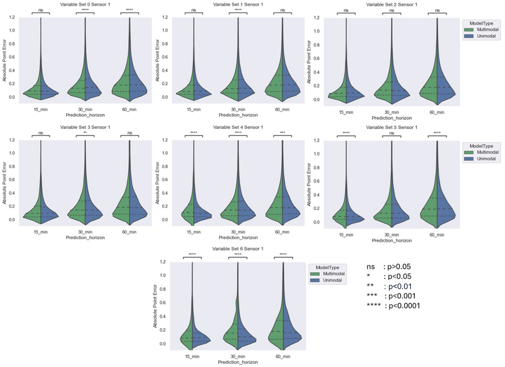
Fig. 3

Comparing violin plot of absolute point error for multimodal and unimodal architectures developed for Menarini sensor across different variable sets at three prediction horizon. The violin plot shows the distribution of absolute point error 25%, 50% and 75% quartile via dashed line.