.
Figure (a) illustrates the significant influence of enterprises’ initial willingness toward low-carbon implementation on their long-term behavioral evolution. Under the scenario of low initial probability (x = 0.2), the enterprises maintain a consistently low probability of proactively adopting low-carbon measures, indicating that insufficient initial enthusiasm makes it difficult for sustained low-carbon behaviors to naturally develop. By contrast, a moderate initial probability (x = 0.5) leads enterprises toward increasingly active engagement over time, and a high initial probability (x = 0.8) ensures that enterprises maintain a high willingness to implement low-carbon strategies throughout the evolutionary period. Therefore, enterprises’ initial behavioral propensity is crucial for achieving long-term stability in low-carbon actions.
Figure (b) reveals a positive interactive relationship between the government’s regulatory behavior and the enterprises’ initial enthusiasm. When enterprises show low initial positivity (x = 0.2), the government’s regulatory willingness gradually declines. As the initial willingness of enterprises increases to a moderate level (x = 0.5), the government’s regulatory enthusiasm significantly improves. In cases of high initial enterprise willingness (x = 0.8), the government’s regulatory activity remains persistently at very high levels, demonstrating that highly proactive enterprises effectively encourage stronger governmental regulatory actions, thus creating a mutually reinforcing dynamic.
Figure (c) demonstrates a negative correlation between public participation in supervision and enterprises’ initial enthusiasm. When enterprises have a lower initial willingness (x = 0.2), the public tends to engage more actively in supervision to compensate for insufficient regulation. However, as enterprises’ initial enthusiasm increases (x = 0.5,0.8), public participation in monitoring decreases gradually, reflecting a “free-rider” effect. This indicates that when enterprises are highly proactive, the public’s initiative to participate in supervision is suppressed, emphasizing the need to carefully balance policy designs that foster enterprise action with those that encourage public supervision.
As can be seen from Fig. 5, with the acceleration of the initial willingness to actively guide by the government, the cost of incentive subsidies paid by the government increases, hence the rate at which enterprises converge to active implementation and the public converges to active participation significantly accelerates. In fact, in most cases, changes in initial values only affect the convergence rate of the system, having a minimal impact on the system’s equilibrium state. Therefore, the following sections will focus on the numerical simulation of key parameters.
The figure (a) clearly indicates that the government’s initial regulatory willingness positively affects enterprises’ long-term low-carbon behavior. Under low initial regulatory intensity (y = 0.2), enterprises initially exhibit some increase in low-carbon actions, yet these actions remain unstable and fluctuate significantly over time. In contrast, when the government’s initial regulatory intensity is moderate (y = 0.5) or high (y = 0.8), enterprises significantly increase their probability of adopting low-carbon measures, maintaining this high level over the long term. This underscores the critical role of governmental regulation in stimulating and sustaining enterprises’ proactive low-carbon behaviors.
The figure (b) explicitly illustrates that the government’s initial regulatory willingness significantly influences its own long-term regulatory behavior. In scenarios with low initial regulatory intensity (y = 0.2), the government maintains a consistently low level of regulation throughout the evolution. With moderate initial regulatory intensity (y = 0.5), the regulatory level increases slightly but remains unstable. However, under high initial regulatory intensity (y = 0.8), the government’s regulatory actions consistently remain at high levels, showing greater stability over time. This highlights the significant guiding influence of initial governmental regulatory actions on subsequent regulatory behavior.
The figure (c) reveals a negative correlation between public participation in supervision and the intensity of government regulation. Under the scenario of low governmental regulation (y = 0.2), public participation in supervision starts at a relatively high level but gradually declines over time. As the government regulation intensity increases to moderate (y = 0.5) or high levels (y = 0.8), public participation significantly decreases, continuously trending downward. This suggests that stronger governmental regulation may reduce the willingness of the public to participate in supervision, indicating a clear substitution effect between government regulation and public participation.
From Fig. 6, it can be observed that the increase in the probability of strict government regulation incentivizes enterprises to choose active low-carbon city construction. However, the incentive effect of public active participation shows a trend of initially increasing and then decreasing, indicating that internal and external environmental disturbances have a significant impact on public behavioral decisions. In contrast, the increase in the rate of strict government regulation also has a similar positive incentive effect on its convergence to 1. In reality, changes in initial values generally only lead to variations in the system’s convergence rate, with a minimal impact on the system’s convergence state, which is determined by parameter changes. Therefore, the following sections will conduct numerical simulations on important parameters.
The figure (a) indicates that the initial willingness of public participation in supervision has a clearly positive impact on enterprises’ low-carbon behaviors. When initial public participation is low (z = 0.2), the enterprises’ probability of implementing low-carbon measures remains relatively low over the long term. In contrast, increasing the initial public participation level to moderate (z = 0.5) or high (z = 0.8) significantly improves enterprises’ likelihood of adopting low-carbon strategies, stabilizing at higher levels over time. This result highlights that active public participation in supervision effectively fosters long-term low-carbon actions among enterprises.
The figure (b) demonstrates a positive correlation between initial public participation in supervision and governmental regulatory willingness. Under conditions of low initial public participation (z = 0.2), governmental regulation remains low initially and only rises gradually after considerable fluctuations. Conversely, when initial public participation reaches moderate (z = 0.5) or high (z = 0.8) levels, government regulatory actions rapidly increase and sustain high probabilities over time. This illustrates that proactive public involvement significantly motivates continuous and active governmental regulatory efforts.
The figure (c) reveals the dynamic trends of public participation itself. Regardless of initial participation levels, the probability of public supervision decreases significantly over time. However, notably, the scenario with high initial participation (z = 0.8) maintains higher overall participation rates throughout the evolutionary period despite declining trends. This indicates that higher initial public engagement effectively supports sustained supervisory involvement in the long term, underscoring the importance of encouraging active public participation from the outset.
Sensitivity analysis of parameters
To reveal the impact of changes in different parameters on the decisions of enterprises, the public, and the government, this section conducts a sensitivity analysis on some key parameters affecting urban low-carbon development. To avoid the influence of initial values on the evolution results, \(x=y=z=0.5\) is set. The following simulates the impact of key parameter changes on the evolution results.
-
(1)
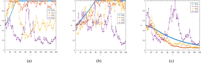
Random disturbance intensity. By setting \(\delta =0\),1,2,3 respectively, the evolutionary results are shown in Fig. 7. Under the classical evolutionary game, the behavioral decisions of enterprises, the public, and the government are determined by expected returns. However, based on the changes in the internal and external environments in reality, urban low-carbon development is not only determined by the expected returns of each entity but also affected by uncertain factors, leading to deviations in the behavioral strategy selection paths of each entity from the equilibrium state in deterministic games, as shown in Fig. 6. From Fig. 5, it can be observed that the fluctuation amplitude of the blue and orange lines is significantly smaller than that of the yellow and purple lines, indicating that the smaller the random disturbance factors, the less the system will be affected by uncertainties. If \(\delta =0\), the decisions of enterprises, the public, and the government will form a smooth curve. When the random disturbance intensity is 2 and 3, the behaviors of the three entities show strong volatility in some intervals, such as the evolutionary behavior of enterprises in the \(\left[\text{60,160}\right]\) interval and the public in the \(\left[\text{120,200}\right]\) interval, indicating that the uncertainty of the external environment affects the strategy evolution of entities. This further reflects that in the process of urban low-carbon development, the interference of uncertain factors such as the degree of information symmetry and rational emotions of entities will disturb their behavioral strategy choices. As seen from Fig. 5, under different disturbance intensities, enterprises and the public converge to stability faster than government entities. This is due to their proactive implementation and weak guidance in the absence of government guidance. The slower convergence of the government is due to its status as an official organization, facing higher regulatory and subsidy costs and numerous uncertainties, leading to slower decision-making compared to enterprises and the public. It can also be observed that with the increase in disturbance intensity, the time for the three entities’ decisions to reach stability varies, indicating that random disturbance intensity not only affects the probability of short-term behavioral decisions of entities but also influences the time for system decision stability. Therefore, influenced by costs, returns, and random disturbances, the strategic choices of the three entities are not always optimal, and urban low-carbon development and public participation have certain vulnerabilities. This stochastic evolutionary game model embedded with Gaussian white noise, to some extent, compensates for the deficiencies of the classical deterministic evolutionary game.
Fig. 7 Effect of \(\updelta\) variations on evolutionary results.
-
(2)
Government subsidies for enterprises actively implementing policies. Setting government subsidies S = 2, 3, 4 for enterprises actively implementing policies, the evolutionary results are shown in Fig. 6. As can be seen from Fig. 8, in the early stages of evolution, government subsidies have an insignificant positive incentive effect on the rate at which enterprises choose to actively implement policies. However, as the evolution progresses, after \(\text{t}=40\), increased subsidies significantly promote enterprises’ choice to actively implement policies. During this period, the rate at which the public chooses to actively participate slows down. This is due to the psychological effect where excessive government subsidies to enterprises lead the public to feel unequally treated, resulting in a slower convergence rate of public active participation. This indicates that there is heterogeneity in government subsidies to enterprises, and attention should be paid to the rationality of incentive subsidies during the subsidy process. Additionally, since subsidies are a cost to the government, the rate at which the government converges to active guidance shows a slowing trend.
Fig. 8 Effect of \(S\) variations on evolutionary results.
-
(3)
Government penalties for enterprises’ passive implementation. Specifically, the government’s penalties for enterprises’ passive implementation \(\text{F}=0.8\text{,} \, 1.8\),2.8, as shown in Fig. 9. From Fig. 10, it can be observed that the government’s penalties for enterprises’ passive implementation have a positive incentive effect on enterprises choosing active implementation, and this incentive effect is more pronounced in the mid-evolution stage than in the early stage, Additionally, since penalizing enterprises’ passive behavior benefits the government’s active guidance, the rate at which the government chooses active guidance tends to accelerate. Observing the impact of the government’s penalties for enterprises’ passive implementation on the public reveals that in the early stage of evolution, the government’s penalties have an insignificant deterrent effect on the public, and only in the later stage does this effect accelerate. The fundamental reason for this phenomenon is the lag in punishment, and on the other hand, it is due to the substantive effect of the government’s active guidance on public participation. The sustained high probability indicates that companies continue to derive presentational benefits from carbon disclosure. This may be due to the ongoing positive response from the public and consumers, continued media attention, or a competitive advantage over less transparent peers; whereas a decline in public trends may result from saturation of benefits. As the public becomes accustomed to high levels of transparency, the incremental benefits from additional disclosure diminish. Government: The initial high participation may be due to the direct impact of policies promoting transparency. Over time, as policies become effective, corporate behavior aligns with these norms.
Fig. 9 Effect of F variations on evolutionary results.
Fig. 10 Effect of E variations on evolutionary results.
-
(4)
Compensation paid by enterprises to the public. Let \(\text{E}=1.5, 2.5, 3.5\) , and the evolutionary results are shown in Fig. 8. As can be seen from Fig. 9, as the compensation for public disengagement increases, enterprises converge more rapidly towards active implementation. This is because the higher the intensity of passive implementation, the greater the public losses, thus accelerating the enterprise’s convergence to 1. Meanwhile, the public, as the recipient of subsidies, can more easily detect passive enterprise behavior through active participation, thereby accelerating their convergence to active engagement. Similarly, the public’s active participation serves as a substitute for government guidance, thus slowing the government’s convergence to active guidance.
-
(5)
The social loss when none of the three parties promote urban low-carbon development. Let \(\vartheta =3\), 5, and 7, respectively, and the evolutionary results are shown in Fig. 10. As can be seen from Fig. 11, the failure to promote urban low-carbon development leads to an increase in social loss. The convergence rates of enterprises, the public, and the government to 1 all show an accelerating trend, but the public’s convergence rate is faster than that of enterprises and the government. This is because the public is the greatest victim of not implementing urban low-carbon development, hence their faster convergence to active participation compared to enterprises and the government. After the public actively participates, enterprises choosing passive implementation need to compensate the public, thus their convergence rate is the second fastest. In reality, the increase in social loss to some extent favors the realization of the system’s Pareto optimal state, even under the condition that the government does not guide, achieving active implementation of urban low-carbon development by enterprises and active participation by the public, thereby realizing the system’s Pareto optimal state.
Fig. 11 Effect of \(\vartheta\) variations on evolutionary results.
Unexpected findings and theoretical implications
Our analysis revealed several unexpected results that challenge conventional understanding of urban low-carbon development dynamics: First, contrary to the common assumption that higher government subsidies consistently lead to greater enterprise participation in low-carbon initiatives, our findings revealed a non-linear relationship with diminishing returns. Excessively high subsidies can actually slow down public participation rates, creating a psychological effect where the public perceives unequal treatment. This finding contradicts traditional economic models that assume linear positive relationships between financial incentives and desired behaviors, suggesting that psychological and social factors play a more significant role than previously recognized.
Second, our results unexpectedly showed that the public’s active participation can partially substitute for government regulation. This challenges the conventional wisdom that strong government intervention is always necessary for effective environmental governance and suggests that bottom-up approaches may be more powerful than previously thought. This finding has significant implications for developing economies where government resources may be limited but public engagement potential is high.
Third, the analysis revealed that enterprise behavior is more sensitive to social losses than to direct financial penalties This unexpected result indicates that reputational concerns and social responsibility considerations may outweigh purely economic calculations in corporate decision-making regarding low-carbon initiatives. This contradicts traditional profit-maximization models and aligns with emerging theories of corporate social responsibility.
Fourth, our model demonstrated that random environmental disturbances do not simply add noise to the system but can fundamentally alter evolutionary trajectories and equilibrium states. Higher disturbance intensities can cause qualitative shifts in system behavior, sometimes leading to unexpected stable states that would not be predicted by deterministic models. This finding challenges the common practice of treating uncertainty as a minor factor in policy design.
Finally, the simulation revealed an unexpected time lag in the response of the public to government penalties on enterprises, with significant effects only appearing in later stages of evolution. This temporal dimension of policy effectiveness is rarely captured in static models and suggests that policymakers should adopt longer-term perspectives when evaluating intervention strategies.
These unexpected findings not only contribute to theoretical understanding of urban low-carbon development but also have practical implications for policy design, suggesting that conventional approaches based on simple economic incentives may need to be reconsidered in favor of more nuanced strategies that account for psychological factors, social dynamics, and temporal effects.
Conclusions
This study employed stochastic evolutionary game theory to investigate the dynamics of urban low-carbon development in China, focusing on the strategic interactions among enterprises, the public, and the government under conditions of uncertainty. Our analysis yielded five key findings:
First, the active participation of the public in the development of low-carbon cities partially substitutes for government active guidance. This finding suggests that empowering citizens and fostering bottom-up initiatives can complement traditional top-down regulatory approaches, potentially reducing the governance burden on government agencies.
Second, there exists heterogeneity in government subsidies to enterprises. Our results demonstrate that excessively high government subsidies to enterprises can create a public perception of inequality, potentially undermining public participation in urban low-carbon initiatives. This finding highlights the importance of designing balanced and equitable subsidy mechanisms that consider psychological and social factors alongside economic incentives.
Third, enterprise behavior shows high sensitivity to social losses. Our simulations revealed that minimizing the potential social losses associated with inaction is a powerful motivator for enterprises to actively promote low-carbon development. This suggests that policy frameworks should emphasize the social costs of carbon emissions and the collective benefits of mitigation efforts.
Fourth, public participation levels are most responsive to enterprise compensation mechanisms. The simulations demonstrated that increasing the compensation provided by enterprises for passive implementation significantly accelerates public convergence toward active participation. This finding underscores the importance of corporate accountability and responsibility in fostering public engagement.
Fifth, the effectiveness of government regulation correlates positively with penalty intensity. Our analysis showed that appropriate increases in penalties for enterprises’ passive implementation can enhance the effectiveness of government guidance. However, the impact of penalties is not linear and should be calibrated to avoid diminishing returns or counterproductive effects.
These findings provide valuable insights for policymakers seeking to promote urban low-carbon development in China. Specifically, we recommend three policy approaches: (1) Optimize government subsidy structures to mitigate subsidy heterogeneity. This involves designing targeted and proportionate subsidy mechanisms that balance economic incentives with considerations of equity and public perception. (2) Enhance enterprise compensation mechanisms to bolster public engagement. Policymakers should establish robust frameworks for corporate accountability that ensure enterprises adequately compensate for environmental externalities and incentivize public participation. (3) Establish reasonable penalty mechanisms to reinforce government regulation effectiveness. This requires calibrating penalties to be proportionate to violations while considering their broader impacts on stakeholder behavior and system dynamics.
Despite its contributions, this study has several limitations that should be acknowledged. First, the parameter settings are primarily based on Chinese cases, which may limit the generalizability of our findings to other national contexts with different institutional arrangements, economic conditions, and cultural values. Second, the model assumes homogeneity within each stakeholder group, whereas in reality, enterprises, government agencies, and public groups are heterogeneous with varying preferences, constraints, and capabilities. Third, the model treats the random disturbance as Gaussian white noise with constant intensity, which may not fully capture the complex patterns of uncertainty in real-world systems, such as regime shifts, tipping points, or path dependencies. Fourth, the model focuses on the willingness for low-carbon development rather than actual implementation outcomes, and the relationship between willingness and action may be influenced by factors not captured in our model. Fifth, the temporal dynamics in our model are simplified, whereas real-world transitions involve multiple timescales and feedback loops that could alter evolutionary trajectories. These limitations highlight the need for future research to extend and refine our approach to better capture the complexity of urban low-carbon development processes.
Future research directions can be expanded in several dimensions. From a theoretical perspective, the stochastic evolutionary game model could be extended to incorporate more complex interaction mechanisms, such as coalition formation, asymmetric information, and bounded rationality, to better reflect real-world decision-making processes. The model could also be integrated with other theoretical frameworks, such as institutional theory or transition management theory, to develop a more comprehensive understanding of urban low-carbon transitions. From a methodological standpoint, future studies could employ more sophisticated computational techniques, such as agent-based modeling or machine learning algorithms, to simulate larger-scale systems with more diverse agents and interaction rules. Additionally, the incorporation of spatial dimensions into the model would allow for the analysis of geographical disparities in low-carbon development and the diffusion of low-carbon practices across regions. From an applied perspective, future research should focus on empirical validation of the model using data from a broader range of international contexts, particularly comparing developed and developing countries with different institutional arrangements and economic conditions. This cross-cultural validation would enhance the generalizability of the findings and provide valuable insights for global climate governance. Moreover, the model could be adapted to explore specific sectors within urban systems, such as transportation, buildings, or energy, to develop more targeted policy recommendations for different aspects of urban low-carbon development. Lastly, longitudinal studies tracking the evolution of stakeholder behaviors and outcomes over extended periods would provide valuable insights into the long-term dynamics of urban low-carbon transitions and the effectiveness of various intervention strategies in different stages of development.
The intensity of random disturbances has a crucial impact on the decision-making of the three parties. The stochastic evolutionary game model embedded with Gaussian white noise, to some extent, compensates for the deficiencies of classical deterministic evolutionary games. Through numerical simulations, we have studied the optimal pathways for the development of low-carbon cities involving enterprises, the public, and the government, providing theoretical support for enhancing urban low-carbon development paths. Through this investigation, we have identified a specific pathway that appears to be the most effective method for improving the standards of disclosed environmental carbon information. This pathway involves direct improvements in corporate practices and strategic enhancements in public participation. We have designed an optimal improvement pathway to encourage and facilitate active public involvement in the monitoring and supervision of these disclosures. By enabling the public to play a more informed and active role, our approach aims to create a feedback loop that compels enterprises to maintain higher standards of transparency and accountability. Consequently, this dual strategy promotes better compliance by enterprises and empowers the public, thereby enhancing the overall quality of environmental reporting. Thus, our research findings provide valuable insights and support for policymakers and regulatory bodies, aiming to accelerate urban low-carbon development through informed public participation and improved corporate practices. Certain sections of this paper require improvement. For instance, the main parameters are primarily determined based on some real Chinese cases, but not all real data has been fully obtained. The next step will involve acquiring more real data through global cases to provide comprehensive guidance for decision-making in enterprises across various countries.
Data availability
The datasets used and/or analysed during the current study available from the corresponding author on reasonable request.
References
Zhu, Y. & Rao, H. Does low carbon city pilot promote urban carbon unlocking?—A heterogeneity analysis based on machine learning. Cities 147, 104815 (2024).
Khanna, N., Fridley, D. & Hong, L. China’s pilot low-carbon city initiative: A comparative assessment of national goals and local plans. Sustain. Cities Soc. 12, 110–121 (2014).
Chen, H., Cui, X., Shi, Y., Li, Z. & Liu, Y. Impact of policy intensity on carbon emission reductions: Based on the perspective of China’s low-carbon policy. Sustainability 16(18), 8265 (2024).
Zhang, Y., Chen, M., Zhong, S. & Liu, M. Fintech’s role in carbon emission efficiency: Dynamic spatial analysis. Sci. Rep. 14(1), 23941 (2024).
Wan, M., Wei, D. & Yu, C. Low-carbon pilot cities and financialization of listed companies: Inhibitory effects and policy analysis. Financ. Res. Lett. 71, 106386 (2025).
Wu, H., Shan, T., Khan, H. S., Dong, L. & Li, H. The spatiotemporal differentiation characteristics and driving forces of carbon emissions from major livestock farming in the Shaanxi-Gansu-Ningxia Region. Agriculture-Basel 14(10), 1748 (2024).
Ai, H., Mangla, S. K., Song, M., Tan, X. & Zhang, S. Technology-enabled business model innovation and carbon emission reduction: Evidence from a place-based policy in China. Technovation 134, 103052 (2024).
van der Heijden, J. Opportunities and risks of the new urban Governance in India: To what extent can it help addressing pressing environmental problems?. J. Environ. Dev. 25(3), 251–275 (2016).
Bi, J., Zhang, R., Wang, H., Liu, M. & Wu, Y. The benchmarks of carbon emissions and policy implications for China’s cities: Case of Nanjing. Energy Policy 39(9), 4785–4794 (2011).
Zhao, C., Tang, J., Gao, W., Zeng, Y. & Li, Z. Many-objective optimization of multi-mode public transportation under carbon emission reduction. Energy 286, 129627 (2024).
Heinonen, J. & Junnila, S. Implications of urban structure on carbon consumption in metropolitan areas. Environ. Res. Lett. 6(1), 14018 (2011).
Zeng, S., Zhang, Y. & Jin, G. Can urban low-carbon transformation affect the prices of its industrial land? An empirical study based on spatial regression discontinuity. Land Use Policy 148, 107413 (2025).
Cao, B., Li, L., Zhang, K. & Ma, W. The influence of digital intelligence transformation on carbon emission reduction in manufacturing firms. J. Environ. Manag. 367, 121987 (2024).
Wang, J., Lyu, W., Chen, X., Yang, S. & Dong, X. Navigating total-factor carbon emission efficiency in the digital era: A case study from industry structure, environmental regulations, and trade spillover. Econ. Anal. Policy 84, 260–277 (2024).
Chen, Y. & Xu, Z. Impact of digital economy development on corporate green governance efficiency. Technol. Anal. Strat. Manag. (2024).
Xu, T., Zhu, Z. & Chen, T. The impact of green finance on promoting industrial structure upgrading: An analysis of Jiangsu Province in China. Sustainability 16(17), 7520 (2024).
Khan, K. & Su, C.-W. Urbanization and carbon emissions: A panel threshold analysis. Environ. Sci. Pollut. Res. 28(20), 26073–26081 (2021).
Xu, Q., Dong, Y.-X. & Yang, R. Urbanization impact on carbon emissions in the Pearl River Delta region: Kuznets curve relationships. J. Clean. Prod. 180, 514–523 (2018).
Yu, X., Wu, Z., Zheng, H., Li, M. & Tan, T. How urban agglomeration improve the emission efficiency ? A spatial econometric analysis of the Yangtze River Delta urban agglomeration in China. J. Environ. Manag. 260, 110061 (2020).
Song, Q., Zhou, N., Liu, T., Siehr, S. A. & Qi, Y. Investigation of a coupling model of coordination between low-carbon development and urbanization in China. Energy Policy 121, 346–354 (2018).
Lin, B. & Li, Z. Spatial analysis of mainland cities’ carbon emissions of and around Guangdong-Hong Kong-Macao Greater Bay area. Sustain. Cities Soc. 61, 102299 (2020).
Cai, R., Wang, X., Vong, C. C., Zhao, S. & Zhang, T. Low-carbon urban development hot topics and frontier evolution: A bibliometric study from a global perspective. Front. Built Environ. 10, 1464529 (2024).
Jiang, H. et al. Industrial carbon emission distribution and regional joint emission reduction: A case study of cities in the Pearl River Basin, China. Chin. Geogr. Sci. 34(2), 210–229 (2024).
Feng, Y., Peng, D., Li, Y. & Liu, S. Can regional integration reduce carbon intensity? Evidence from city cluster in China. Environ. Dev. Sustain. 26(2), 5249–5274 (2024).
Wei, H. & Zheng, C. Spatial network structure and influencing factors of carbon emission intensity in Guangdong-Hong Kong-Macao greater bay area. Front. Environ. Sci. 12, 1380831 (2024).
Wei, M., Cai, Z., Song, Y., Xu, J. & Lu, M. Spatiotemporal evolutionary characteristics and driving forces of carbon emissions in three Chinese urban agglomerations. Sustain. Cities Soc. 104, 105320 (2024).
Liu, Q. et al. How does digital finance accelerate low-carbon development: Evidence from the Yellow River Basin, China. J. Environ. Plan. Manag. 68(2), 386–405 (2025).
Cui, S., Meng, F., Wang, W. & Lin, J. GHG accounting for public transport in Xiamen city, China. Carbon Manag. 2(4), 383–395 (2011).
Banister, D. Cities, mobility and climate change. J. Transp. Geogr. 19(6), 1538–1546 (2011).
Menichetti, D. & van Vuren, T. Modelling a low-carbon city. Proc. Inst. Civil Eng.Transp. 164(3), 141–151 (2011).
Sobrino, N. & Arce, R. Understanding per-trip commuting CO2 emissions: A case study of the Technical University of Madrid. Transp. Res. Part D-Transp. Environ. 96, 102895 (2021).
Zhang, X., Zhou, J., Wu, R. & Wang, S. Spatial network analysis and driving forces of urban carbon emission performance: Insights from Guangdong Province. Sci. Total Environ. 951, 175538 (2024).
Chen, R., Zhang, Q. & Wang, J. Impact assessment of green finance reform on low-carbon energy transition: Evidence from China’s pilot zones. Environ. Impact Assess. Rev. 110, 107654 (2025).
Wang, X. & Gao, C. Does green finance policy help to improve carbon reduction welfare performance? Evidence from China. Energy Econ. 132, 107452 (2024).
Xu, T., Yang, G. & Chen, T. The role of green finance and digital inclusive finance in promoting economic sustainable development: A perspective from new quality productivity. J. Environ. Manag. 370, 122892 (2024).
Zhang, Y., Wang, X. & Feng, N. The path of green finance to promote the realization of low-carbon economic transformation under the carbon peaking and carbon neutrality goals: Theoretical model and empirical analysis. Int. Rev. Financ. Anal. 94, 103227 (2024).
Wang, C. et al. Addressing uncertainty to achieve stability in urban building energy modeling: A comparative study of four possible approaches. Build. Environ. 267, 112197 (2025).
Guo, Q., Wang, Y. & Dong, X. Effects of smart city construction on energy saving and CO2 emission reduction: Evidence from China. Appl. Energy 313, 118879 (2022).
Zhu, X., Deng, Q. & Zhang, S. Toward low-carbon transition: Does carbon regulation matter for spatial development inequality?. Econ. Change Restruct. 57(6), 248 (2024).
Gao, J., Hua, G., Huo, B. & Randhawa, A. Market-incentivized environmental regulation, industrial agglomeration and the effects on carbon shadow price: Evidence from china’s local pilot policies for carbon market construction. Singapore Econ. Rev. (2024).
Deng, Y., Wang, Y., Tan, M. & Liu, L. A bi-level multi-objective optimization approach for carbon policy formulation towards food waste resource treatment from environmental, energy and economic perspectives. Sustain. Futur. 8, 100310 (2024).
Zou, T., Li, F. & Guo, P. Advancing effective energy transition: The effects and mechanisms of China’s dual-pilot energy policies. Energy 307, 132538 (2024).
Yang, J. & Chen, B. Using LMDI method to analyze the change of industrial CO2 emission from energy use in Chongqing. Front. Earth Sci. 5(1), 103–109 (2011).
Zhang, W., Li, Z., Wagan, S. A. & Tan, S. The green transformation of agricultural production: Evaluating the spatial role of agricultural industrial structure innovation in Guangdong, China. Front. Sustain. Food Syst. 8, 1384358 (2024).
Shao, C. et al. Performance and decomposition analyses of carbon emissions from industrial energy consumption in Tianjin, China. J. Clean. Prod. 64, 590–601 (2014).
Liu, W., Wang, C., Xie, X., Mol, A. P. J. & Chen, J. Transition to a low-carbon city: Lessons learned from Suzhou in China. Front. Environ. Sci. Eng. 6(3), 373–386 (2012).
Lu, C. et al. Modeling of waste flow in industrial symbiosis system at city-region level: A case study of Jinchang, China. Sustainability 13(2), 466 (2021).
Kim, H.-W., Dong, L., Jung, S. & Park, H.-S. The role of the eco-industrial park (EIP) at the National Economy: An input-output analysis on Korea. Sustainability 10(12), 4545 (2018).
Ai, K., Zhang, W. & Yan, X.-W. Digital economy and urban low-carbon transition: Theoretical model and new mechanisms. Sustainability 16(14), 5917 (2024).
Liu, M. et al. Driving toward sustainable cities: The interplay between Chinese emerging corporate ESG performance and climate finance in achieving low-carbon development. Urban Clim. 55, 101918 (2024).
Author information
Authors and Affiliations
Contributions
Conceptualization, R.C., X.W. and T.Z.; methodology, R.C. and X.W.; software,R.C.; formal analysis, S.Z. and N.L.; investigation, R.C. and X.W.; data curation, N.L.; writing—originaldraft preparation, R.C., X.W and S.Z.; writing—review and editing, R.C. and T.Z.; visualization, X.W.; supervision, X.W. and T.Z. All authors have read and agreed to the published version of the manuscript.
Corresponding author
Ethics declarations
Competing interests
The authors declare no competing interests.
Additional information
Publisher’s note
Springer Nature remains neutral with regard to jurisdictional claims in published maps and institutional affiliations.
Rights and permissions
Open Access This article is licensed under a Creative Commons Attribution-NonCommercial-NoDerivatives 4.0 International License, which permits any non-commercial use, sharing, distribution and reproduction in any medium or format, as long as you give appropriate credit to the original author(s) and the source, provide a link to the Creative Commons licence, and indicate if you modified the licensed material. You do not have permission under this licence to share adapted material derived from this article or parts of it. The images or other third party material in this article are included in the article’s Creative Commons licence, unless indicated otherwise in a credit line to the material. If material is not included in the article’s Creative Commons licence and your intended use is not permitted by statutory regulation or exceeds the permitted use, you will need to obtain permission directly from the copyright holder. To view a copy of this licence, visit http://creativecommons.org/licenses/by-nc-nd/4.0/.
About this article
Cite this article
Cai, R., Loi, E.H.N., Wang, X. et al. A stochastic evolutionary game of boosting urban low-carbon development in China. Sci Rep 15, 33853 (2025). https://doi.org/10.1038/s41598-025-06698-z
Received:
Accepted:
Published:
Version of record:
DOI: https://doi.org/10.1038/s41598-025-06698-z













