Fig. 14
From: Oil removal from wastewater with biomass-derived hydrochars laboratory insights

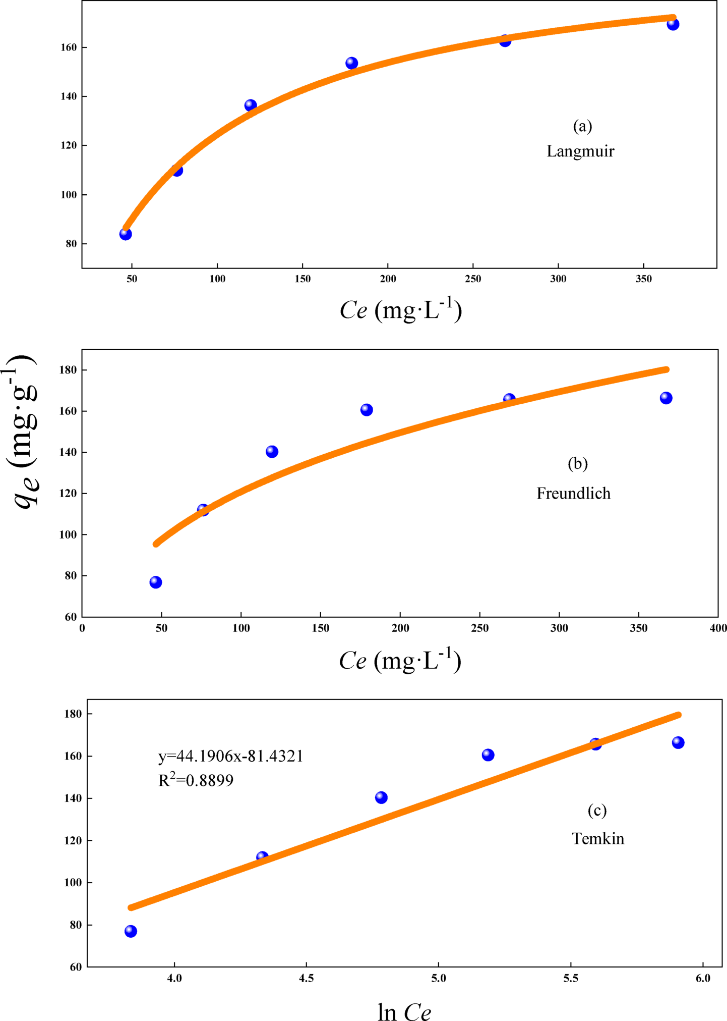
Adsorption isotherms of diesel oil adsorbed by SPRH.
From: Oil removal from wastewater with biomass-derived hydrochars laboratory insights

Adsorption isotherms of diesel oil adsorbed by SPRH.