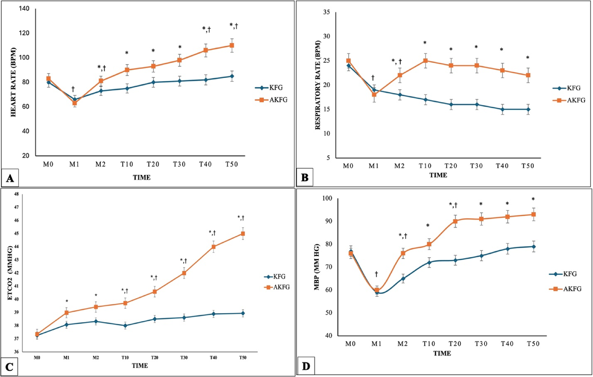
Fig. 2

Hemodynamic parameters in dogs during anesthesia with atracurium/ketofol (AKFG) and ketofol (KFG). (A) Heart rate (HR bpm); (B) Respiratory frequency (fR bpm); (C) End-tidal carbon dioxide concentration (EtCO2 mmHg), and (D) Mean arterial blood pressure (MAP mmHg).