Fig. 3
From: Oral fluid as a material for serological diagnostics of caseous lymphadenitis in goats

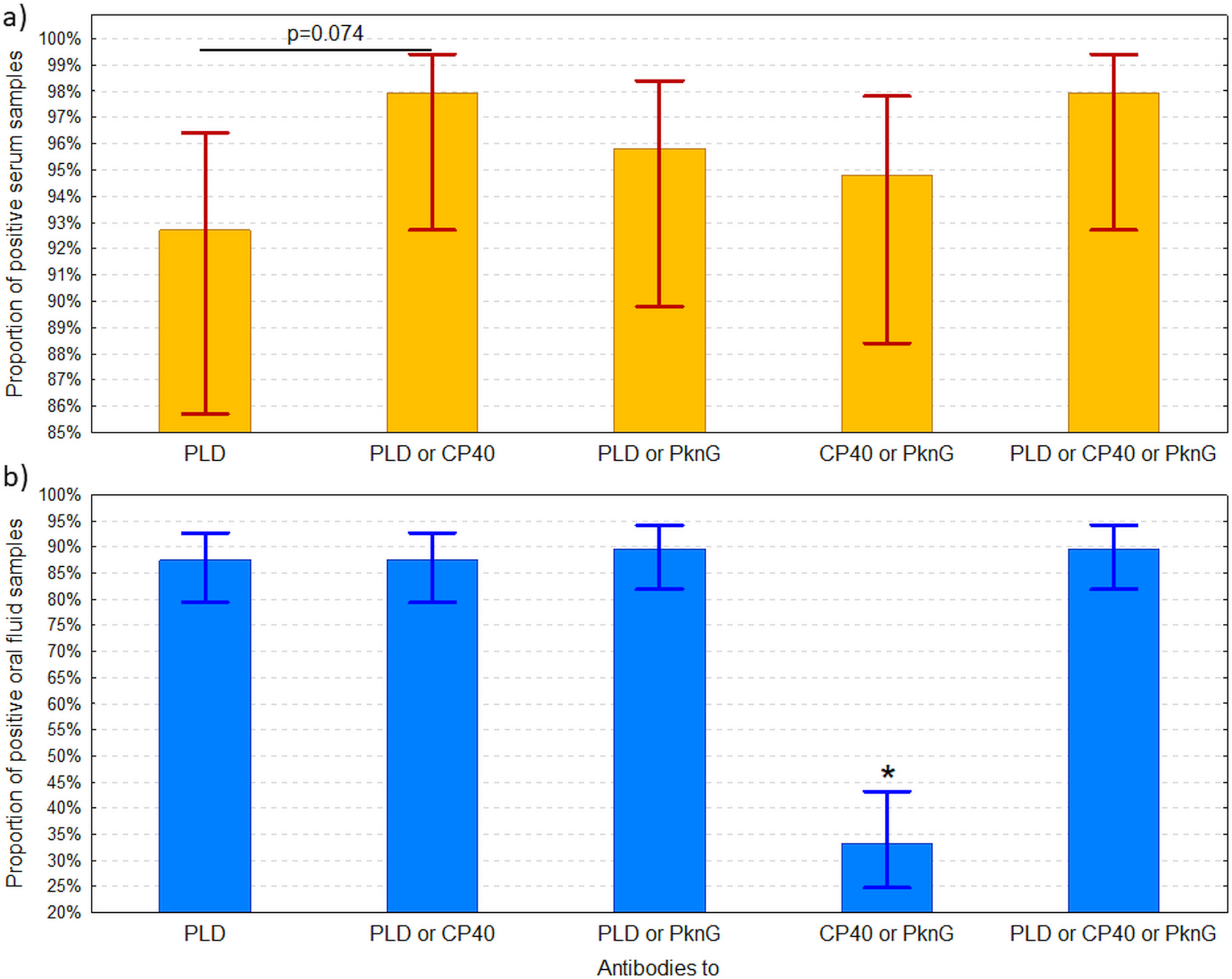
Diagnostic sensitivity of various combinations of three antigens of Corynebacterium pseudotuberculosis (phospholipase D (PLD), CP40, and protein kinase G (PknG)) compared to PLD alone in serum (a) and oral fluid (b). Asterisk (*) indicates a combination that significantly differed from the others.