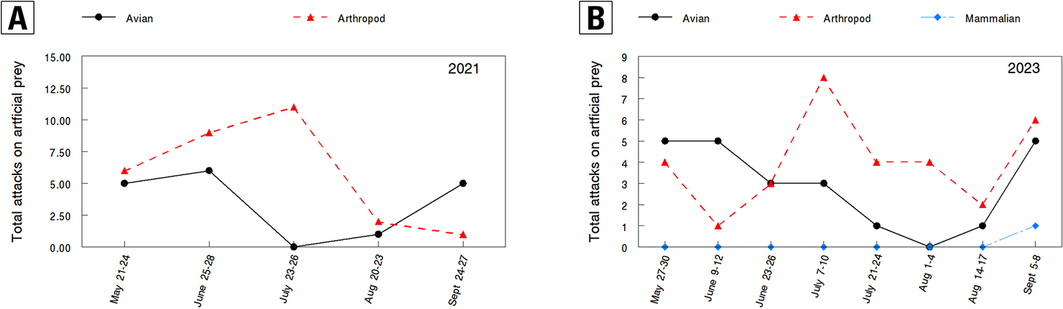
Fig. 3

Attacks on artificial larval models by arthropod and avian predators in urban, peri-urban, and rural milkweed plantings by sampling date. (A) Instances of predation from monthly assessments 2021. (B) Instances of predation from bi-monthly assessments in 2023. All data reported as totals.