Fig. 1
From: An AI framework for time series microstructure prediction from processing parameters

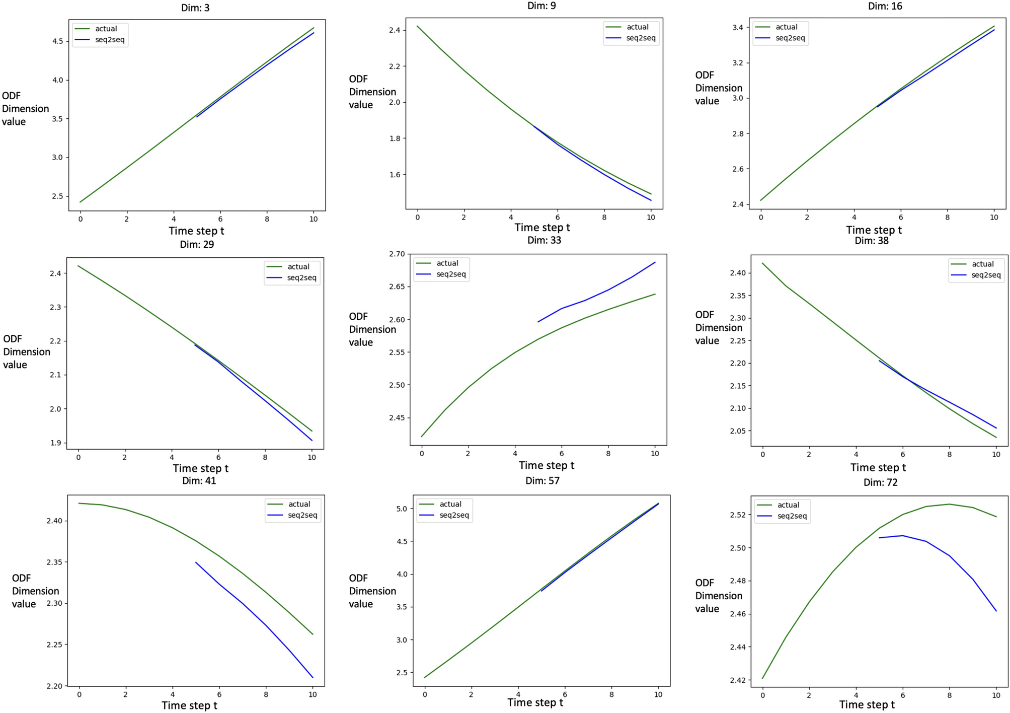
Example portion of ODF for the seq2seq model with processing parameters = 0.75, 0.25, 0.5, 0, 0.5. an example of a portion of the dimensions of sequence ODF predicted by the seq2seq model, with processing parameters set to 0.75, 0.25, 0.5, 0, 0.5. The y-axis shows the dimension value across ten time steps. The results show that the proposed seq2seq model effectively predicts the ODF for future steps. Both accurate trend predictions and less accurate trends are included for illustration. However, even in cases where the trend prediction is less precise, the error percentage remains small across all dimensions when considering the range of the y-axis. This figure was generated using Python 3.7 with Matplotlib 3.9.032.